吡格列酮诱发糖尿病患者脉络膜增厚。

Korean journal of ophthalmology : KJO Pub Date : 2024-10-01 Epub Date: 2024-08-16 DOI:10.3341/kjo.2024.0039
Ju Seouk Lee, Chang Zoo Kim, Seung Uk Lee, Sang Joon Lee
{"title":"吡格列酮诱发糖尿病患者脉络膜增厚。","authors":"Ju Seouk Lee, Chang Zoo Kim, Seung Uk Lee, Sang Joon Lee","doi":"10.3341/kjo.2024.0039","DOIUrl":null,"url":null,"abstract":"<p><strong>Purpose: </strong>This study aimed to determine the changes in choroidal thickness induced by pioglitazone in diabetic patients.</p><p><strong>Methods: </strong>A total of 261 patients diagnosed with type 2 diabetes who had taken oral pioglitazone for more than 6 months were included in the study. After excluding patients who did not undergo regular eye examinations or who had ophthalmic surgery/interventions during the treatment period, a total of 40 eyes were included. The study examined the duration and dosage of pioglitazone, patient age, ocular axial length, refraction, glycated hemoglobin, systolic blood pressure, corrected visual acuity, macular thickness, choroidal thickness, and choroidal vascular index. Patients were categorized into a high-dose group if their pioglitazone dose was 30 mg or more per day, and a low-dose group if it was 15 mg or less. Choroidal thickness was measured below the subfovea and a 500 µm radius nasal and temporal to that location.</p><p><strong>Results: </strong>Choroidal thickness significantly increased after 6 and 12 months of pioglitazone (6.70 and 13.65 µm, respectively) in all subjects. When stratified by pioglitazone dosage, choroidal thickness increased at 6 and 12 months in both high-dose group (4.48 and 0.84 µm, respectively) and low-dose groups (6.85 and 21.45 µm, respectively), with a greater change observed in the low-dose group (p < 0.05). Based on the location of choroidal thickness measurements, a significant increase in choroidal thickness was observed at 6 and 12 months of pioglitazone treatment in the subfoveal (7.00 and 13.15 µm, respectively) and nasal regions (6.43 and 19.24 µm, respectively), while a significant increase was only observed after 6 months of treatment in the temporal region (8.53 µm, p < 0.05). The largest increase in choroidal thickness was observed in the nasal side.</p><p><strong>Conclusions: </strong>This study found that choroidal thickness increased in diabetic patients after taking pioglitazone. Regular eye examinations are recommended for diabetic patients who are on pioglitazone.</p>","PeriodicalId":101356,"journal":{"name":"Korean journal of ophthalmology : KJO","volume":" ","pages":"331-341"},"PeriodicalIF":0.0000,"publicationDate":"2024-10-01","publicationTypes":"Journal Article","fieldsOfStudy":null,"isOpenAccess":false,"openAccessPdf":"https://www.ncbi.nlm.nih.gov/pmc/articles/PMC11491798/pdf/","citationCount":"0","resultStr":"{\"title\":\"Choroidal Thickening Induced by Pioglitazone in Diabetic Patients.\",\"authors\":\"Ju Seouk Lee, Chang Zoo Kim, Seung Uk Lee, Sang Joon Lee\",\"doi\":\"10.3341/kjo.2024.0039\",\"DOIUrl\":null,\"url\":null,\"abstract\":\"<p><strong>Purpose: </strong>This study aimed to determine the changes in choroidal thickness induced by pioglitazone in diabetic patients.</p><p><strong>Methods: </strong>A total of 261 patients diagnosed with type 2 diabetes who had taken oral pioglitazone for more than 6 months were included in the study. After excluding patients who did not undergo regular eye examinations or who had ophthalmic surgery/interventions during the treatment period, a total of 40 eyes were included. The study examined the duration and dosage of pioglitazone, patient age, ocular axial length, refraction, glycated hemoglobin, systolic blood pressure, corrected visual acuity, macular thickness, choroidal thickness, and choroidal vascular index. Patients were categorized into a high-dose group if their pioglitazone dose was 30 mg or more per day, and a low-dose group if it was 15 mg or less. Choroidal thickness was measured below the subfovea and a 500 µm radius nasal and temporal to that location.</p><p><strong>Results: </strong>Choroidal thickness significantly increased after 6 and 12 months of pioglitazone (6.70 and 13.65 µm, respectively) in all subjects. When stratified by pioglitazone dosage, choroidal thickness increased at 6 and 12 months in both high-dose group (4.48 and 0.84 µm, respectively) and low-dose groups (6.85 and 21.45 µm, respectively), with a greater change observed in the low-dose group (p < 0.05). Based on the location of choroidal thickness measurements, a significant increase in choroidal thickness was observed at 6 and 12 months of pioglitazone treatment in the subfoveal (7.00 and 13.15 µm, respectively) and nasal regions (6.43 and 19.24 µm, respectively), while a significant increase was only observed after 6 months of treatment in the temporal region (8.53 µm, p < 0.05). The largest increase in choroidal thickness was observed in the nasal side.</p><p><strong>Conclusions: </strong>This study found that choroidal thickness increased in diabetic patients after taking pioglitazone. Regular eye examinations are recommended for diabetic patients who are on pioglitazone.</p>\",\"PeriodicalId\":101356,\"journal\":{\"name\":\"Korean journal of ophthalmology : KJO\",\"volume\":\" \",\"pages\":\"331-341\"},\"PeriodicalIF\":0.0000,\"publicationDate\":\"2024-10-01\",\"publicationTypes\":\"Journal Article\",\"fieldsOfStudy\":null,\"isOpenAccess\":false,\"openAccessPdf\":\"https://www.ncbi.nlm.nih.gov/pmc/articles/PMC11491798/pdf/\",\"citationCount\":\"0\",\"resultStr\":null,\"platform\":\"Semanticscholar\",\"paperid\":null,\"PeriodicalName\":\"Korean journal of ophthalmology : KJO\",\"FirstCategoryId\":\"1085\",\"ListUrlMain\":\"https://doi.org/10.3341/kjo.2024.0039\",\"RegionNum\":0,\"RegionCategory\":null,\"ArticlePicture\":[],\"TitleCN\":null,\"AbstractTextCN\":null,\"PMCID\":null,\"EPubDate\":\"2024/8/16 0:00:00\",\"PubModel\":\"Epub\",\"JCR\":\"\",\"JCRName\":\"\",\"Score\":null,\"Total\":0}","platform":"Semanticscholar","paperid":null,"PeriodicalName":"Korean journal of ophthalmology : KJO","FirstCategoryId":"1085","ListUrlMain":"https://doi.org/10.3341/kjo.2024.0039","RegionNum":0,"RegionCategory":null,"ArticlePicture":[],"TitleCN":null,"AbstractTextCN":null,"PMCID":null,"EPubDate":"2024/8/16 0:00:00","PubModel":"Epub","JCR":"","JCRName":"","Score":null,"Total":0}
引用次数: 0

摘要

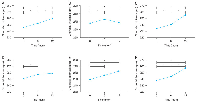
目的:本研究旨在确定吡格列酮对糖尿病患者脉络膜厚度的影响:研究共纳入 261 名确诊为 2 型糖尿病且口服吡格列酮超过 6 个月的患者。在排除未定期进行眼科检查或在治疗期间进行过眼科手术/干预的患者后,共纳入 40 只眼睛。研究考察了吡格列酮的疗程和剂量、患者年龄、眼轴长度、屈光度、糖化血红蛋白、收缩压、矫正视力、黄斑厚度、脉络膜厚度和脉络膜血管指数。如果患者的吡格列酮剂量为每天 30 毫克或以上,则将其分为高剂量组;如果患者的吡格列酮剂量为每天 15 毫克或以下,则将其分为低剂量组。脉络膜厚度在眼窝下及该位置的鼻侧和颞侧500微米半径范围内测量:结果:在服用吡格列酮 6 个月和 12 个月后,所有受试者的脉络膜厚度都明显增加(分别为 6.70 微米和 13.65 微米)。按吡格列酮剂量分层后,高剂量组(各为 4.48µm、0.84µm)和低剂量组(各为 6.85µm、21.45µm)的脉络膜厚度在 6 个月和 12 个月后均有所增加,其中低剂量组的变化更大(p结论:本研究发现,糖尿病患者服用吡格列酮后脉络膜厚度增加。建议服用吡格列酮的糖尿病患者定期进行眼部检查。
本文章由计算机程序翻译,如有差异,请以英文原文为准。

Choroidal Thickening Induced by Pioglitazone in Diabetic Patients.

Choroidal Thickening Induced by Pioglitazone in Diabetic Patients.

Choroidal Thickening Induced by Pioglitazone in Diabetic Patients.

Choroidal Thickening Induced by Pioglitazone in Diabetic Patients.

Purpose: This study aimed to determine the changes in choroidal thickness induced by pioglitazone in diabetic patients.

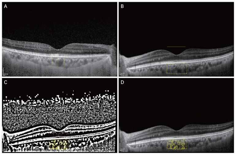
Methods: A total of 261 patients diagnosed with type 2 diabetes who had taken oral pioglitazone for more than 6 months were included in the study. After excluding patients who did not undergo regular eye examinations or who had ophthalmic surgery/interventions during the treatment period, a total of 40 eyes were included. The study examined the duration and dosage of pioglitazone, patient age, ocular axial length, refraction, glycated hemoglobin, systolic blood pressure, corrected visual acuity, macular thickness, choroidal thickness, and choroidal vascular index. Patients were categorized into a high-dose group if their pioglitazone dose was 30 mg or more per day, and a low-dose group if it was 15 mg or less. Choroidal thickness was measured below the subfovea and a 500 µm radius nasal and temporal to that location.

Results: Choroidal thickness significantly increased after 6 and 12 months of pioglitazone (6.70 and 13.65 µm, respectively) in all subjects. When stratified by pioglitazone dosage, choroidal thickness increased at 6 and 12 months in both high-dose group (4.48 and 0.84 µm, respectively) and low-dose groups (6.85 and 21.45 µm, respectively), with a greater change observed in the low-dose group (p < 0.05). Based on the location of choroidal thickness measurements, a significant increase in choroidal thickness was observed at 6 and 12 months of pioglitazone treatment in the subfoveal (7.00 and 13.15 µm, respectively) and nasal regions (6.43 and 19.24 µm, respectively), while a significant increase was only observed after 6 months of treatment in the temporal region (8.53 µm, p < 0.05). The largest increase in choroidal thickness was observed in the nasal side.

Conclusions: This study found that choroidal thickness increased in diabetic patients after taking pioglitazone. Regular eye examinations are recommended for diabetic patients who are on pioglitazone.

求助全文
通过发布文献求助,成功后即可免费获取论文全文。 去求助
来源期刊
自引率
0.00%
发文量
0
×
引用
GB/T 7714-2015
复制
MLA
复制
APA
复制
导出至
BibTeX EndNote RefMan NoteFirst NoteExpress
×
提示
您的信息不完整,为了账户安全,请先补充。
现在去补充
×
提示
您因"违规操作"
具体请查看互助需知
我知道了
×
提示
确定
请完成安全验证×
copy
已复制链接
快去分享给好友吧!
我知道了
右上角分享
点击右上角分享
0
联系我们:info@booksci.cn Book学术提供免费学术资源搜索服务,方便国内外学者检索中英文文献。致力于提供最便捷和优质的服务体验。 Copyright © 2023 布克学术 All rights reserved.
京ICP备2023020795号-1
ghs 京公网安备 11010802042870号
Book学术文献互助
Book学术文献互助群
群 号:604180095
Book学术官方微信