作为小肠克罗恩病炎症生物标志物的粪便钙蛋白。

Porto biomedical journal Pub Date : 2024-08-09 eCollection Date: 2024-07-01 DOI:10.1097/j.pbj.0000000000000263
Maria I Sousa, Emanuel Dias, Patrícia Andrade, Guilherme Macedo
{"title":"作为小肠克罗恩病炎症生物标志物的粪便钙蛋白。","authors":"Maria I Sousa, Emanuel Dias, Patrícia Andrade, Guilherme Macedo","doi":"10.1097/j.pbj.0000000000000263","DOIUrl":null,"url":null,"abstract":"<p><strong>Background: </strong>Small bowel capsule endoscopy (SBCE) is an essential tool for evaluation of small bowel (SB) Crohn disease (CD). Fecal calprotectin (FC) represents an important biomarker of intestinal inflammation, widely used in ulcerative colitis and CD. Our aim was to evaluate the role of FC for diagnosing inflammatory activity in patients with isolated SB CD and how it correlates with SBCE findings.</p><p><strong>Methods: </strong>This is a retrospective study conducted in a tertiary inflammatory bowel disease referral center that included patients with SB CD who underwent SBCE between January 2017 and February 2023. FC value was obtained from the closest stool examination to SBCE.</p><p><strong>Results: </strong>One hundred ninety-six patients were included: 123 were women (63%) with a mean age of 44.2 years. In the SBCE, 127 (65%) patients had a Lewis Score ≥135 and, among the 94 patients with FC >200 μg/g, 23 had LS <135, 36 had LS between 135 and 790, and 35 had LS ≥790. FC levels were predictive of endoscopic lesions in SBCE, with significant correlation between FC level and total LS (Pearson correlation coefficient 0.43, <i>P</i><.001). The sensitivity and specificity were calculated for each cut-off value being respectively 78% and 45% for FC = 100 μg/g, 69% and 59% for FC = 150 μg/g and 67% and 67% for FC = 200 μg/g.</p><p><strong>Conclusion: </strong>FC showed moderate correlation with endoscopic findings in SBCE in SB CD. It is, therefore, a reasonable marker for predicting significant inflammatory lesions in SBCE; however, none of the cut-off had a high sensitivity or specificity.</p>","PeriodicalId":74479,"journal":{"name":"Porto biomedical journal","volume":"9 4","pages":"263"},"PeriodicalIF":0.0000,"publicationDate":"2024-08-09","publicationTypes":"Journal Article","fieldsOfStudy":null,"isOpenAccess":false,"openAccessPdf":"https://www.ncbi.nlm.nih.gov/pmc/articles/PMC11309623/pdf/","citationCount":"0","resultStr":"{\"title\":\"Fecal calprotectin as an inflammatory biomarker in small bowel Crohn disease.\",\"authors\":\"Maria I Sousa, Emanuel Dias, Patrícia Andrade, Guilherme Macedo\",\"doi\":\"10.1097/j.pbj.0000000000000263\",\"DOIUrl\":null,\"url\":null,\"abstract\":\"<p><strong>Background: </strong>Small bowel capsule endoscopy (SBCE) is an essential tool for evaluation of small bowel (SB) Crohn disease (CD). Fecal calprotectin (FC) represents an important biomarker of intestinal inflammation, widely used in ulcerative colitis and CD. Our aim was to evaluate the role of FC for diagnosing inflammatory activity in patients with isolated SB CD and how it correlates with SBCE findings.</p><p><strong>Methods: </strong>This is a retrospective study conducted in a tertiary inflammatory bowel disease referral center that included patients with SB CD who underwent SBCE between January 2017 and February 2023. FC value was obtained from the closest stool examination to SBCE.</p><p><strong>Results: </strong>One hundred ninety-six patients were included: 123 were women (63%) with a mean age of 44.2 years. In the SBCE, 127 (65%) patients had a Lewis Score ≥135 and, among the 94 patients with FC >200 μg/g, 23 had LS <135, 36 had LS between 135 and 790, and 35 had LS ≥790. FC levels were predictive of endoscopic lesions in SBCE, with significant correlation between FC level and total LS (Pearson correlation coefficient 0.43, <i>P</i><.001). The sensitivity and specificity were calculated for each cut-off value being respectively 78% and 45% for FC = 100 μg/g, 69% and 59% for FC = 150 μg/g and 67% and 67% for FC = 200 μg/g.</p><p><strong>Conclusion: </strong>FC showed moderate correlation with endoscopic findings in SBCE in SB CD. It is, therefore, a reasonable marker for predicting significant inflammatory lesions in SBCE; however, none of the cut-off had a high sensitivity or specificity.</p>\",\"PeriodicalId\":74479,\"journal\":{\"name\":\"Porto biomedical journal\",\"volume\":\"9 4\",\"pages\":\"263\"},\"PeriodicalIF\":0.0000,\"publicationDate\":\"2024-08-09\",\"publicationTypes\":\"Journal Article\",\"fieldsOfStudy\":null,\"isOpenAccess\":false,\"openAccessPdf\":\"https://www.ncbi.nlm.nih.gov/pmc/articles/PMC11309623/pdf/\",\"citationCount\":\"0\",\"resultStr\":null,\"platform\":\"Semanticscholar\",\"paperid\":null,\"PeriodicalName\":\"Porto biomedical journal\",\"FirstCategoryId\":\"1085\",\"ListUrlMain\":\"https://doi.org/10.1097/j.pbj.0000000000000263\",\"RegionNum\":0,\"RegionCategory\":null,\"ArticlePicture\":[],\"TitleCN\":null,\"AbstractTextCN\":null,\"PMCID\":null,\"EPubDate\":\"2024/7/1 0:00:00\",\"PubModel\":\"eCollection\",\"JCR\":\"\",\"JCRName\":\"\",\"Score\":null,\"Total\":0}","platform":"Semanticscholar","paperid":null,"PeriodicalName":"Porto biomedical journal","FirstCategoryId":"1085","ListUrlMain":"https://doi.org/10.1097/j.pbj.0000000000000263","RegionNum":0,"RegionCategory":null,"ArticlePicture":[],"TitleCN":null,"AbstractTextCN":null,"PMCID":null,"EPubDate":"2024/7/1 0:00:00","PubModel":"eCollection","JCR":"","JCRName":"","Score":null,"Total":0}
引用次数: 0

摘要

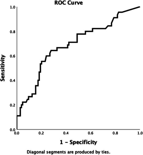
背景:小肠胶囊内镜检查(SBCE)是评估小肠克罗恩病(CD)的重要工具。粪便钙蛋白(FC)是肠道炎症的重要生物标志物,被广泛应用于溃疡性结肠炎和克罗恩病。我们的目的是评估 FC 在诊断孤立性 SB CD 患者炎症活动中的作用,以及它与 SBCE 结果的相关性:这是一项在三级炎症性肠病转诊中心进行的回顾性研究,纳入了在 2017 年 1 月至 2023 年 2 月期间接受 SBCE 检查的 SB CD 患者。FC值从距离SBCE最近的一次粪便检查中获得:共纳入 196 名患者:123人为女性(63%),平均年龄为44.2岁。在 SBCE 中,127 例(65%)患者的 Lewis 评分≥135,在 FC >200 μg/g 的 94 例患者中,23 例患有 LS PC:FC 与 SBCE 中 SB CD 的内镜检查结果呈中度相关性。因此,它是预测 SBCE 中重大炎症病变的一个合理标记;但是,没有一个临界值具有较高的灵敏度或特异性。
本文章由计算机程序翻译,如有差异,请以英文原文为准。

Fecal calprotectin as an inflammatory biomarker in small bowel Crohn disease.

Fecal calprotectin as an inflammatory biomarker in small bowel Crohn disease.

Fecal calprotectin as an inflammatory biomarker in small bowel Crohn disease.

Background: Small bowel capsule endoscopy (SBCE) is an essential tool for evaluation of small bowel (SB) Crohn disease (CD). Fecal calprotectin (FC) represents an important biomarker of intestinal inflammation, widely used in ulcerative colitis and CD. Our aim was to evaluate the role of FC for diagnosing inflammatory activity in patients with isolated SB CD and how it correlates with SBCE findings.

Methods: This is a retrospective study conducted in a tertiary inflammatory bowel disease referral center that included patients with SB CD who underwent SBCE between January 2017 and February 2023. FC value was obtained from the closest stool examination to SBCE.

Results: One hundred ninety-six patients were included: 123 were women (63%) with a mean age of 44.2 years. In the SBCE, 127 (65%) patients had a Lewis Score ≥135 and, among the 94 patients with FC >200 μg/g, 23 had LS <135, 36 had LS between 135 and 790, and 35 had LS ≥790. FC levels were predictive of endoscopic lesions in SBCE, with significant correlation between FC level and total LS (Pearson correlation coefficient 0.43, P<.001). The sensitivity and specificity were calculated for each cut-off value being respectively 78% and 45% for FC = 100 μg/g, 69% and 59% for FC = 150 μg/g and 67% and 67% for FC = 200 μg/g.

Conclusion: FC showed moderate correlation with endoscopic findings in SBCE in SB CD. It is, therefore, a reasonable marker for predicting significant inflammatory lesions in SBCE; however, none of the cut-off had a high sensitivity or specificity.

求助全文
通过发布文献求助,成功后即可免费获取论文全文。 去求助
来源期刊
自引率
0.00%
发文量
0
×
引用
GB/T 7714-2015
复制
MLA
复制
APA
复制
导出至
BibTeX EndNote RefMan NoteFirst NoteExpress
×
提示
您的信息不完整,为了账户安全,请先补充。
现在去补充
×
提示
您因"违规操作"
具体请查看互助需知
我知道了
×
提示
确定
请完成安全验证×
copy
已复制链接
快去分享给好友吧!
我知道了
右上角分享
点击右上角分享
0
联系我们:info@booksci.cn Book学术提供免费学术资源搜索服务,方便国内外学者检索中英文文献。致力于提供最便捷和优质的服务体验。 Copyright © 2023 布克学术 All rights reserved.
京ICP备2023020795号-1
ghs 京公网安备 11010802042870号
Book学术文献互助
Book学术文献互助群
群 号:604180095
Book学术官方微信