模拟绿地暴露对加利福尼亚州圣迭戈市不同人群代谢生物标志物的影响:g计算应用。

IF 3.8 Q2 ENVIRONMENTAL SCIENCES
Environmental Epidemiology Pub Date : 2024-08-07 eCollection Date: 2024-08-01 DOI:10.1097/EE9.0000000000000326
Anaïs Teyton, Nivedita Nukavarapu, Noémie Letellier, Dorothy D Sears, Jiue-An Yang, Marta M Jankowska, Tarik Benmarhnia
{"title":"模拟绿地暴露对加利福尼亚州圣迭戈市不同人群代谢生物标志物的影响:g计算应用。","authors":"Anaïs Teyton, Nivedita Nukavarapu, Noémie Letellier, Dorothy D Sears, Jiue-An Yang, Marta M Jankowska, Tarik Benmarhnia","doi":"10.1097/EE9.0000000000000326","DOIUrl":null,"url":null,"abstract":"<p><strong>Introduction: </strong>Growing evidence exists that greenspace exposure can reduce metabolic syndrome risk, a growing public health concern with well-documented inequities across population subgroups. We capitalize on the use of g-computation to simulate the influence of multiple possible interventions on residential greenspace on nine metabolic biomarkers and metabolic syndrome in adults (N = 555) from the 2014-2017 Community of Mine Study living in San Diego County, California.</p><p><strong>Methods: </strong>Normalized difference vegetation index (NDVI) exposure from 2017 was averaged across a 400-m buffer around the participants' residential addresses. Participants' fasting plasma glucose, total cholesterol, high-density lipoprotein cholesterol, low-density lipoprotein cholesterol, and triglyceride concentrations, systolic and diastolic blood pressure, hemoglobin A1c (%), waist circumference, and metabolic syndrome were assessed as outcomes of interest. Using parametric g-computation, we calculated risk differences for participants being exposed to each decile of the participant NDVI distribution compared to minimum NDVI. Differential health impacts from NDVI exposure by sex, ethnicity, income, and age were examined.</p><p><strong>Results: </strong>We found that a hypothetical increase in NDVI exposure led to a decrease in hemoglobin A1c (%), glucose, and high-density lipoprotein cholesterol concentrations, an increase in fasting total cholesterol, low-density lipoprotein cholesterol, and triglyceride concentrations, and minimal changes to systolic and diastolic blood pressure, waist circumference, and metabolic syndrome. The impact of NDVI changes was greater in women, Hispanic individuals, and those under 65 years old.</p><p><strong>Conclusions: </strong>G-computation helps to simulate the potential health benefits of differential NDVI exposure and identifies which subpopulations can benefit most from targeted interventions aimed at minimizing health disparities.</p>","PeriodicalId":11713,"journal":{"name":"Environmental Epidemiology","volume":"8 4","pages":"e326"},"PeriodicalIF":3.8000,"publicationDate":"2024-08-07","publicationTypes":"Journal Article","fieldsOfStudy":null,"isOpenAccess":false,"openAccessPdf":"https://www.ncbi.nlm.nih.gov/pmc/articles/PMC11309718/pdf/","citationCount":"0","resultStr":"{\"title\":\"Simulating the impact of greenspace exposure on metabolic biomarkers in a diverse population living in San Diego, California: A g-computation application.\",\"authors\":\"Anaïs Teyton, Nivedita Nukavarapu, Noémie Letellier, Dorothy D Sears, Jiue-An Yang, Marta M Jankowska, Tarik Benmarhnia\",\"doi\":\"10.1097/EE9.0000000000000326\",\"DOIUrl\":null,\"url\":null,\"abstract\":\"<p><strong>Introduction: </strong>Growing evidence exists that greenspace exposure can reduce metabolic syndrome risk, a growing public health concern with well-documented inequities across population subgroups. We capitalize on the use of g-computation to simulate the influence of multiple possible interventions on residential greenspace on nine metabolic biomarkers and metabolic syndrome in adults (N = 555) from the 2014-2017 Community of Mine Study living in San Diego County, California.</p><p><strong>Methods: </strong>Normalized difference vegetation index (NDVI) exposure from 2017 was averaged across a 400-m buffer around the participants' residential addresses. Participants' fasting plasma glucose, total cholesterol, high-density lipoprotein cholesterol, low-density lipoprotein cholesterol, and triglyceride concentrations, systolic and diastolic blood pressure, hemoglobin A1c (%), waist circumference, and metabolic syndrome were assessed as outcomes of interest. Using parametric g-computation, we calculated risk differences for participants being exposed to each decile of the participant NDVI distribution compared to minimum NDVI. Differential health impacts from NDVI exposure by sex, ethnicity, income, and age were examined.</p><p><strong>Results: </strong>We found that a hypothetical increase in NDVI exposure led to a decrease in hemoglobin A1c (%), glucose, and high-density lipoprotein cholesterol concentrations, an increase in fasting total cholesterol, low-density lipoprotein cholesterol, and triglyceride concentrations, and minimal changes to systolic and diastolic blood pressure, waist circumference, and metabolic syndrome. The impact of NDVI changes was greater in women, Hispanic individuals, and those under 65 years old.</p><p><strong>Conclusions: </strong>G-computation helps to simulate the potential health benefits of differential NDVI exposure and identifies which subpopulations can benefit most from targeted interventions aimed at minimizing health disparities.</p>\",\"PeriodicalId\":11713,\"journal\":{\"name\":\"Environmental Epidemiology\",\"volume\":\"8 4\",\"pages\":\"e326\"},\"PeriodicalIF\":3.8000,\"publicationDate\":\"2024-08-07\",\"publicationTypes\":\"Journal Article\",\"fieldsOfStudy\":null,\"isOpenAccess\":false,\"openAccessPdf\":\"https://www.ncbi.nlm.nih.gov/pmc/articles/PMC11309718/pdf/\",\"citationCount\":\"0\",\"resultStr\":null,\"platform\":\"Semanticscholar\",\"paperid\":null,\"PeriodicalName\":\"Environmental Epidemiology\",\"FirstCategoryId\":\"1085\",\"ListUrlMain\":\"https://doi.org/10.1097/EE9.0000000000000326\",\"RegionNum\":0,\"RegionCategory\":null,\"ArticlePicture\":[],\"TitleCN\":null,\"AbstractTextCN\":null,\"PMCID\":null,\"EPubDate\":\"2024/8/1 0:00:00\",\"PubModel\":\"eCollection\",\"JCR\":\"Q2\",\"JCRName\":\"ENVIRONMENTAL SCIENCES\",\"Score\":null,\"Total\":0}","platform":"Semanticscholar","paperid":null,"PeriodicalName":"Environmental Epidemiology","FirstCategoryId":"1085","ListUrlMain":"https://doi.org/10.1097/EE9.0000000000000326","RegionNum":0,"RegionCategory":null,"ArticlePicture":[],"TitleCN":null,"AbstractTextCN":null,"PMCID":null,"EPubDate":"2024/8/1 0:00:00","PubModel":"eCollection","JCR":"Q2","JCRName":"ENVIRONMENTAL SCIENCES","Score":null,"Total":0}
引用次数: 0

摘要

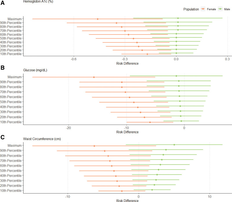
导言:越来越多的证据表明,接触绿地可以降低代谢综合征的风险,这是一个日益受到关注的公共健康问题,不同人口亚群之间的不平等现象有据可查。我们利用 g 计算来模拟居住绿地的多种可能干预措施对加利福尼亚州圣地亚哥县 2014-2017 年 "矿区社区研究 "中成年人(N = 555)的九种代谢生物标志物和代谢综合征的影响:对参与者住址周围 400 米缓冲区内 2017 年归一化差异植被指数(NDVI)的暴露量进行平均。参与者的空腹血浆葡萄糖、总胆固醇、高密度脂蛋白胆固醇、低密度脂蛋白胆固醇和甘油三酯浓度、收缩压和舒张压、血红蛋白 A1c (%)、腰围和代谢综合征作为相关结果进行评估。利用参数 g 计算方法,我们计算了暴露于参与者 NDVI 分布中每个十分位数的参与者与最小 NDVI 相比的风险差异。我们还研究了不同性别、种族、收入和年龄的 NDVI 暴露对健康的不同影响:我们发现,假设增加 NDVI 暴露会导致血红蛋白 A1c (%)、葡萄糖和高密度脂蛋白胆固醇浓度下降,空腹总胆固醇、低密度脂蛋白胆固醇和甘油三酯浓度上升,收缩压和舒张压、腰围和代谢综合征的变化很小。NDVI变化对女性、西班牙裔和65岁以下人群的影响更大:G计算有助于模拟不同的NDVI暴露对健康的潜在益处,并确定哪些亚人群可从旨在最大限度减少健康差异的针对性干预措施中获益最多。
本文章由计算机程序翻译,如有差异,请以英文原文为准。

Simulating the impact of greenspace exposure on metabolic biomarkers in a diverse population living in San Diego, California: A g-computation application.

Simulating the impact of greenspace exposure on metabolic biomarkers in a diverse population living in San Diego, California: A g-computation application.

Simulating the impact of greenspace exposure on metabolic biomarkers in a diverse population living in San Diego, California: A g-computation application.

Simulating the impact of greenspace exposure on metabolic biomarkers in a diverse population living in San Diego, California: A g-computation application.

Introduction: Growing evidence exists that greenspace exposure can reduce metabolic syndrome risk, a growing public health concern with well-documented inequities across population subgroups. We capitalize on the use of g-computation to simulate the influence of multiple possible interventions on residential greenspace on nine metabolic biomarkers and metabolic syndrome in adults (N = 555) from the 2014-2017 Community of Mine Study living in San Diego County, California.

Methods: Normalized difference vegetation index (NDVI) exposure from 2017 was averaged across a 400-m buffer around the participants' residential addresses. Participants' fasting plasma glucose, total cholesterol, high-density lipoprotein cholesterol, low-density lipoprotein cholesterol, and triglyceride concentrations, systolic and diastolic blood pressure, hemoglobin A1c (%), waist circumference, and metabolic syndrome were assessed as outcomes of interest. Using parametric g-computation, we calculated risk differences for participants being exposed to each decile of the participant NDVI distribution compared to minimum NDVI. Differential health impacts from NDVI exposure by sex, ethnicity, income, and age were examined.

Results: We found that a hypothetical increase in NDVI exposure led to a decrease in hemoglobin A1c (%), glucose, and high-density lipoprotein cholesterol concentrations, an increase in fasting total cholesterol, low-density lipoprotein cholesterol, and triglyceride concentrations, and minimal changes to systolic and diastolic blood pressure, waist circumference, and metabolic syndrome. The impact of NDVI changes was greater in women, Hispanic individuals, and those under 65 years old.

Conclusions: G-computation helps to simulate the potential health benefits of differential NDVI exposure and identifies which subpopulations can benefit most from targeted interventions aimed at minimizing health disparities.

求助全文
通过发布文献求助,成功后即可免费获取论文全文。 去求助
来源期刊
Environmental Epidemiology
Environmental Epidemiology Medicine-Public Health, Environmental and Occupational Health
CiteScore
5.70
自引率
2.80%
发文量
71
审稿时长
25 weeks
×
引用
GB/T 7714-2015
复制
MLA
复制
APA
复制
导出至
BibTeX EndNote RefMan NoteFirst NoteExpress
×
提示
您的信息不完整,为了账户安全,请先补充。
现在去补充
×
提示
您因"违规操作"
具体请查看互助需知
我知道了
×
提示
确定
请完成安全验证×
copy
已复制链接
快去分享给好友吧!
我知道了
右上角分享
点击右上角分享
0
联系我们:info@booksci.cn Book学术提供免费学术资源搜索服务,方便国内外学者检索中英文文献。致力于提供最便捷和优质的服务体验。 Copyright © 2023 布克学术 All rights reserved.
京ICP备2023020795号-1
ghs 京公网安备 11010802042870号
Book学术文献互助
Book学术文献互助群
群 号:604180095
Book学术官方微信