交通相关空气污染和 APOE4 可协同影响老年妇女的海马体积:英国生物数据库的新发现。

Frontiers in dementia Pub Date : 2024-07-29 eCollection Date: 2024-01-01 DOI:10.3389/frdem.2024.1402091
Vladimir A Popov, Svetlana V Ukraintseva, Hongzhe Duan, Anatoliy I Yashin, Konstantin G Arbeev
{"title":"交通相关空气污染和 APOE4 可协同影响老年妇女的海马体积:英国生物数据库的新发现。","authors":"Vladimir A Popov, Svetlana V Ukraintseva, Hongzhe Duan, Anatoliy I Yashin, Konstantin G Arbeev","doi":"10.3389/frdem.2024.1402091","DOIUrl":null,"url":null,"abstract":"<p><p>A growing research body supports the connection between neurodegenerative disorders, including Alzheimer's disease (AD), and traffic-related air pollution (TRAP). However, the underlying mechanisms are not well understood. A deeper investigation of TRAP effects on hippocampal volume (HV), a major biomarker of neurodegeneration, may help clarify these mechanisms. Here, we explored TRAP associations with the HV in older participants of the UK Biobank (UKB), taking into account the presence of <i>APOE</i> e4 allele (<i>APOE4</i>), the strongest genetic risk factor for AD. Exposure to TRAP was approximated by the distance of the participant's main residence to the nearest major road (DNMR). The left/right HV was measured by magnetic resonance imaging (MRI) in cubic millimeters (mm<sup>3</sup>). Analysis of variance (ANOVA), Welch test, and regression were used to examine statistical significance. We found significant interactions between DNMR and <i>APOE4</i> that influenced HV. Specifically, DNMR <50m (equivalent of a chronically high exposure to TRAP), and carrying <i>APOE4</i> were synergistically associated with a significant (<i>P</i> = 0.01) reduction in the right HV by about 2.5% in women aged 60-75 years (results for men didn't reach a statistical significance). Results of our study suggest that TRAP and <i>APOE4</i> jointly promote neurodegeneration in women. Living farther from major roads may help reduce the risks of neurodegenerative disorders, including AD, in female <i>APOE4</i> carriers.</p>","PeriodicalId":520000,"journal":{"name":"Frontiers in dementia","volume":"3 ","pages":"1402091"},"PeriodicalIF":0.0000,"publicationDate":"2024-07-29","publicationTypes":"Journal Article","fieldsOfStudy":null,"isOpenAccess":false,"openAccessPdf":"https://www.ncbi.nlm.nih.gov/pmc/articles/PMC11317402/pdf/","citationCount":"0","resultStr":"{\"title\":\"Traffic-related air pollution and <i>APOE4</i> can synergistically affect hippocampal volume in older women: new findings from UK Biobank.\",\"authors\":\"Vladimir A Popov, Svetlana V Ukraintseva, Hongzhe Duan, Anatoliy I Yashin, Konstantin G Arbeev\",\"doi\":\"10.3389/frdem.2024.1402091\",\"DOIUrl\":null,\"url\":null,\"abstract\":\"<p><p>A growing research body supports the connection between neurodegenerative disorders, including Alzheimer's disease (AD), and traffic-related air pollution (TRAP). However, the underlying mechanisms are not well understood. A deeper investigation of TRAP effects on hippocampal volume (HV), a major biomarker of neurodegeneration, may help clarify these mechanisms. Here, we explored TRAP associations with the HV in older participants of the UK Biobank (UKB), taking into account the presence of <i>APOE</i> e4 allele (<i>APOE4</i>), the strongest genetic risk factor for AD. Exposure to TRAP was approximated by the distance of the participant's main residence to the nearest major road (DNMR). The left/right HV was measured by magnetic resonance imaging (MRI) in cubic millimeters (mm<sup>3</sup>). Analysis of variance (ANOVA), Welch test, and regression were used to examine statistical significance. We found significant interactions between DNMR and <i>APOE4</i> that influenced HV. Specifically, DNMR <50m (equivalent of a chronically high exposure to TRAP), and carrying <i>APOE4</i> were synergistically associated with a significant (<i>P</i> = 0.01) reduction in the right HV by about 2.5% in women aged 60-75 years (results for men didn't reach a statistical significance). Results of our study suggest that TRAP and <i>APOE4</i> jointly promote neurodegeneration in women. Living farther from major roads may help reduce the risks of neurodegenerative disorders, including AD, in female <i>APOE4</i> carriers.</p>\",\"PeriodicalId\":520000,\"journal\":{\"name\":\"Frontiers in dementia\",\"volume\":\"3 \",\"pages\":\"1402091\"},\"PeriodicalIF\":0.0000,\"publicationDate\":\"2024-07-29\",\"publicationTypes\":\"Journal Article\",\"fieldsOfStudy\":null,\"isOpenAccess\":false,\"openAccessPdf\":\"https://www.ncbi.nlm.nih.gov/pmc/articles/PMC11317402/pdf/\",\"citationCount\":\"0\",\"resultStr\":null,\"platform\":\"Semanticscholar\",\"paperid\":null,\"PeriodicalName\":\"Frontiers in dementia\",\"FirstCategoryId\":\"1085\",\"ListUrlMain\":\"https://doi.org/10.3389/frdem.2024.1402091\",\"RegionNum\":0,\"RegionCategory\":null,\"ArticlePicture\":[],\"TitleCN\":null,\"AbstractTextCN\":null,\"PMCID\":null,\"EPubDate\":\"2024/1/1 0:00:00\",\"PubModel\":\"eCollection\",\"JCR\":\"\",\"JCRName\":\"\",\"Score\":null,\"Total\":0}","platform":"Semanticscholar","paperid":null,"PeriodicalName":"Frontiers in dementia","FirstCategoryId":"1085","ListUrlMain":"https://doi.org/10.3389/frdem.2024.1402091","RegionNum":0,"RegionCategory":null,"ArticlePicture":[],"TitleCN":null,"AbstractTextCN":null,"PMCID":null,"EPubDate":"2024/1/1 0:00:00","PubModel":"eCollection","JCR":"","JCRName":"","Score":null,"Total":0}
引用次数: 0

摘要

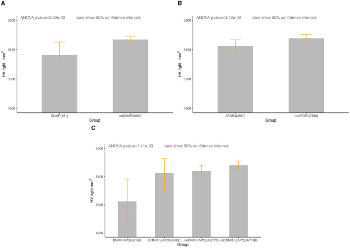
越来越多的研究表明,包括阿尔茨海默病(AD)在内的神经退行性疾病与交通相关空气污染(TRAP)之间存在联系。然而,人们对其潜在机制还不甚了解。深入研究交通相关空气污染对海马体积(HV)(神经退行性疾病的主要生物标志物)的影响可能有助于阐明这些机制。在此,我们探讨了TRAP与英国生物库(UKB)老年参与者海马体积的关系,同时考虑了APOE e4等位基因(APOE4)的存在,APOE4是AD的最强遗传风险因素。与TRAP的接触程度根据参与者主要住所到最近主干道(DNMR)的距离来估算。左/右HV通过磁共振成像(MRI)测量,单位为立方毫米(mm3)。方差分析(ANOVA)、韦尔奇检验(Welch test)和回归分析用于检验统计学意义。我们发现 DNMR 和 APOE4 之间存在明显的交互作用,对 HV 有影响。具体来说,在 60-75 岁的女性中,DNMR APOE4 与右侧 HV 显著降低约 2.5%(P = 0.01)协同相关(男性的结果未达到统计学意义)。我们的研究结果表明,TRAP 和 APOE4 共同促进了女性的神经退行性变。居住地离主干道较远可能有助于降低女性 APOE4 携带者罹患神经退行性疾病(包括注意力缺失症)的风险。
本文章由计算机程序翻译,如有差异,请以英文原文为准。

Traffic-related air pollution and <i>APOE4</i> can synergistically affect hippocampal volume in older women: new findings from UK Biobank.

Traffic-related air pollution and APOE4 can synergistically affect hippocampal volume in older women: new findings from UK Biobank.

A growing research body supports the connection between neurodegenerative disorders, including Alzheimer's disease (AD), and traffic-related air pollution (TRAP). However, the underlying mechanisms are not well understood. A deeper investigation of TRAP effects on hippocampal volume (HV), a major biomarker of neurodegeneration, may help clarify these mechanisms. Here, we explored TRAP associations with the HV in older participants of the UK Biobank (UKB), taking into account the presence of APOE e4 allele (APOE4), the strongest genetic risk factor for AD. Exposure to TRAP was approximated by the distance of the participant's main residence to the nearest major road (DNMR). The left/right HV was measured by magnetic resonance imaging (MRI) in cubic millimeters (mm3). Analysis of variance (ANOVA), Welch test, and regression were used to examine statistical significance. We found significant interactions between DNMR and APOE4 that influenced HV. Specifically, DNMR <50m (equivalent of a chronically high exposure to TRAP), and carrying APOE4 were synergistically associated with a significant (P = 0.01) reduction in the right HV by about 2.5% in women aged 60-75 years (results for men didn't reach a statistical significance). Results of our study suggest that TRAP and APOE4 jointly promote neurodegeneration in women. Living farther from major roads may help reduce the risks of neurodegenerative disorders, including AD, in female APOE4 carriers.

求助全文
通过发布文献求助,成功后即可免费获取论文全文。 去求助
来源期刊
自引率
0.00%
发文量
0
×
引用
GB/T 7714-2015
复制
MLA
复制
APA
复制
导出至
BibTeX EndNote RefMan NoteFirst NoteExpress
×
提示
您的信息不完整,为了账户安全,请先补充。
现在去补充
×
提示
您因"违规操作"
具体请查看互助需知
我知道了
×
提示
确定
请完成安全验证×
copy
已复制链接
快去分享给好友吧!
我知道了
右上角分享
点击右上角分享
0
联系我们:info@booksci.cn Book学术提供免费学术资源搜索服务,方便国内外学者检索中英文文献。致力于提供最便捷和优质的服务体验。 Copyright © 2023 布克学术 All rights reserved.
京ICP备2023020795号-1
ghs 京公网安备 11010802042870号
Book学术文献互助
Book学术文献互助群
群 号:604180095
Book学术官方微信