慢性阻塞性肺病患者与居住在低压缺氧环境中的健康人体育活动水平的比较。

IF 1.1 0 CRITICAL CARE MEDICINE
Canadian Journal of Respiratory Therapy Pub Date : 2024-08-15 eCollection Date: 2024-01-01 DOI:10.29390/001c.122163
Wilder A Villamil-Parra
{"title":"慢性阻塞性肺病患者与居住在低压缺氧环境中的健康人体育活动水平的比较。","authors":"Wilder A Villamil-Parra","doi":"10.29390/001c.122163","DOIUrl":null,"url":null,"abstract":"<p><strong>Background: </strong>The reduced level of physical activity in individuals with chronic obstructive pulmonary disease (COPD) is associated with disease severity; however, mild COPD may or may not decrease individuals' physical fitness. Currently, it is unknown whether high-altitude hypoxia is a modifying factor of physical activity levels in COPD compared to healthy subjects.</p><p><strong>Objective: </strong>To compare physical activity levels in individuals with COPD versus healthy subjects residing in high-altitude environments.</p><p><strong>Methods: </strong>Individuals with COPD GOLD 1(A, B) and control subjects residing at high altitudes (>2500m) were studied. Physical activity level was measured for seven days using triaxial accelerometry. Measurement variables included METs/hour, energy expenditure in kcal/hour, total daily energy expenditure, and number of steps per day.</p><p><strong>Results: </strong>Daily caloric expenditure associated with physical activity showed only a slight decrease (3.1%) in COPD patients compared to the control group; there was a significant 61.32% lower hourly calorie consumption rate in the COPD group. Additionally, COPD patients exhibited lower MET/hour (9.64% difference) and a substantial difference in the number of steps per day, with 139.41% fewer steps compared to the control group.</p><p><strong>Conclusion: </strong>COPD patients in hypobaric hypoxia environments exhibit significantly lower levels of physical activity compared to healthy individuals. Altitude hypoxia contributes to low levels of physical activity in both COPD patients and healthy subjects.</p>","PeriodicalId":39373,"journal":{"name":"Canadian Journal of Respiratory Therapy","volume":"60 ","pages":"103-111"},"PeriodicalIF":1.1000,"publicationDate":"2024-08-15","publicationTypes":"Journal Article","fieldsOfStudy":null,"isOpenAccess":false,"openAccessPdf":"https://www.ncbi.nlm.nih.gov/pmc/articles/PMC11330300/pdf/","citationCount":"0","resultStr":"{\"title\":\"Comparison of physical activity levels in people with chronic obstructive pulmonary disease and healthy subjects residing in hypobaric hypoxia environments.\",\"authors\":\"Wilder A Villamil-Parra\",\"doi\":\"10.29390/001c.122163\",\"DOIUrl\":null,\"url\":null,\"abstract\":\"<p><strong>Background: </strong>The reduced level of physical activity in individuals with chronic obstructive pulmonary disease (COPD) is associated with disease severity; however, mild COPD may or may not decrease individuals' physical fitness. Currently, it is unknown whether high-altitude hypoxia is a modifying factor of physical activity levels in COPD compared to healthy subjects.</p><p><strong>Objective: </strong>To compare physical activity levels in individuals with COPD versus healthy subjects residing in high-altitude environments.</p><p><strong>Methods: </strong>Individuals with COPD GOLD 1(A, B) and control subjects residing at high altitudes (>2500m) were studied. Physical activity level was measured for seven days using triaxial accelerometry. Measurement variables included METs/hour, energy expenditure in kcal/hour, total daily energy expenditure, and number of steps per day.</p><p><strong>Results: </strong>Daily caloric expenditure associated with physical activity showed only a slight decrease (3.1%) in COPD patients compared to the control group; there was a significant 61.32% lower hourly calorie consumption rate in the COPD group. Additionally, COPD patients exhibited lower MET/hour (9.64% difference) and a substantial difference in the number of steps per day, with 139.41% fewer steps compared to the control group.</p><p><strong>Conclusion: </strong>COPD patients in hypobaric hypoxia environments exhibit significantly lower levels of physical activity compared to healthy individuals. Altitude hypoxia contributes to low levels of physical activity in both COPD patients and healthy subjects.</p>\",\"PeriodicalId\":39373,\"journal\":{\"name\":\"Canadian Journal of Respiratory Therapy\",\"volume\":\"60 \",\"pages\":\"103-111\"},\"PeriodicalIF\":1.1000,\"publicationDate\":\"2024-08-15\",\"publicationTypes\":\"Journal Article\",\"fieldsOfStudy\":null,\"isOpenAccess\":false,\"openAccessPdf\":\"https://www.ncbi.nlm.nih.gov/pmc/articles/PMC11330300/pdf/\",\"citationCount\":\"0\",\"resultStr\":null,\"platform\":\"Semanticscholar\",\"paperid\":null,\"PeriodicalName\":\"Canadian Journal of Respiratory Therapy\",\"FirstCategoryId\":\"1085\",\"ListUrlMain\":\"https://doi.org/10.29390/001c.122163\",\"RegionNum\":0,\"RegionCategory\":null,\"ArticlePicture\":[],\"TitleCN\":null,\"AbstractTextCN\":null,\"PMCID\":null,\"EPubDate\":\"2024/1/1 0:00:00\",\"PubModel\":\"eCollection\",\"JCR\":\"0\",\"JCRName\":\"CRITICAL CARE MEDICINE\",\"Score\":null,\"Total\":0}","platform":"Semanticscholar","paperid":null,"PeriodicalName":"Canadian Journal of Respiratory Therapy","FirstCategoryId":"1085","ListUrlMain":"https://doi.org/10.29390/001c.122163","RegionNum":0,"RegionCategory":null,"ArticlePicture":[],"TitleCN":null,"AbstractTextCN":null,"PMCID":null,"EPubDate":"2024/1/1 0:00:00","PubModel":"eCollection","JCR":"0","JCRName":"CRITICAL CARE MEDICINE","Score":null,"Total":0}
引用次数: 0

摘要

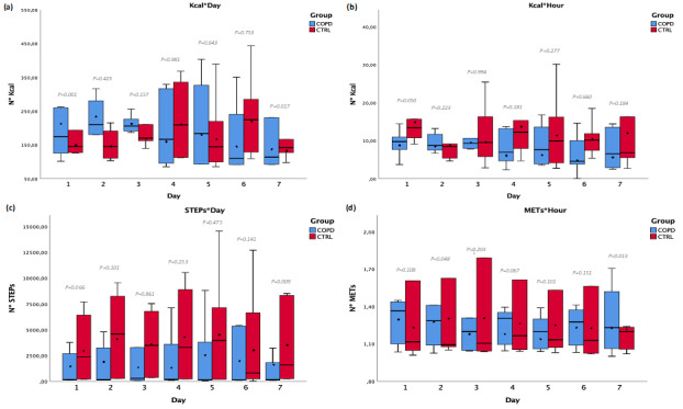
背景:慢性阻塞性肺病(COPD)患者体力活动量的减少与疾病的严重程度有关;然而,轻度慢性阻塞性肺病可能会也可能不会降低患者的体能。与健康受试者相比,目前尚不清楚高海拔缺氧是否是慢性阻塞性肺病患者体力活动水平的一个调节因素:比较慢性阻塞性肺病患者与居住在高海拔环境中的健康人的体力活动水平:研究对象为居住在高海拔地区(海拔超过 2500 米)的 COPD GOLD 1(A、B)患者和对照组受试者。使用三轴加速度计测量了七天的体力活动水平。测量变量包括 METs/小时、能量消耗(千卡/小时)、每日总能量消耗和每日步数:与对照组相比,慢性阻塞性肺病患者与体力活动相关的每日热量消耗仅略有下降(3.1%);慢性阻塞性肺病组的每小时热量消耗率显著降低了 61.32%。此外,与对照组相比,慢性阻塞性肺病患者的 MET/小时较低(差异为 9.64%),每天的步数也有很大差异,减少了 139.41%:结论:与健康人相比,低海拔缺氧环境中的慢性阻塞性肺病患者的体力活动水平明显较低。高原缺氧导致慢性阻塞性肺病患者和健康人的体力活动水平都很低。
本文章由计算机程序翻译,如有差异,请以英文原文为准。

Comparison of physical activity levels in people with chronic obstructive pulmonary disease and healthy subjects residing in hypobaric hypoxia environments.

Comparison of physical activity levels in people with chronic obstructive pulmonary disease and healthy subjects residing in hypobaric hypoxia environments.

Comparison of physical activity levels in people with chronic obstructive pulmonary disease and healthy subjects residing in hypobaric hypoxia environments.

Comparison of physical activity levels in people with chronic obstructive pulmonary disease and healthy subjects residing in hypobaric hypoxia environments.

Background: The reduced level of physical activity in individuals with chronic obstructive pulmonary disease (COPD) is associated with disease severity; however, mild COPD may or may not decrease individuals' physical fitness. Currently, it is unknown whether high-altitude hypoxia is a modifying factor of physical activity levels in COPD compared to healthy subjects.

Objective: To compare physical activity levels in individuals with COPD versus healthy subjects residing in high-altitude environments.

Methods: Individuals with COPD GOLD 1(A, B) and control subjects residing at high altitudes (>2500m) were studied. Physical activity level was measured for seven days using triaxial accelerometry. Measurement variables included METs/hour, energy expenditure in kcal/hour, total daily energy expenditure, and number of steps per day.

Results: Daily caloric expenditure associated with physical activity showed only a slight decrease (3.1%) in COPD patients compared to the control group; there was a significant 61.32% lower hourly calorie consumption rate in the COPD group. Additionally, COPD patients exhibited lower MET/hour (9.64% difference) and a substantial difference in the number of steps per day, with 139.41% fewer steps compared to the control group.

Conclusion: COPD patients in hypobaric hypoxia environments exhibit significantly lower levels of physical activity compared to healthy individuals. Altitude hypoxia contributes to low levels of physical activity in both COPD patients and healthy subjects.

求助全文
通过发布文献求助,成功后即可免费获取论文全文。 去求助
来源期刊
Canadian Journal of Respiratory Therapy
Canadian Journal of Respiratory Therapy Health Professions-Health Professions (miscellaneous)
CiteScore
2.00
自引率
0.00%
发文量
34
期刊介绍: The CJRT is published four times a year and represents the interests of respiratory therapists nationally and internationally. The CJRT has been redesigned to act as an educational dissemination tool. The CJRT encourages submission of original articles, papers, commentaries, case studies, literature reviews and directed reading papers. Submissions can be sent to Rita Hansen.
×
引用
GB/T 7714-2015
复制
MLA
复制
APA
复制
导出至
BibTeX EndNote RefMan NoteFirst NoteExpress
×
提示
您的信息不完整,为了账户安全,请先补充。
现在去补充
×
提示
您因"违规操作"
具体请查看互助需知
我知道了
×
提示
确定
请完成安全验证×
copy
已复制链接
快去分享给好友吧!
我知道了
右上角分享
点击右上角分享
0
联系我们:info@booksci.cn Book学术提供免费学术资源搜索服务,方便国内外学者检索中英文文献。致力于提供最便捷和优质的服务体验。 Copyright © 2023 布克学术 All rights reserved.
京ICP备2023020795号-1
ghs 京公网安备 11010802042870号
Book学术文献互助
Book学术文献互助群
群 号:604180095
Book学术官方微信