根据频率谐波和刺激数的稳态视觉诱发电位频率识别技术比较研究

Q3 Medicine
Maedeh Azadi Moghadam, Ali Maleki
{"title":"根据频率谐波和刺激数的稳态视觉诱发电位频率识别技术比较研究","authors":"Maedeh Azadi Moghadam, Ali Maleki","doi":"10.31661/jbpe.v0i0.2401-1703","DOIUrl":null,"url":null,"abstract":"<p><strong>Background: </strong>A key challenge in steady-state visual evoked potential (SSVEP)-based brain-computer interface (BCI) systems is to effectively recognize frequencies within a short time window. To address this challenge, the specific characteristics of the data are needed to select the frequency recognition method. These characteristics include factors, such as the number of stimulation targets and the presence of harmonic frequencies, resulting in optimizing the performance and accuracy of SSVEP-based BCI systems.</p><p><strong>Objective: </strong>The current study aimed to examine the effect of data characteristics on frequency recognition accuracy.</p><p><strong>Material and methods: </strong>In this analytical study, five commonly used frequency recognition methods were examined, used to various datasets containing different numbers of frequencies, including sub-data with and without frequency harmonics.</p><p><strong>Results: </strong>The increase in the number of frequencies in the Multivariate Linear Regression (MLR) method has led to a decrease in frequency recognition accuracy by 9%. Additionally, the presence of harmonic frequencies resulted in an 8% decrease in accuracy for the MLR method.</p><p><strong>Conclusion: </strong>Frequency recognition using the MLR method reduces the effect of the number of different frequencies and harmonics of the stimulation frequencies on the frequency recognition accuracy.</p>","PeriodicalId":38035,"journal":{"name":"Journal of Biomedical Physics and Engineering","volume":"14 4","pages":"365-378"},"PeriodicalIF":0.0000,"publicationDate":"2024-08-01","publicationTypes":"Journal Article","fieldsOfStudy":null,"isOpenAccess":false,"openAccessPdf":"https://www.ncbi.nlm.nih.gov/pmc/articles/PMC11336048/pdf/","citationCount":"0","resultStr":"{\"title\":\"Comparative Study of Frequency Recognition Techniques for Steady-State Visual Evoked Potentials According to the Frequency Harmonics and Stimulus Number.\",\"authors\":\"Maedeh Azadi Moghadam, Ali Maleki\",\"doi\":\"10.31661/jbpe.v0i0.2401-1703\",\"DOIUrl\":null,\"url\":null,\"abstract\":\"<p><strong>Background: </strong>A key challenge in steady-state visual evoked potential (SSVEP)-based brain-computer interface (BCI) systems is to effectively recognize frequencies within a short time window. To address this challenge, the specific characteristics of the data are needed to select the frequency recognition method. These characteristics include factors, such as the number of stimulation targets and the presence of harmonic frequencies, resulting in optimizing the performance and accuracy of SSVEP-based BCI systems.</p><p><strong>Objective: </strong>The current study aimed to examine the effect of data characteristics on frequency recognition accuracy.</p><p><strong>Material and methods: </strong>In this analytical study, five commonly used frequency recognition methods were examined, used to various datasets containing different numbers of frequencies, including sub-data with and without frequency harmonics.</p><p><strong>Results: </strong>The increase in the number of frequencies in the Multivariate Linear Regression (MLR) method has led to a decrease in frequency recognition accuracy by 9%. Additionally, the presence of harmonic frequencies resulted in an 8% decrease in accuracy for the MLR method.</p><p><strong>Conclusion: </strong>Frequency recognition using the MLR method reduces the effect of the number of different frequencies and harmonics of the stimulation frequencies on the frequency recognition accuracy.</p>\",\"PeriodicalId\":38035,\"journal\":{\"name\":\"Journal of Biomedical Physics and Engineering\",\"volume\":\"14 4\",\"pages\":\"365-378\"},\"PeriodicalIF\":0.0000,\"publicationDate\":\"2024-08-01\",\"publicationTypes\":\"Journal Article\",\"fieldsOfStudy\":null,\"isOpenAccess\":false,\"openAccessPdf\":\"https://www.ncbi.nlm.nih.gov/pmc/articles/PMC11336048/pdf/\",\"citationCount\":\"0\",\"resultStr\":null,\"platform\":\"Semanticscholar\",\"paperid\":null,\"PeriodicalName\":\"Journal of Biomedical Physics and Engineering\",\"FirstCategoryId\":\"1085\",\"ListUrlMain\":\"https://doi.org/10.31661/jbpe.v0i0.2401-1703\",\"RegionNum\":0,\"RegionCategory\":null,\"ArticlePicture\":[],\"TitleCN\":null,\"AbstractTextCN\":null,\"PMCID\":null,\"EPubDate\":\"\",\"PubModel\":\"\",\"JCR\":\"Q3\",\"JCRName\":\"Medicine\",\"Score\":null,\"Total\":0}","platform":"Semanticscholar","paperid":null,"PeriodicalName":"Journal of Biomedical Physics and Engineering","FirstCategoryId":"1085","ListUrlMain":"https://doi.org/10.31661/jbpe.v0i0.2401-1703","RegionNum":0,"RegionCategory":null,"ArticlePicture":[],"TitleCN":null,"AbstractTextCN":null,"PMCID":null,"EPubDate":"","PubModel":"","JCR":"Q3","JCRName":"Medicine","Score":null,"Total":0}
引用次数: 0

摘要

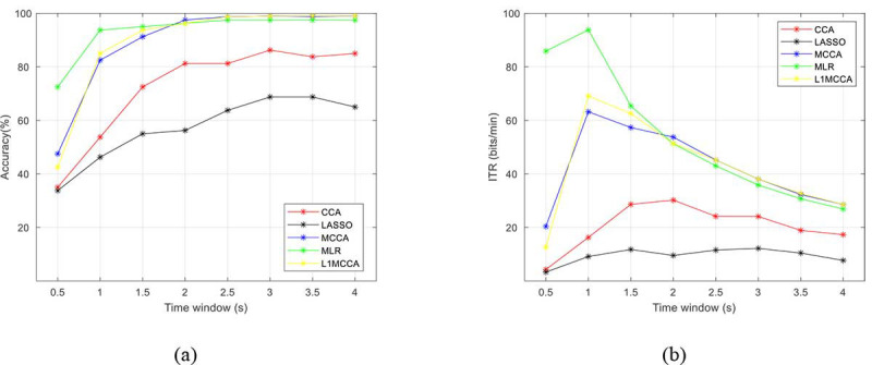
背景:基于稳态视觉诱发电位(SSVEP)的脑机接口(BCI)系统面临的一个主要挑战是如何在短时间窗口内有效识别频率。为了应对这一挑战,需要根据数据的具体特征来选择频率识别方法。这些特征包括刺激目标的数量和谐波频率的存在等因素,从而优化基于 SSVEP 的 BCI 系统的性能和准确性:本研究旨在探讨数据特征对频率识别准确性的影响:在这项分析研究中,对五种常用的频率识别方法进行了检验,并将其用于包含不同频率数量的各种数据集,包括有频率谐波和无频率谐波的子数据:结果:在多元线性回归(MLR)方法中,频率数量的增加导致频率识别准确率下降了 9%。此外,谐波频率的存在也导致 MLR 方法的准确率下降了 8%:结论:使用 MLR 方法进行频率识别可减少不同频率和谐波刺激频率数量对频率识别准确率的影响。
本文章由计算机程序翻译,如有差异,请以英文原文为准。

Comparative Study of Frequency Recognition Techniques for Steady-State Visual Evoked Potentials According to the Frequency Harmonics and Stimulus Number.

Comparative Study of Frequency Recognition Techniques for Steady-State Visual Evoked Potentials According to the Frequency Harmonics and Stimulus Number.

Comparative Study of Frequency Recognition Techniques for Steady-State Visual Evoked Potentials According to the Frequency Harmonics and Stimulus Number.

Comparative Study of Frequency Recognition Techniques for Steady-State Visual Evoked Potentials According to the Frequency Harmonics and Stimulus Number.

Background: A key challenge in steady-state visual evoked potential (SSVEP)-based brain-computer interface (BCI) systems is to effectively recognize frequencies within a short time window. To address this challenge, the specific characteristics of the data are needed to select the frequency recognition method. These characteristics include factors, such as the number of stimulation targets and the presence of harmonic frequencies, resulting in optimizing the performance and accuracy of SSVEP-based BCI systems.

Objective: The current study aimed to examine the effect of data characteristics on frequency recognition accuracy.

Material and methods: In this analytical study, five commonly used frequency recognition methods were examined, used to various datasets containing different numbers of frequencies, including sub-data with and without frequency harmonics.

Results: The increase in the number of frequencies in the Multivariate Linear Regression (MLR) method has led to a decrease in frequency recognition accuracy by 9%. Additionally, the presence of harmonic frequencies resulted in an 8% decrease in accuracy for the MLR method.

Conclusion: Frequency recognition using the MLR method reduces the effect of the number of different frequencies and harmonics of the stimulation frequencies on the frequency recognition accuracy.

求助全文
通过发布文献求助,成功后即可免费获取论文全文。 去求助
来源期刊
Journal of Biomedical Physics and Engineering
Journal of Biomedical Physics and Engineering Medicine-Radiology, Nuclear Medicine and Imaging
CiteScore
2.90
自引率
0.00%
发文量
64
审稿时长
10 weeks
期刊介绍: The Journal of Biomedical Physics and Engineering (JBPE) is a bimonthly peer-reviewed English-language journal that publishes high-quality basic sciences and clinical research (experimental or theoretical) broadly concerned with the relationship of physics to medicine and engineering.
×
引用
GB/T 7714-2015
复制
MLA
复制
APA
复制
导出至
BibTeX EndNote RefMan NoteFirst NoteExpress
×
提示
您的信息不完整,为了账户安全,请先补充。
现在去补充
×
提示
您因"违规操作"
具体请查看互助需知
我知道了
×
提示
确定
请完成安全验证×
copy
已复制链接
快去分享给好友吧!
我知道了
右上角分享
点击右上角分享
0
联系我们:info@booksci.cn Book学术提供免费学术资源搜索服务,方便国内外学者检索中英文文献。致力于提供最便捷和优质的服务体验。 Copyright © 2023 布克学术 All rights reserved.
京ICP备2023020795号-1
ghs 京公网安备 11010802042870号
Book学术文献互助
Book学术文献互助群
群 号:604180095
Book学术官方微信