图像空间迭代重建算法与自动管电流调制相结合在脑 CT 扫描中的性能与滤波背投影相比。

Q3 Medicine
Salman Jafari, Sohrab Kolivand
{"title":"图像空间迭代重建算法与自动管电流调制相结合在脑 CT 扫描中的性能与滤波背投影相比。","authors":"Salman Jafari, Sohrab Kolivand","doi":"10.31661/jbpe.v0i0.2404-1741","DOIUrl":null,"url":null,"abstract":"<p><strong>Background: </strong>High-quality images with minimum radiation dose are considered a challenge in Computed Tomography (CT) scans.</p><p><strong>Objective: </strong>The current study aimed to assess the efficacy of the Iterative Reconstruction in Image Space (IRIS) algorithm combined with Automatic Tube Current Modulation (ATCM) compared to Filtered Back Projection (FBP) in brain CT scans.</p><p><strong>Material and methods: </strong>In this cross-sectional study, 200 patients underwent to brain CT scan, and images were then reconstructed using both FBP and IRIS. The CT Number (CTN), noise, and Signal-to-Noise Ratio (SNR) were computed for different tissues from CT images. The performance of two algorithms under different exposure conditions was evaluated using a water phantom. Two experienced radiologists assessed the image quality. Volume CT Dose Index (CTDI<sub>vol</sub>) and Dose Length Product (DLP) were recorded for each scan.</p><p><strong>Results: </strong>FBP reconstruction exhibited higher noise and lower SNR compared to IRIS, both with and without ATCM. Noise levels significantly increased for FBP combined with ATCM. Subjective analysis showed higher performance for IRIS without ATCM compared to other approaches. The mean CTDI<sub>vol</sub> with and without ATCM was 20.04±3.33 and 36.37±4.65 mGy, respectively. In the phantom study, the noise with IRIS remained lower than that with FBP even with a 42% dose reduction.</p><p><strong>Conclusion: </strong>IRIS algorithm can preserve the image quality when radiation dose is significantly reduced by ATCM in brain CT scan. Implementation of IRIS combined with ATCM is recommended for brain CT examinations.</p>","PeriodicalId":38035,"journal":{"name":"Journal of Biomedical Physics and Engineering","volume":"14 4","pages":"379-388"},"PeriodicalIF":0.0000,"publicationDate":"2024-08-01","publicationTypes":"Journal Article","fieldsOfStudy":null,"isOpenAccess":false,"openAccessPdf":"https://www.ncbi.nlm.nih.gov/pmc/articles/PMC11336050/pdf/","citationCount":"0","resultStr":"{\"title\":\"Performance of Iterative Reconstruction in Image Space Algorithm in Combination with Automatic Tube Current Modulation Compared to Filtered Back Projection in Brain CT Scan.\",\"authors\":\"Salman Jafari, Sohrab Kolivand\",\"doi\":\"10.31661/jbpe.v0i0.2404-1741\",\"DOIUrl\":null,\"url\":null,\"abstract\":\"<p><strong>Background: </strong>High-quality images with minimum radiation dose are considered a challenge in Computed Tomography (CT) scans.</p><p><strong>Objective: </strong>The current study aimed to assess the efficacy of the Iterative Reconstruction in Image Space (IRIS) algorithm combined with Automatic Tube Current Modulation (ATCM) compared to Filtered Back Projection (FBP) in brain CT scans.</p><p><strong>Material and methods: </strong>In this cross-sectional study, 200 patients underwent to brain CT scan, and images were then reconstructed using both FBP and IRIS. The CT Number (CTN), noise, and Signal-to-Noise Ratio (SNR) were computed for different tissues from CT images. The performance of two algorithms under different exposure conditions was evaluated using a water phantom. Two experienced radiologists assessed the image quality. Volume CT Dose Index (CTDI<sub>vol</sub>) and Dose Length Product (DLP) were recorded for each scan.</p><p><strong>Results: </strong>FBP reconstruction exhibited higher noise and lower SNR compared to IRIS, both with and without ATCM. Noise levels significantly increased for FBP combined with ATCM. Subjective analysis showed higher performance for IRIS without ATCM compared to other approaches. The mean CTDI<sub>vol</sub> with and without ATCM was 20.04±3.33 and 36.37±4.65 mGy, respectively. In the phantom study, the noise with IRIS remained lower than that with FBP even with a 42% dose reduction.</p><p><strong>Conclusion: </strong>IRIS algorithm can preserve the image quality when radiation dose is significantly reduced by ATCM in brain CT scan. Implementation of IRIS combined with ATCM is recommended for brain CT examinations.</p>\",\"PeriodicalId\":38035,\"journal\":{\"name\":\"Journal of Biomedical Physics and Engineering\",\"volume\":\"14 4\",\"pages\":\"379-388\"},\"PeriodicalIF\":0.0000,\"publicationDate\":\"2024-08-01\",\"publicationTypes\":\"Journal Article\",\"fieldsOfStudy\":null,\"isOpenAccess\":false,\"openAccessPdf\":\"https://www.ncbi.nlm.nih.gov/pmc/articles/PMC11336050/pdf/\",\"citationCount\":\"0\",\"resultStr\":null,\"platform\":\"Semanticscholar\",\"paperid\":null,\"PeriodicalName\":\"Journal of Biomedical Physics and Engineering\",\"FirstCategoryId\":\"1085\",\"ListUrlMain\":\"https://doi.org/10.31661/jbpe.v0i0.2404-1741\",\"RegionNum\":0,\"RegionCategory\":null,\"ArticlePicture\":[],\"TitleCN\":null,\"AbstractTextCN\":null,\"PMCID\":null,\"EPubDate\":\"\",\"PubModel\":\"\",\"JCR\":\"Q3\",\"JCRName\":\"Medicine\",\"Score\":null,\"Total\":0}","platform":"Semanticscholar","paperid":null,"PeriodicalName":"Journal of Biomedical Physics and Engineering","FirstCategoryId":"1085","ListUrlMain":"https://doi.org/10.31661/jbpe.v0i0.2404-1741","RegionNum":0,"RegionCategory":null,"ArticlePicture":[],"TitleCN":null,"AbstractTextCN":null,"PMCID":null,"EPubDate":"","PubModel":"","JCR":"Q3","JCRName":"Medicine","Score":null,"Total":0}
引用次数: 0

摘要

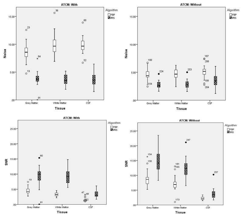
背景:在计算机断层扫描(CT)中,如何以最小的辐射剂量获得高质量的图像是一项挑战:本研究旨在评估图像空间迭代重建(IRIS)算法结合自动管电流调制(ATCM)与滤波背投影(FBP)在脑部 CT 扫描中的效果:在这项横断面研究中,200 名患者接受了脑 CT 扫描,然后使用 FBP 和 IRIS 重建图像。根据 CT 图像计算不同组织的 CT 数值(CTN)、噪声和信噪比(SNR)。使用水模型评估了两种算法在不同曝光条件下的性能。两名经验丰富的放射科医生对图像质量进行了评估。每次扫描都记录了容积 CT 剂量指数(CTDIvol)和剂量长度乘积(DLP):结果:与 IRIS 相比,FBP 重建显示出更高的噪声和更低的 SNR,无论是否有 ATCM。FBP 结合 ATCM 时,噪音水平明显增加。主观分析表明,与其他方法相比,不带 ATCM 的 IRIS 性能更高。使用和不使用 ATCM 的 CTDIvol 平均值分别为 20.04±3.33 和 36.37±4.65 mGy。在模型研究中,即使剂量减少了 42%,IRIS 算法的噪声仍然低于 FBP 算法:结论:在脑 CT 扫描中,当 ATCM 大幅减少辐射剂量时,IRIS 算法仍能保持图像质量。建议在脑 CT 检查中结合 ATCM 使用 IRIS。
本文章由计算机程序翻译,如有差异,请以英文原文为准。

Performance of Iterative Reconstruction in Image Space Algorithm in Combination with Automatic Tube Current Modulation Compared to Filtered Back Projection in Brain CT Scan.

Performance of Iterative Reconstruction in Image Space Algorithm in Combination with Automatic Tube Current Modulation Compared to Filtered Back Projection in Brain CT Scan.

Performance of Iterative Reconstruction in Image Space Algorithm in Combination with Automatic Tube Current Modulation Compared to Filtered Back Projection in Brain CT Scan.

Performance of Iterative Reconstruction in Image Space Algorithm in Combination with Automatic Tube Current Modulation Compared to Filtered Back Projection in Brain CT Scan.

Background: High-quality images with minimum radiation dose are considered a challenge in Computed Tomography (CT) scans.

Objective: The current study aimed to assess the efficacy of the Iterative Reconstruction in Image Space (IRIS) algorithm combined with Automatic Tube Current Modulation (ATCM) compared to Filtered Back Projection (FBP) in brain CT scans.

Material and methods: In this cross-sectional study, 200 patients underwent to brain CT scan, and images were then reconstructed using both FBP and IRIS. The CT Number (CTN), noise, and Signal-to-Noise Ratio (SNR) were computed for different tissues from CT images. The performance of two algorithms under different exposure conditions was evaluated using a water phantom. Two experienced radiologists assessed the image quality. Volume CT Dose Index (CTDIvol) and Dose Length Product (DLP) were recorded for each scan.

Results: FBP reconstruction exhibited higher noise and lower SNR compared to IRIS, both with and without ATCM. Noise levels significantly increased for FBP combined with ATCM. Subjective analysis showed higher performance for IRIS without ATCM compared to other approaches. The mean CTDIvol with and without ATCM was 20.04±3.33 and 36.37±4.65 mGy, respectively. In the phantom study, the noise with IRIS remained lower than that with FBP even with a 42% dose reduction.

Conclusion: IRIS algorithm can preserve the image quality when radiation dose is significantly reduced by ATCM in brain CT scan. Implementation of IRIS combined with ATCM is recommended for brain CT examinations.

求助全文
通过发布文献求助,成功后即可免费获取论文全文。 去求助
来源期刊
Journal of Biomedical Physics and Engineering
Journal of Biomedical Physics and Engineering Medicine-Radiology, Nuclear Medicine and Imaging
CiteScore
2.90
自引率
0.00%
发文量
64
审稿时长
10 weeks
期刊介绍: The Journal of Biomedical Physics and Engineering (JBPE) is a bimonthly peer-reviewed English-language journal that publishes high-quality basic sciences and clinical research (experimental or theoretical) broadly concerned with the relationship of physics to medicine and engineering.
×
引用
GB/T 7714-2015
复制
MLA
复制
APA
复制
导出至
BibTeX EndNote RefMan NoteFirst NoteExpress
×
提示
您的信息不完整,为了账户安全,请先补充。
现在去补充
×
提示
您因"违规操作"
具体请查看互助需知
我知道了
×
提示
确定
请完成安全验证×
copy
已复制链接
快去分享给好友吧!
我知道了
右上角分享
点击右上角分享
0
联系我们:info@booksci.cn Book学术提供免费学术资源搜索服务,方便国内外学者检索中英文文献。致力于提供最便捷和优质的服务体验。 Copyright © 2023 布克学术 All rights reserved.
京ICP备2023020795号-1
ghs 京公网安备 11010802042870号
Book学术文献互助
Book学术文献互助群
群 号:604180095
Book学术官方微信