环极人群中棕色脂肪与正向自然选择基因之间的关系。

IF 2.1 4区 医学 Q1 PHYSIOLOGY
Yuka Ishida, Mami Matsushita, Takeshi Yoneshiro, Masayuki Saito, Kazuhiro Nakayama
{"title":"环极人群中棕色脂肪与正向自然选择基因之间的关系。","authors":"Yuka Ishida, Mami Matsushita, Takeshi Yoneshiro, Masayuki Saito, Kazuhiro Nakayama","doi":"10.1186/s40101-024-00368-1","DOIUrl":null,"url":null,"abstract":"<p><strong>Background: </strong>Adaptation to cold was essential for human migration across Eurasia. Non-shivering thermogenesis through brown adipose tissue (BAT) participates in cold adaptation because some genes involved in the differentiation and function of BAT exhibit signatures of positive natural selection in populations at high latitudes. Whether these genes are associated with the inter-individual variability in BAT thermogenesis remains unclear. In this study, we evaluated the potential associations between BAT activity and single nucleotide polymorphisms (SNPs) in candidate gene regions in East Asian populations.</p><p><strong>Methods: </strong>BAT activity induced by mild cold exposure was measured in 399 healthy Japanese men and women using fluorodeoxyglucose-positron emission tomography and computed tomography (FDG-PET/CT). The capacity for cold-induced thermogenesis and fat oxidation was measured in 56 men. Association analyses with physiological traits were performed for 11 SNPs at six loci (LEPR, ANGPTL8, PLA2G2A, PLIN1, TBX15-WARS2, and FADS1) reported to be under positive natural selection. Associations found in the FDG-PET/CT population were further validated in 84 healthy East Asian men and women, in whom BAT activity was measured using infrared thermography. Associations between the SNP genotypes and BAT activity or other related traits were tested using multiple logistic and linear regression models.</p><p><strong>Results: </strong>Of the 11 putative adaptive alleles of the six genes, two intronic SNPs in LEPR (rs1022981 and rs12405556) tended to be associated with higher BAT activity. However, these did not survive multiple test comparisons. Associations with lower body fat percentage, plasma triglyceride, insulin, and HOMA-IR levels were observed in the FDG-PET/CT population (P < 0.05). Other loci, including TBX15-WARS2, which is speculated to mediate cold adaptation in Greenland Inuits, did not show significant differences in BAT thermogenesis.</p><p><strong>Conclusions: </strong>Our results suggest a marginal but significant association between LEPR SNPs. However, robust supporting evidence was not established for the involvement of other loci under positive natural selection in cold adaptation through BAT thermogenesis in East Asian adults. Given the pleiotropic function of these genes, factors other than cold adaptation through BAT thermogenesis, such as diet adaptation, may contribute to positive natural selection at these loci.</p>","PeriodicalId":48730,"journal":{"name":"Journal of Physiological Anthropology","volume":"43 1","pages":"19"},"PeriodicalIF":2.1000,"publicationDate":"2024-08-19","publicationTypes":"Journal Article","fieldsOfStudy":null,"isOpenAccess":false,"openAccessPdf":"https://www.ncbi.nlm.nih.gov/pmc/articles/PMC11331686/pdf/","citationCount":"0","resultStr":"{\"title\":\"Association between thermogenic brown fat and genes under positive natural selection in circumpolar populations.\",\"authors\":\"Yuka Ishida, Mami Matsushita, Takeshi Yoneshiro, Masayuki Saito, Kazuhiro Nakayama\",\"doi\":\"10.1186/s40101-024-00368-1\",\"DOIUrl\":null,\"url\":null,\"abstract\":\"<p><strong>Background: </strong>Adaptation to cold was essential for human migration across Eurasia. Non-shivering thermogenesis through brown adipose tissue (BAT) participates in cold adaptation because some genes involved in the differentiation and function of BAT exhibit signatures of positive natural selection in populations at high latitudes. Whether these genes are associated with the inter-individual variability in BAT thermogenesis remains unclear. In this study, we evaluated the potential associations between BAT activity and single nucleotide polymorphisms (SNPs) in candidate gene regions in East Asian populations.</p><p><strong>Methods: </strong>BAT activity induced by mild cold exposure was measured in 399 healthy Japanese men and women using fluorodeoxyglucose-positron emission tomography and computed tomography (FDG-PET/CT). The capacity for cold-induced thermogenesis and fat oxidation was measured in 56 men. Association analyses with physiological traits were performed for 11 SNPs at six loci (LEPR, ANGPTL8, PLA2G2A, PLIN1, TBX15-WARS2, and FADS1) reported to be under positive natural selection. Associations found in the FDG-PET/CT population were further validated in 84 healthy East Asian men and women, in whom BAT activity was measured using infrared thermography. Associations between the SNP genotypes and BAT activity or other related traits were tested using multiple logistic and linear regression models.</p><p><strong>Results: </strong>Of the 11 putative adaptive alleles of the six genes, two intronic SNPs in LEPR (rs1022981 and rs12405556) tended to be associated with higher BAT activity. However, these did not survive multiple test comparisons. Associations with lower body fat percentage, plasma triglyceride, insulin, and HOMA-IR levels were observed in the FDG-PET/CT population (P < 0.05). Other loci, including TBX15-WARS2, which is speculated to mediate cold adaptation in Greenland Inuits, did not show significant differences in BAT thermogenesis.</p><p><strong>Conclusions: </strong>Our results suggest a marginal but significant association between LEPR SNPs. However, robust supporting evidence was not established for the involvement of other loci under positive natural selection in cold adaptation through BAT thermogenesis in East Asian adults. Given the pleiotropic function of these genes, factors other than cold adaptation through BAT thermogenesis, such as diet adaptation, may contribute to positive natural selection at these loci.</p>\",\"PeriodicalId\":48730,\"journal\":{\"name\":\"Journal of Physiological Anthropology\",\"volume\":\"43 1\",\"pages\":\"19\"},\"PeriodicalIF\":2.1000,\"publicationDate\":\"2024-08-19\",\"publicationTypes\":\"Journal Article\",\"fieldsOfStudy\":null,\"isOpenAccess\":false,\"openAccessPdf\":\"https://www.ncbi.nlm.nih.gov/pmc/articles/PMC11331686/pdf/\",\"citationCount\":\"0\",\"resultStr\":null,\"platform\":\"Semanticscholar\",\"paperid\":null,\"PeriodicalName\":\"Journal of Physiological Anthropology\",\"FirstCategoryId\":\"3\",\"ListUrlMain\":\"https://doi.org/10.1186/s40101-024-00368-1\",\"RegionNum\":4,\"RegionCategory\":\"医学\",\"ArticlePicture\":[],\"TitleCN\":null,\"AbstractTextCN\":null,\"PMCID\":null,\"EPubDate\":\"\",\"PubModel\":\"\",\"JCR\":\"Q1\",\"JCRName\":\"PHYSIOLOGY\",\"Score\":null,\"Total\":0}","platform":"Semanticscholar","paperid":null,"PeriodicalName":"Journal of Physiological Anthropology","FirstCategoryId":"3","ListUrlMain":"https://doi.org/10.1186/s40101-024-00368-1","RegionNum":4,"RegionCategory":"医学","ArticlePicture":[],"TitleCN":null,"AbstractTextCN":null,"PMCID":null,"EPubDate":"","PubModel":"","JCR":"Q1","JCRName":"PHYSIOLOGY","Score":null,"Total":0}
引用次数: 0

摘要

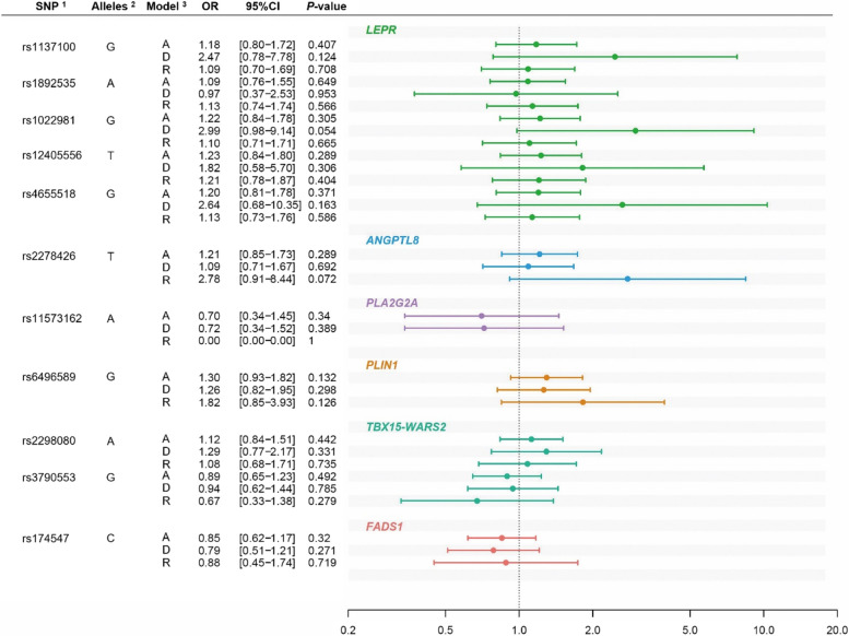
背景:适应寒冷对人类跨越欧亚大陆的迁移至关重要。棕色脂肪组织(BAT)的非颤抖性产热参与了寒冷适应,因为在高纬度地区的人群中,一些参与棕色脂肪组织分化和功能的基因表现出积极的自然选择特征。这些基因是否与 BAT 产热的个体间变异有关仍不清楚。在这项研究中,我们评估了东亚人群中 BAT 活性与候选基因区域中单核苷酸多态性(SNPs)之间的潜在关联:方法:使用氟脱氧葡萄糖正电子发射断层扫描和计算机断层扫描(FDG-PET/CT)测量了 399 名健康日本男性和女性在轻度寒冷暴露下诱导的 BAT 活动。对 56 名男性进行了冷诱导产热和脂肪氧化能力的测量。对 6 个位点(LEPR、ANGPTL8、PLA2G2A、PLIN1、TBX15-WARS2 和 FADS1)上的 11 个 SNPs 与生理特征进行了关联分析。在 FDG-PET/CT 群体中发现的关联在 84 名健康的东亚男性和女性中得到了进一步验证,他们的 BAT 活性是通过红外热成像测量的。使用多重逻辑和线性回归模型检验了 SNP 基因型与 BAT 活动或其他相关性状之间的关联:结果:在六个基因的 11 个推测适应性等位基因中,LEPR 的两个内含子 SNP(rs1022981 和 rs12405556)往往与较高的 BAT 活性相关。然而,这些基因并没有通过多重检验比较。在FDG-PET/CT人群中,观察到与较低的体脂率、血浆甘油三酯、胰岛素和HOMA-IR水平相关(P 结论:我们的研究结果表明,LEPR与较高的BAT活性存在微弱但显著的相关性:我们的研究结果表明,LEPR SNPs 之间存在微弱但显著的关联。然而,在东亚成年人中,并没有强有力的支持证据表明其他基因位点在自然选择的积极作用下通过 BAT 产热参与了冷适应。鉴于这些基因的多效应功能,除了通过 BAT 产热进行冷适应外,其他因素(如饮食适应)也可能促成这些基因位点的正向自然选择。
本文章由计算机程序翻译,如有差异,请以英文原文为准。

Association between thermogenic brown fat and genes under positive natural selection in circumpolar populations.

Association between thermogenic brown fat and genes under positive natural selection in circumpolar populations.

Association between thermogenic brown fat and genes under positive natural selection in circumpolar populations.

Association between thermogenic brown fat and genes under positive natural selection in circumpolar populations.

Background: Adaptation to cold was essential for human migration across Eurasia. Non-shivering thermogenesis through brown adipose tissue (BAT) participates in cold adaptation because some genes involved in the differentiation and function of BAT exhibit signatures of positive natural selection in populations at high latitudes. Whether these genes are associated with the inter-individual variability in BAT thermogenesis remains unclear. In this study, we evaluated the potential associations between BAT activity and single nucleotide polymorphisms (SNPs) in candidate gene regions in East Asian populations.

Methods: BAT activity induced by mild cold exposure was measured in 399 healthy Japanese men and women using fluorodeoxyglucose-positron emission tomography and computed tomography (FDG-PET/CT). The capacity for cold-induced thermogenesis and fat oxidation was measured in 56 men. Association analyses with physiological traits were performed for 11 SNPs at six loci (LEPR, ANGPTL8, PLA2G2A, PLIN1, TBX15-WARS2, and FADS1) reported to be under positive natural selection. Associations found in the FDG-PET/CT population were further validated in 84 healthy East Asian men and women, in whom BAT activity was measured using infrared thermography. Associations between the SNP genotypes and BAT activity or other related traits were tested using multiple logistic and linear regression models.

Results: Of the 11 putative adaptive alleles of the six genes, two intronic SNPs in LEPR (rs1022981 and rs12405556) tended to be associated with higher BAT activity. However, these did not survive multiple test comparisons. Associations with lower body fat percentage, plasma triglyceride, insulin, and HOMA-IR levels were observed in the FDG-PET/CT population (P < 0.05). Other loci, including TBX15-WARS2, which is speculated to mediate cold adaptation in Greenland Inuits, did not show significant differences in BAT thermogenesis.

Conclusions: Our results suggest a marginal but significant association between LEPR SNPs. However, robust supporting evidence was not established for the involvement of other loci under positive natural selection in cold adaptation through BAT thermogenesis in East Asian adults. Given the pleiotropic function of these genes, factors other than cold adaptation through BAT thermogenesis, such as diet adaptation, may contribute to positive natural selection at these loci.

求助全文
通过发布文献求助,成功后即可免费获取论文全文。 去求助
来源期刊
自引率
6.50%
发文量
39
期刊介绍: Journal of Physiological Anthropology (JPA) is an open access, peer-reviewed journal that publishes research on the physiological functions of modern mankind, with an emphasis on the physical and bio-cultural effects on human adaptability to the current environment. The objective of JPA is to evaluate physiological adaptations to modern living environments, and to publish research from different scientific fields concerned with environmental impact on human life. Topic areas include, but are not limited to: environmental physiology bio-cultural environment living environment epigenetic adaptation development and growth age and sex differences nutrition and morphology physical fitness and health Journal of Physiological Anthropology is the official journal of the Japan Society of Physiological Anthropology.
×
引用
GB/T 7714-2015
复制
MLA
复制
APA
复制
导出至
BibTeX EndNote RefMan NoteFirst NoteExpress
×
提示
您的信息不完整,为了账户安全,请先补充。
现在去补充
×
提示
您因"违规操作"
具体请查看互助需知
我知道了
×
提示
确定
请完成安全验证×
copy
已复制链接
快去分享给好友吧!
我知道了
右上角分享
点击右上角分享
0
联系我们:info@booksci.cn Book学术提供免费学术资源搜索服务,方便国内外学者检索中英文文献。致力于提供最便捷和优质的服务体验。 Copyright © 2023 布克学术 All rights reserved.
京ICP备2023020795号-1
ghs 京公网安备 11010802042870号
Book学术文献互助
Book学术文献互助群
群 号:604180095
Book学术官方微信