机器人辅助、腹腔镜和开放式膀胱癌根治术:系统综述和网络荟萃分析。

IF 4.5 3区 医学 Q1 UROLOGY & NEPHROLOGY
Zhanpo Yang, Xinmeng Dou, Wenhui Zhou, Qian Liu
{"title":"机器人辅助、腹腔镜和开放式膀胱癌根治术:系统综述和网络荟萃分析。","authors":"Zhanpo Yang, Xinmeng Dou, Wenhui Zhou, Qian Liu","doi":"10.1590/S1677-5538.IBJU.2024.0191","DOIUrl":null,"url":null,"abstract":"<p><strong>Objectives: </strong>To evaluate the safety and effectiveness of robot-assisted radical cystectomy (RARC), laparoscopic radical cystectomy (LRC), and open radical cystectomy (ORC) in bladder cancer.</p><p><strong>Methods: </strong>A literature search for network meta-analysis was conducted using international databases up to February 29, 2024. Outcomes of interest included baseline characteristics, perioperative outcomes and oncological outcomes.</p><p><strong>Results: </strong>Forty articles were finally selected for inclusion in the network meta-analysis. Both LRC and RARC were associated with longer operative time, smaller amount of estimated blood loss, lower transfusion rate, shorter time to regular diet, fewer incidences of complications, and fewer positive surgical margin compared to ORC. LRC had a shorter time to flatus than ORC, while no difference between RARC and ORC was observed. Considering lymph node yield, there were no differences among LRC, RARC and ORC. In addition, there were statistically significant lower transfusion rates (OR=-0.15, 95% CI=-0.47 to 0.17), fewer overall complication rates (OR=-0.39, 95% CI=-0.79 to 0.00), fewer minor complication rates (OR=-0.23, 95% CI=-0.48 to 0.02), fewer major complication rates (OR=-0.23, 95% CI=-0.68 to 0.21), fewer positive surgical margin rates (OR=0.22, 95% CI=-0.27 to 0.68) in RARC group compared with LRC group.</p><p><strong>Conclusion: </strong>LRC and RARC could be considered as a feasible and safe alternative to ORC for bladder cancer. Notably, compared with LRC, RARC may benefit from significantly lower transfusion rates, fewer complications and lower positive surgical margin rates. These data thus showed that RARC might improve the management of patients with muscle invasive or high-risk non-muscle invasive bladder cancer.</p>","PeriodicalId":49283,"journal":{"name":"International Braz J Urol","volume":"50 ","pages":"683-702"},"PeriodicalIF":4.5000,"publicationDate":"2024-11-01","publicationTypes":"Journal Article","fieldsOfStudy":null,"isOpenAccess":false,"openAccessPdf":"https://www.ncbi.nlm.nih.gov/pmc/articles/PMC11554271/pdf/","citationCount":"0","resultStr":"{\"title\":\"Robot-assisted, laparoscopic and open radical cystectomy for bladder cancer: A systematic review and network meta-analysis.\",\"authors\":\"Zhanpo Yang, Xinmeng Dou, Wenhui Zhou, Qian Liu\",\"doi\":\"10.1590/S1677-5538.IBJU.2024.0191\",\"DOIUrl\":null,\"url\":null,\"abstract\":\"<p><strong>Objectives: </strong>To evaluate the safety and effectiveness of robot-assisted radical cystectomy (RARC), laparoscopic radical cystectomy (LRC), and open radical cystectomy (ORC) in bladder cancer.</p><p><strong>Methods: </strong>A literature search for network meta-analysis was conducted using international databases up to February 29, 2024. Outcomes of interest included baseline characteristics, perioperative outcomes and oncological outcomes.</p><p><strong>Results: </strong>Forty articles were finally selected for inclusion in the network meta-analysis. Both LRC and RARC were associated with longer operative time, smaller amount of estimated blood loss, lower transfusion rate, shorter time to regular diet, fewer incidences of complications, and fewer positive surgical margin compared to ORC. LRC had a shorter time to flatus than ORC, while no difference between RARC and ORC was observed. Considering lymph node yield, there were no differences among LRC, RARC and ORC. In addition, there were statistically significant lower transfusion rates (OR=-0.15, 95% CI=-0.47 to 0.17), fewer overall complication rates (OR=-0.39, 95% CI=-0.79 to 0.00), fewer minor complication rates (OR=-0.23, 95% CI=-0.48 to 0.02), fewer major complication rates (OR=-0.23, 95% CI=-0.68 to 0.21), fewer positive surgical margin rates (OR=0.22, 95% CI=-0.27 to 0.68) in RARC group compared with LRC group.</p><p><strong>Conclusion: </strong>LRC and RARC could be considered as a feasible and safe alternative to ORC for bladder cancer. Notably, compared with LRC, RARC may benefit from significantly lower transfusion rates, fewer complications and lower positive surgical margin rates. These data thus showed that RARC might improve the management of patients with muscle invasive or high-risk non-muscle invasive bladder cancer.</p>\",\"PeriodicalId\":49283,\"journal\":{\"name\":\"International Braz J Urol\",\"volume\":\"50 \",\"pages\":\"683-702\"},\"PeriodicalIF\":4.5000,\"publicationDate\":\"2024-11-01\",\"publicationTypes\":\"Journal Article\",\"fieldsOfStudy\":null,\"isOpenAccess\":false,\"openAccessPdf\":\"https://www.ncbi.nlm.nih.gov/pmc/articles/PMC11554271/pdf/\",\"citationCount\":\"0\",\"resultStr\":null,\"platform\":\"Semanticscholar\",\"paperid\":null,\"PeriodicalName\":\"International Braz J Urol\",\"FirstCategoryId\":\"3\",\"ListUrlMain\":\"https://doi.org/10.1590/S1677-5538.IBJU.2024.0191\",\"RegionNum\":3,\"RegionCategory\":\"医学\",\"ArticlePicture\":[],\"TitleCN\":null,\"AbstractTextCN\":null,\"PMCID\":null,\"EPubDate\":\"\",\"PubModel\":\"\",\"JCR\":\"Q1\",\"JCRName\":\"UROLOGY & NEPHROLOGY\",\"Score\":null,\"Total\":0}","platform":"Semanticscholar","paperid":null,"PeriodicalName":"International Braz J Urol","FirstCategoryId":"3","ListUrlMain":"https://doi.org/10.1590/S1677-5538.IBJU.2024.0191","RegionNum":3,"RegionCategory":"医学","ArticlePicture":[],"TitleCN":null,"AbstractTextCN":null,"PMCID":null,"EPubDate":"","PubModel":"","JCR":"Q1","JCRName":"UROLOGY & NEPHROLOGY","Score":null,"Total":0}
引用次数: 0

摘要

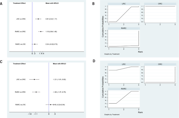
目的评估机器人辅助膀胱根治术(RARC)、腹腔镜膀胱根治术(LRC)和开放式膀胱根治术(ORC)治疗膀胱癌的安全性和有效性:利用截至 2024 年 2 月 29 日的国际数据库进行网络荟萃分析文献检索。研究结果包括基线特征、围手术期结果和肿瘤学结果:结果:最终筛选出 40 篇文章纳入网络荟萃分析。与 ORC 相比,LRC 和 RARC 的手术时间更长、估计失血量更少、输血率更低、规律饮食时间更短、并发症发生率更低、手术切缘阳性率更低。LRC 比 ORC 的排便时间更短,而 RARC 和 ORC 之间则无差异。考虑到淋巴结产量,LRC、RARC 和 ORC 之间没有差异。此外,输血率(OR=-0.15,95% CI=-0.47-0.17)、总并发症率(OR=-0.39,95% CI=-0.79-0.00)、轻微并发症率(OR=-0.23,95% CI=-0.48至0.02)、主要并发症发生率(OR=-0.23,95% CI=-0.68至0.21)、手术切缘阳性率(OR=0.22,95% CI=-0.27至0.68):结论:LRC 和 RARC 可被视为膀胱癌手术切除术的可行且安全的替代方案。值得注意的是,与 LRC 相比,RARC 可显著降低输血率,减少并发症,降低手术切缘阳性率。这些数据表明,RARC 可以改善对肌肉浸润性或高风险非肌肉浸润性膀胱癌患者的治疗。
本文章由计算机程序翻译,如有差异,请以英文原文为准。

Robot-assisted, laparoscopic and open radical cystectomy for bladder cancer: A systematic review and network meta-analysis.

Robot-assisted, laparoscopic and open radical cystectomy for bladder cancer: A systematic review and network meta-analysis.

Robot-assisted, laparoscopic and open radical cystectomy for bladder cancer: A systematic review and network meta-analysis.

Robot-assisted, laparoscopic and open radical cystectomy for bladder cancer: A systematic review and network meta-analysis.

Objectives: To evaluate the safety and effectiveness of robot-assisted radical cystectomy (RARC), laparoscopic radical cystectomy (LRC), and open radical cystectomy (ORC) in bladder cancer.

Methods: A literature search for network meta-analysis was conducted using international databases up to February 29, 2024. Outcomes of interest included baseline characteristics, perioperative outcomes and oncological outcomes.

Results: Forty articles were finally selected for inclusion in the network meta-analysis. Both LRC and RARC were associated with longer operative time, smaller amount of estimated blood loss, lower transfusion rate, shorter time to regular diet, fewer incidences of complications, and fewer positive surgical margin compared to ORC. LRC had a shorter time to flatus than ORC, while no difference between RARC and ORC was observed. Considering lymph node yield, there were no differences among LRC, RARC and ORC. In addition, there were statistically significant lower transfusion rates (OR=-0.15, 95% CI=-0.47 to 0.17), fewer overall complication rates (OR=-0.39, 95% CI=-0.79 to 0.00), fewer minor complication rates (OR=-0.23, 95% CI=-0.48 to 0.02), fewer major complication rates (OR=-0.23, 95% CI=-0.68 to 0.21), fewer positive surgical margin rates (OR=0.22, 95% CI=-0.27 to 0.68) in RARC group compared with LRC group.

Conclusion: LRC and RARC could be considered as a feasible and safe alternative to ORC for bladder cancer. Notably, compared with LRC, RARC may benefit from significantly lower transfusion rates, fewer complications and lower positive surgical margin rates. These data thus showed that RARC might improve the management of patients with muscle invasive or high-risk non-muscle invasive bladder cancer.

求助全文
通过发布文献求助,成功后即可免费获取论文全文。 去求助
来源期刊
International Braz J Urol
International Braz J Urol UROLOGY & NEPHROLOGY-
CiteScore
4.60
自引率
21.60%
发文量
246
审稿时长
6-12 weeks
期刊介绍: Information not localized
×
引用
GB/T 7714-2015
复制
MLA
复制
APA
复制
导出至
BibTeX EndNote RefMan NoteFirst NoteExpress
×
提示
您的信息不完整,为了账户安全,请先补充。
现在去补充
×
提示
您因"违规操作"
具体请查看互助需知
我知道了
×
提示
确定
请完成安全验证×
copy
已复制链接
快去分享给好友吧!
我知道了
右上角分享
点击右上角分享
0
联系我们:info@booksci.cn Book学术提供免费学术资源搜索服务,方便国内外学者检索中英文文献。致力于提供最便捷和优质的服务体验。 Copyright © 2023 布克学术 All rights reserved.
京ICP备2023020795号-1
ghs 京公网安备 11010802042870号
Book学术文献互助
Book学术文献互助群
群 号:604180095
Book学术官方微信