用药指导过程中患者与药剂师之间的舒适距离:癌症化疗中心的前瞻性观察研究。

IF 2 Q3 NEUROSCIENCES
Neuropsychopharmacology Reports Pub Date : 2024-12-01 Epub Date: 2024-08-23 DOI:10.1002/npr2.12475
Saori Gocho, Yukina Miyagi, Chika Nakayama, Yuka Miyachi, Shoshiro Okada, Kenta Maruyama, Taeyuki Oshima
{"title":"用药指导过程中患者与药剂师之间的舒适距离:癌症化疗中心的前瞻性观察研究。","authors":"Saori Gocho, Yukina Miyagi, Chika Nakayama, Yuka Miyachi, Shoshiro Okada, Kenta Maruyama, Taeyuki Oshima","doi":"10.1002/npr2.12475","DOIUrl":null,"url":null,"abstract":"<p><strong>Background: </strong>The distance from the patient is a crucial factor in the communication with patients. The distance between patients and pharmacists varies depending on several factors. In this study, we aimed to investigate the relationship between comfort distance and patients' physical condition and mood by measuring this distance at a chemotherapy center.</p><p><strong>Methods: </strong>A total of 114 patients were surveyed regarding their physical condition and mood. The distance at which the patients were best able to talk to the pharmacists was measured. For comfort distance measurement, the pharmacists were instructed to approach or move away from the patients.</p><p><strong>Results: </strong>The correlation between physical condition, mood, and comfort distance was examined in both male and female patients, and no significant correlation was found; however, there was a strong correlation between physical condition and mood in female patients. We looked at correlations by further dividing patients into those over and under 65 years of age and found a slight correlation with comfort distance in women under 65. They tended to shorten the distance when they felt well and lengthen the distance when they felt not well.</p><p><strong>Conclusions: </strong>No correlation was found between physical condition or mood and comfort distance in male or female. A slight correlation was observed when age was included; however, the results were not satisfactory. By directly measuring the distance in actual patients, we obtained an actual measurement of the comfort distance that synthesized the patient's condition and various backgrounds during chemotherapy, providing a foothold for future studies.</p>","PeriodicalId":19137,"journal":{"name":"Neuropsychopharmacology Reports","volume":" ","pages":"698-705"},"PeriodicalIF":2.0000,"publicationDate":"2024-12-01","publicationTypes":"Journal Article","fieldsOfStudy":null,"isOpenAccess":false,"openAccessPdf":"https://www.ncbi.nlm.nih.gov/pmc/articles/PMC11609728/pdf/","citationCount":"0","resultStr":"{\"title\":\"Comfort distance between patients and pharmacists during medication instruction: A prospective observational study at a cancer chemotherapy center.\",\"authors\":\"Saori Gocho, Yukina Miyagi, Chika Nakayama, Yuka Miyachi, Shoshiro Okada, Kenta Maruyama, Taeyuki Oshima\",\"doi\":\"10.1002/npr2.12475\",\"DOIUrl\":null,\"url\":null,\"abstract\":\"<p><strong>Background: </strong>The distance from the patient is a crucial factor in the communication with patients. The distance between patients and pharmacists varies depending on several factors. In this study, we aimed to investigate the relationship between comfort distance and patients' physical condition and mood by measuring this distance at a chemotherapy center.</p><p><strong>Methods: </strong>A total of 114 patients were surveyed regarding their physical condition and mood. The distance at which the patients were best able to talk to the pharmacists was measured. For comfort distance measurement, the pharmacists were instructed to approach or move away from the patients.</p><p><strong>Results: </strong>The correlation between physical condition, mood, and comfort distance was examined in both male and female patients, and no significant correlation was found; however, there was a strong correlation between physical condition and mood in female patients. We looked at correlations by further dividing patients into those over and under 65 years of age and found a slight correlation with comfort distance in women under 65. They tended to shorten the distance when they felt well and lengthen the distance when they felt not well.</p><p><strong>Conclusions: </strong>No correlation was found between physical condition or mood and comfort distance in male or female. A slight correlation was observed when age was included; however, the results were not satisfactory. By directly measuring the distance in actual patients, we obtained an actual measurement of the comfort distance that synthesized the patient's condition and various backgrounds during chemotherapy, providing a foothold for future studies.</p>\",\"PeriodicalId\":19137,\"journal\":{\"name\":\"Neuropsychopharmacology Reports\",\"volume\":\" \",\"pages\":\"698-705\"},\"PeriodicalIF\":2.0000,\"publicationDate\":\"2024-12-01\",\"publicationTypes\":\"Journal Article\",\"fieldsOfStudy\":null,\"isOpenAccess\":false,\"openAccessPdf\":\"https://www.ncbi.nlm.nih.gov/pmc/articles/PMC11609728/pdf/\",\"citationCount\":\"0\",\"resultStr\":null,\"platform\":\"Semanticscholar\",\"paperid\":null,\"PeriodicalName\":\"Neuropsychopharmacology Reports\",\"FirstCategoryId\":\"1085\",\"ListUrlMain\":\"https://doi.org/10.1002/npr2.12475\",\"RegionNum\":0,\"RegionCategory\":null,\"ArticlePicture\":[],\"TitleCN\":null,\"AbstractTextCN\":null,\"PMCID\":null,\"EPubDate\":\"2024/8/23 0:00:00\",\"PubModel\":\"Epub\",\"JCR\":\"Q3\",\"JCRName\":\"NEUROSCIENCES\",\"Score\":null,\"Total\":0}","platform":"Semanticscholar","paperid":null,"PeriodicalName":"Neuropsychopharmacology Reports","FirstCategoryId":"1085","ListUrlMain":"https://doi.org/10.1002/npr2.12475","RegionNum":0,"RegionCategory":null,"ArticlePicture":[],"TitleCN":null,"AbstractTextCN":null,"PMCID":null,"EPubDate":"2024/8/23 0:00:00","PubModel":"Epub","JCR":"Q3","JCRName":"NEUROSCIENCES","Score":null,"Total":0}
引用次数: 0

摘要

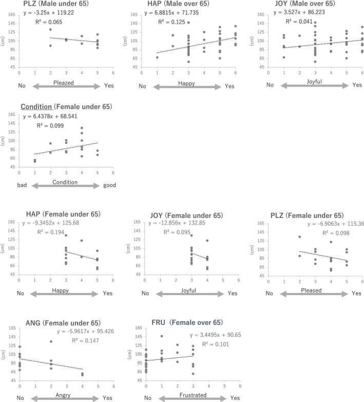
背景:与患者的距离是与患者沟通的关键因素。患者与药剂师之间的距离因多种因素而异。本研究旨在通过测量化疗中心患者与药剂师之间的距离,研究舒适距离与患者身体状况和情绪之间的关系:方法:我们对 114 名患者的身体状况和情绪进行了调查。方法:我们对 114 名患者的身体状况和情绪进行了调查,并测量了患者与药剂师交谈的最佳距离。为了测量舒适距离,药剂师被指示接近或远离患者:结果:我们对男性和女性患者的身体状况、情绪和舒适距离之间的相关性进行了研究,结果没有发现显著的相关性;但是,女性患者的身体状况和情绪之间存在很强的相关性。我们将患者进一步分为 65 岁以上和 65 岁以下两类来研究相关性,发现 65 岁以下的女性患者与舒适距离略有相关。她们在感觉良好时倾向于缩短舒适距离,而在感觉不好时则倾向于延长舒适距离:男性或女性的身体状况或情绪与舒适距离之间没有相关性。如果将年龄也包括在内,则可观察到轻微的相关性,但结果并不令人满意。通过直接测量实际患者的距离,我们获得了舒适距离的实际测量值,该测量值综合了化疗期间患者的状况和各种背景,为今后的研究提供了立足点。
本文章由计算机程序翻译,如有差异,请以英文原文为准。

Comfort distance between patients and pharmacists during medication instruction: A prospective observational study at a cancer chemotherapy center.

Comfort distance between patients and pharmacists during medication instruction: A prospective observational study at a cancer chemotherapy center.

Comfort distance between patients and pharmacists during medication instruction: A prospective observational study at a cancer chemotherapy center.

Comfort distance between patients and pharmacists during medication instruction: A prospective observational study at a cancer chemotherapy center.

Background: The distance from the patient is a crucial factor in the communication with patients. The distance between patients and pharmacists varies depending on several factors. In this study, we aimed to investigate the relationship between comfort distance and patients' physical condition and mood by measuring this distance at a chemotherapy center.

Methods: A total of 114 patients were surveyed regarding their physical condition and mood. The distance at which the patients were best able to talk to the pharmacists was measured. For comfort distance measurement, the pharmacists were instructed to approach or move away from the patients.

Results: The correlation between physical condition, mood, and comfort distance was examined in both male and female patients, and no significant correlation was found; however, there was a strong correlation between physical condition and mood in female patients. We looked at correlations by further dividing patients into those over and under 65 years of age and found a slight correlation with comfort distance in women under 65. They tended to shorten the distance when they felt well and lengthen the distance when they felt not well.

Conclusions: No correlation was found between physical condition or mood and comfort distance in male or female. A slight correlation was observed when age was included; however, the results were not satisfactory. By directly measuring the distance in actual patients, we obtained an actual measurement of the comfort distance that synthesized the patient's condition and various backgrounds during chemotherapy, providing a foothold for future studies.

求助全文
通过发布文献求助,成功后即可免费获取论文全文。 去求助
来源期刊
Neuropsychopharmacology Reports
Neuropsychopharmacology Reports Psychology-Clinical Psychology
CiteScore
3.60
自引率
4.00%
发文量
75
审稿时长
14 weeks
×
引用
GB/T 7714-2015
复制
MLA
复制
APA
复制
导出至
BibTeX EndNote RefMan NoteFirst NoteExpress
×
提示
您的信息不完整,为了账户安全,请先补充。
现在去补充
×
提示
您因"违规操作"
具体请查看互助需知
我知道了
×
提示
确定
请完成安全验证×
copy
已复制链接
快去分享给好友吧!
我知道了
右上角分享
点击右上角分享
0
联系我们:info@booksci.cn Book学术提供免费学术资源搜索服务,方便国内外学者检索中英文文献。致力于提供最便捷和优质的服务体验。 Copyright © 2023 布克学术 All rights reserved.
京ICP备2023020795号-1
ghs 京公网安备 11010802042870号
Book学术文献互助
Book学术文献互助群
群 号:604180095
Book学术官方微信