苯丙酮类化合物和黄酮类化合物与抗生素对革兰氏阳性和革兰氏阴性细菌菌株的协同作用。

IF 4.8 3区 医学 Q1 MEDICAL LABORATORY TECHNOLOGY
Pharmaceutical Biology Pub Date : 2024-12-01 Epub Date: 2024-08-09 DOI:10.1080/13880209.2024.2389105
Annamária Kincses, Tasneem Sultan Abu Ghazal, Judit Hohmann
{"title":"苯丙酮类化合物和黄酮类化合物与抗生素对革兰氏阳性和革兰氏阴性细菌菌株的协同作用。","authors":"Annamária Kincses, Tasneem Sultan Abu Ghazal, Judit Hohmann","doi":"10.1080/13880209.2024.2389105","DOIUrl":null,"url":null,"abstract":"<p><strong>Context: </strong>The increase in bacterial resistance to currently available medications, which increases mortality rates, treatment costs is a global problem, and highlights the need for novel classes of antibacterial agents or new molecules that interact synergistically with antimicrobials.</p><p><strong>Objective: </strong>The current work explores the potential synergistic effects of certain natural phenylpropanoids and flavonoids on ciprofloxacin (CIP), ampicillin (AMP), gentamicin (GEN), and tetracycline (TET).</p><p><strong>Materials and methods: </strong>The adjuvant role of cinnamic acid, <i>p</i>-coumaric acid, caffeic acid, ferulic acid, ferulic acid methyl ester, sinapic acid, apigenin, and luteolin was evaluated by determining the MIC (minimal inhibitory concentration) values of antibiotics in the presence of subinhibitory concentrations (200, 100, and/or 50 µM) of the compounds in Gram-positive and Gram-negative bacterial strains using a 2-fold broth microdilution method. The 96-well plates were incubated at 37 °C for 18 h, and dimethyl sulfoxide was used as a solvent control.</p><p><strong>Results: </strong>The combination of luteolin with CIP, reduced the MIC values of the antibiotic from 0.625 to 0.3125 µM and to 0.078 µM in 100 and 200 µM concentration, respectively, in sensitive <i>Staphylococcus aureus</i>. Sinapic acid decreased the MIC value of CIP from 0.625 to 0.3125 µM in <i>S. aureus</i>, from 1.56 to 0.78 µM in <i>Klebsiella pneumoniae</i>, and the MIC of GEN from 0.39 to 0.095 µM in <i>Pseudomonas aeruginosa</i> strains.</p><p><strong>Discussion and conclusions: </strong>These findings are useful in delaying the development of resistance, as the required antibacterial effect can be achieved with the use of lower concentrations of antibiotics.</p>","PeriodicalId":19942,"journal":{"name":"Pharmaceutical Biology","volume":"62 1","pages":"659-665"},"PeriodicalIF":4.8000,"publicationDate":"2024-12-01","publicationTypes":"Journal Article","fieldsOfStudy":null,"isOpenAccess":false,"openAccessPdf":"https://www.ncbi.nlm.nih.gov/pmc/articles/PMC11318484/pdf/","citationCount":"0","resultStr":"{\"title\":\"Synergistic effect of phenylpropanoids and flavonoids with antibiotics against Gram-positive and Gram-negative bacterial strains.\",\"authors\":\"Annamária Kincses, Tasneem Sultan Abu Ghazal, Judit Hohmann\",\"doi\":\"10.1080/13880209.2024.2389105\",\"DOIUrl\":null,\"url\":null,\"abstract\":\"<p><strong>Context: </strong>The increase in bacterial resistance to currently available medications, which increases mortality rates, treatment costs is a global problem, and highlights the need for novel classes of antibacterial agents or new molecules that interact synergistically with antimicrobials.</p><p><strong>Objective: </strong>The current work explores the potential synergistic effects of certain natural phenylpropanoids and flavonoids on ciprofloxacin (CIP), ampicillin (AMP), gentamicin (GEN), and tetracycline (TET).</p><p><strong>Materials and methods: </strong>The adjuvant role of cinnamic acid, <i>p</i>-coumaric acid, caffeic acid, ferulic acid, ferulic acid methyl ester, sinapic acid, apigenin, and luteolin was evaluated by determining the MIC (minimal inhibitory concentration) values of antibiotics in the presence of subinhibitory concentrations (200, 100, and/or 50 µM) of the compounds in Gram-positive and Gram-negative bacterial strains using a 2-fold broth microdilution method. The 96-well plates were incubated at 37 °C for 18 h, and dimethyl sulfoxide was used as a solvent control.</p><p><strong>Results: </strong>The combination of luteolin with CIP, reduced the MIC values of the antibiotic from 0.625 to 0.3125 µM and to 0.078 µM in 100 and 200 µM concentration, respectively, in sensitive <i>Staphylococcus aureus</i>. Sinapic acid decreased the MIC value of CIP from 0.625 to 0.3125 µM in <i>S. aureus</i>, from 1.56 to 0.78 µM in <i>Klebsiella pneumoniae</i>, and the MIC of GEN from 0.39 to 0.095 µM in <i>Pseudomonas aeruginosa</i> strains.</p><p><strong>Discussion and conclusions: </strong>These findings are useful in delaying the development of resistance, as the required antibacterial effect can be achieved with the use of lower concentrations of antibiotics.</p>\",\"PeriodicalId\":19942,\"journal\":{\"name\":\"Pharmaceutical Biology\",\"volume\":\"62 1\",\"pages\":\"659-665\"},\"PeriodicalIF\":4.8000,\"publicationDate\":\"2024-12-01\",\"publicationTypes\":\"Journal Article\",\"fieldsOfStudy\":null,\"isOpenAccess\":false,\"openAccessPdf\":\"https://www.ncbi.nlm.nih.gov/pmc/articles/PMC11318484/pdf/\",\"citationCount\":\"0\",\"resultStr\":null,\"platform\":\"Semanticscholar\",\"paperid\":null,\"PeriodicalName\":\"Pharmaceutical Biology\",\"FirstCategoryId\":\"3\",\"ListUrlMain\":\"https://doi.org/10.1080/13880209.2024.2389105\",\"RegionNum\":3,\"RegionCategory\":\"医学\",\"ArticlePicture\":[],\"TitleCN\":null,\"AbstractTextCN\":null,\"PMCID\":null,\"EPubDate\":\"2024/8/9 0:00:00\",\"PubModel\":\"Epub\",\"JCR\":\"Q1\",\"JCRName\":\"MEDICAL LABORATORY TECHNOLOGY\",\"Score\":null,\"Total\":0}","platform":"Semanticscholar","paperid":null,"PeriodicalName":"Pharmaceutical Biology","FirstCategoryId":"3","ListUrlMain":"https://doi.org/10.1080/13880209.2024.2389105","RegionNum":3,"RegionCategory":"医学","ArticlePicture":[],"TitleCN":null,"AbstractTextCN":null,"PMCID":null,"EPubDate":"2024/8/9 0:00:00","PubModel":"Epub","JCR":"Q1","JCRName":"MEDICAL LABORATORY TECHNOLOGY","Score":null,"Total":0}
引用次数: 0

摘要

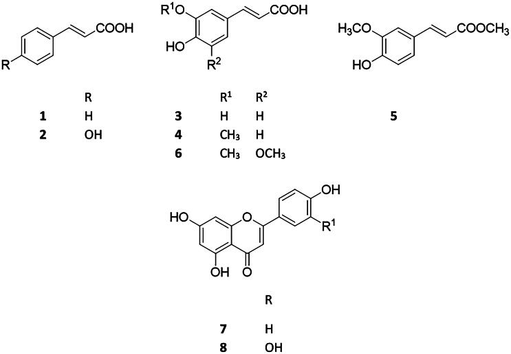
背景:细菌对现有药物的耐药性增加,从而提高了死亡率和治疗成本,这是一个全球性问题,突出了对新型抗菌剂或与抗菌剂协同作用的新分子的需求:目前的研究探讨了某些天然苯丙酮类和黄酮类化合物对环丙沙星(CIP)、氨苄西林(AMP)、庆大霉素(GEN)和四环素(TET)的潜在协同作用:肉桂酸、对香豆酸、咖啡酸、阿魏酸、阿魏酸甲酯、山奈酸、芹菜素和木犀草素的佐剂作用是通过使用 2 倍肉汤微稀释法测定抗生素在亚抑制浓度(200、100 和/或 50 µM)的化合物存在下对革兰氏阳性和革兰氏阴性细菌菌株的 MIC(最小抑制浓度)值来评估的。96 孔板在 37 °C 下培养 18 小时,以二甲亚砜作为溶剂对照:结果:在敏感的金黄色葡萄球菌中,将木犀草素与 CIP 结合使用,可使抗生素的 MIC 值从 100 µM 浓度的 0.625 µM 降至 0.3125 µM,200 µM 浓度的 0.078 µM。西那皮酸可将 CIP 对金黄色葡萄球菌的 MIC 值从 0.625 微摩尔降至 0.3125 微摩尔,将肺炎克雷伯菌的 MIC 值从 1.56 微摩尔降至 0.78 微摩尔,将 GEN 对铜绿假单胞菌的 MIC 值从 0.39 微摩尔降至 0.095 微摩尔:这些发现有助于延缓抗药性的产生,因为使用较低浓度的抗生素就能达到所需的抗菌效果。
本文章由计算机程序翻译,如有差异,请以英文原文为准。

Synergistic effect of phenylpropanoids and flavonoids with antibiotics against Gram-positive and Gram-negative bacterial strains.

Synergistic effect of phenylpropanoids and flavonoids with antibiotics against Gram-positive and Gram-negative bacterial strains.

Context: The increase in bacterial resistance to currently available medications, which increases mortality rates, treatment costs is a global problem, and highlights the need for novel classes of antibacterial agents or new molecules that interact synergistically with antimicrobials.

Objective: The current work explores the potential synergistic effects of certain natural phenylpropanoids and flavonoids on ciprofloxacin (CIP), ampicillin (AMP), gentamicin (GEN), and tetracycline (TET).

Materials and methods: The adjuvant role of cinnamic acid, p-coumaric acid, caffeic acid, ferulic acid, ferulic acid methyl ester, sinapic acid, apigenin, and luteolin was evaluated by determining the MIC (minimal inhibitory concentration) values of antibiotics in the presence of subinhibitory concentrations (200, 100, and/or 50 µM) of the compounds in Gram-positive and Gram-negative bacterial strains using a 2-fold broth microdilution method. The 96-well plates were incubated at 37 °C for 18 h, and dimethyl sulfoxide was used as a solvent control.

Results: The combination of luteolin with CIP, reduced the MIC values of the antibiotic from 0.625 to 0.3125 µM and to 0.078 µM in 100 and 200 µM concentration, respectively, in sensitive Staphylococcus aureus. Sinapic acid decreased the MIC value of CIP from 0.625 to 0.3125 µM in S. aureus, from 1.56 to 0.78 µM in Klebsiella pneumoniae, and the MIC of GEN from 0.39 to 0.095 µM in Pseudomonas aeruginosa strains.

Discussion and conclusions: These findings are useful in delaying the development of resistance, as the required antibacterial effect can be achieved with the use of lower concentrations of antibiotics.

求助全文
通过发布文献求助,成功后即可免费获取论文全文。 去求助
来源期刊
Pharmaceutical Biology
Pharmaceutical Biology 医学-药学
CiteScore
6.70
自引率
2.60%
发文量
191
审稿时长
1 months
期刊介绍: Pharmaceutical Biology will publish manuscripts describing the discovery, methods for discovery, description, analysis characterization, and production/isolation (including sources and surveys) of biologically-active chemicals or other substances, drugs, pharmaceutical products, or preparations utilized in systems of traditional medicine. Topics may generally encompass any facet of natural product research related to pharmaceutical biology. Papers dealing with agents or topics related to natural product drugs are also appropriate (e.g., semi-synthetic derivatives). Manuscripts will be published as reviews, perspectives, regular research articles, and short communications. The primary criteria for acceptance and publication are scientific rigor and potential to advance the field.
×
引用
GB/T 7714-2015
复制
MLA
复制
APA
复制
导出至
BibTeX EndNote RefMan NoteFirst NoteExpress
×
提示
您的信息不完整,为了账户安全,请先补充。
现在去补充
×
提示
您因"违规操作"
具体请查看互助需知
我知道了
×
提示
确定
请完成安全验证×
copy
已复制链接
快去分享给好友吧!
我知道了
右上角分享
点击右上角分享
0
联系我们:info@booksci.cn Book学术提供免费学术资源搜索服务,方便国内外学者检索中英文文献。致力于提供最便捷和优质的服务体验。 Copyright © 2023 布克学术 All rights reserved.
京ICP备2023020795号-1
ghs 京公网安备 11010802042870号
Book学术文献互助
Book学术文献互助群
群 号:604180095
Book学术官方微信