大流行病期间的面对面学习:远程和混合教学对学生成绩的影响。

IF 9.1 1区 综合性期刊 Q1 MULTIDISCIPLINARY SCIENCES
Stephen L Ross, Shangyue Jiang, Michael F Young, Joanna L Meyer, Michael J Strambler
{"title":"大流行病期间的面对面学习:远程和混合教学对学生成绩的影响。","authors":"Stephen L Ross, Shangyue Jiang, Michael F Young, Joanna L Meyer, Michael J Strambler","doi":"10.1073/pnas.2407322121","DOIUrl":null,"url":null,"abstract":"<p><p>While studies have examined the effects of schools offering in-person learning during the pandemic, this study provides analysis of student enrollment decisions (remote versus in-person) in response to schools providing in-person learning opportunities. In Connecticut during the 2020-21 school year, we find that student take-up of in-person learning opportunities was low with students on average enrolled in-person for only half of the days offered, and take-up was even lower in schools with larger shares of disadvantaged students. The provision of in-person learning opportunities has been previously shown to mitigate pandemic learning losses. By exploiting data on actual enrollment, we show that the protective benefits of in-person learning are twice as large as previously estimated once we account for the low rates of student take-up. Finally, we provide evidence suggesting that a key mechanism behind the benefits of in-person learning is alleviating the burden faced by schools and teachers in delivering remote education. First, we show that the benefits to individual students of their in-person learning are substantially smaller than the overall benefits a student receives from their school average level of in-person enrollment. Second, we show that a combination of remote and in-person learning (hybrid) with a full-time on-line presence of students when at home was worse than hybrid learning with students never or only partially online. This second finding is consistent with qualitative evidence showing that teachers found hybrid learning especially challenging when having to manage both in-person and remote students for the entire class period.</p>","PeriodicalId":20548,"journal":{"name":"Proceedings of the National Academy of Sciences of the United States of America","volume":"121 33","pages":"e2407322121"},"PeriodicalIF":9.1000,"publicationDate":"2024-08-13","publicationTypes":"Journal Article","fieldsOfStudy":null,"isOpenAccess":false,"openAccessPdf":"https://www.ncbi.nlm.nih.gov/pmc/articles/PMC11331081/pdf/","citationCount":"0","resultStr":"{\"title\":\"In-person learning during the pandemic: Student take-up and school-level effects of remote and hybrid instruction on student outcomes.\",\"authors\":\"Stephen L Ross, Shangyue Jiang, Michael F Young, Joanna L Meyer, Michael J Strambler\",\"doi\":\"10.1073/pnas.2407322121\",\"DOIUrl\":null,\"url\":null,\"abstract\":\"<p><p>While studies have examined the effects of schools offering in-person learning during the pandemic, this study provides analysis of student enrollment decisions (remote versus in-person) in response to schools providing in-person learning opportunities. In Connecticut during the 2020-21 school year, we find that student take-up of in-person learning opportunities was low with students on average enrolled in-person for only half of the days offered, and take-up was even lower in schools with larger shares of disadvantaged students. The provision of in-person learning opportunities has been previously shown to mitigate pandemic learning losses. By exploiting data on actual enrollment, we show that the protective benefits of in-person learning are twice as large as previously estimated once we account for the low rates of student take-up. Finally, we provide evidence suggesting that a key mechanism behind the benefits of in-person learning is alleviating the burden faced by schools and teachers in delivering remote education. First, we show that the benefits to individual students of their in-person learning are substantially smaller than the overall benefits a student receives from their school average level of in-person enrollment. Second, we show that a combination of remote and in-person learning (hybrid) with a full-time on-line presence of students when at home was worse than hybrid learning with students never or only partially online. This second finding is consistent with qualitative evidence showing that teachers found hybrid learning especially challenging when having to manage both in-person and remote students for the entire class period.</p>\",\"PeriodicalId\":20548,\"journal\":{\"name\":\"Proceedings of the National Academy of Sciences of the United States of America\",\"volume\":\"121 33\",\"pages\":\"e2407322121\"},\"PeriodicalIF\":9.1000,\"publicationDate\":\"2024-08-13\",\"publicationTypes\":\"Journal Article\",\"fieldsOfStudy\":null,\"isOpenAccess\":false,\"openAccessPdf\":\"https://www.ncbi.nlm.nih.gov/pmc/articles/PMC11331081/pdf/\",\"citationCount\":\"0\",\"resultStr\":null,\"platform\":\"Semanticscholar\",\"paperid\":null,\"PeriodicalName\":\"Proceedings of the National Academy of Sciences of the United States of America\",\"FirstCategoryId\":\"103\",\"ListUrlMain\":\"https://doi.org/10.1073/pnas.2407322121\",\"RegionNum\":1,\"RegionCategory\":\"综合性期刊\",\"ArticlePicture\":[],\"TitleCN\":null,\"AbstractTextCN\":null,\"PMCID\":null,\"EPubDate\":\"2024/8/7 0:00:00\",\"PubModel\":\"Epub\",\"JCR\":\"Q1\",\"JCRName\":\"MULTIDISCIPLINARY SCIENCES\",\"Score\":null,\"Total\":0}","platform":"Semanticscholar","paperid":null,"PeriodicalName":"Proceedings of the National Academy of Sciences of the United States of America","FirstCategoryId":"103","ListUrlMain":"https://doi.org/10.1073/pnas.2407322121","RegionNum":1,"RegionCategory":"综合性期刊","ArticlePicture":[],"TitleCN":null,"AbstractTextCN":null,"PMCID":null,"EPubDate":"2024/8/7 0:00:00","PubModel":"Epub","JCR":"Q1","JCRName":"MULTIDISCIPLINARY SCIENCES","Score":null,"Total":0}
引用次数: 0

摘要

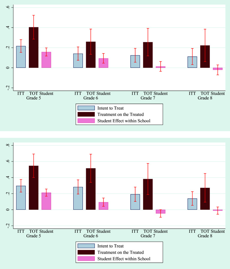
虽然已有研究探讨了大流行病期间学校提供面对面学习机会的影响,但本研究分析了学生在学校提供面对面学习机会后做出的入学决定(远程入学与面对面入学)。在 2020-21 学年的康涅狄格州,我们发现学生对亲临现场学习机会的利用率很低,平均只有一半的学生在所提供的学习机会中亲临现场学习,在弱势学生比例较大的学校,学生的利用率甚至更低。以前的研究表明,提供面授学习机会可以减少大流行病造成的学习损失。通过利用实际入学数据,我们表明,一旦考虑到学生参与率低的因素,面授学习的保护性益处是以前估计的两倍。最后,我们提供的证据表明,面授学习效益背后的一个关键机制是减轻了学校和教师在提供远程教育时所面临的负担。首先,我们表明,学生个人从面授学习中获得的收益远远小于学生从学校平均面授入学率中获得的整体收益。其次,我们的研究表明,学生在家时全时在线的远程和面对面学习(混合式)比学生从不在线或仅部分在线的混合式学习效果更差。第二个发现与定性证据相吻合,定性证据显示,当教师需要在整个课时内同时管理面对面学习和远程学习的学生时,他们发现混合学习尤其具有挑战性。
本文章由计算机程序翻译,如有差异,请以英文原文为准。

In-person learning during the pandemic: Student take-up and school-level effects of remote and hybrid instruction on student outcomes.

In-person learning during the pandemic: Student take-up and school-level effects of remote and hybrid instruction on student outcomes.

In-person learning during the pandemic: Student take-up and school-level effects of remote and hybrid instruction on student outcomes.

In-person learning during the pandemic: Student take-up and school-level effects of remote and hybrid instruction on student outcomes.

While studies have examined the effects of schools offering in-person learning during the pandemic, this study provides analysis of student enrollment decisions (remote versus in-person) in response to schools providing in-person learning opportunities. In Connecticut during the 2020-21 school year, we find that student take-up of in-person learning opportunities was low with students on average enrolled in-person for only half of the days offered, and take-up was even lower in schools with larger shares of disadvantaged students. The provision of in-person learning opportunities has been previously shown to mitigate pandemic learning losses. By exploiting data on actual enrollment, we show that the protective benefits of in-person learning are twice as large as previously estimated once we account for the low rates of student take-up. Finally, we provide evidence suggesting that a key mechanism behind the benefits of in-person learning is alleviating the burden faced by schools and teachers in delivering remote education. First, we show that the benefits to individual students of their in-person learning are substantially smaller than the overall benefits a student receives from their school average level of in-person enrollment. Second, we show that a combination of remote and in-person learning (hybrid) with a full-time on-line presence of students when at home was worse than hybrid learning with students never or only partially online. This second finding is consistent with qualitative evidence showing that teachers found hybrid learning especially challenging when having to manage both in-person and remote students for the entire class period.

求助全文
通过发布文献求助,成功后即可免费获取论文全文。 去求助
来源期刊
CiteScore
19.00
自引率
0.90%
发文量
3575
审稿时长
2.5 months
期刊介绍: The Proceedings of the National Academy of Sciences (PNAS), a peer-reviewed journal of the National Academy of Sciences (NAS), serves as an authoritative source for high-impact, original research across the biological, physical, and social sciences. With a global scope, the journal welcomes submissions from researchers worldwide, making it an inclusive platform for advancing scientific knowledge.
×
引用
GB/T 7714-2015
复制
MLA
复制
APA
复制
导出至
BibTeX EndNote RefMan NoteFirst NoteExpress
×
提示
您的信息不完整,为了账户安全,请先补充。
现在去补充
×
提示
您因"违规操作"
具体请查看互助需知
我知道了
×
提示
确定
请完成安全验证×
copy
已复制链接
快去分享给好友吧!
我知道了
右上角分享
点击右上角分享
0
联系我们:info@booksci.cn Book学术提供免费学术资源搜索服务,方便国内外学者检索中英文文献。致力于提供最便捷和优质的服务体验。 Copyright © 2023 布克学术 All rights reserved.
京ICP备2023020795号-1
ghs 京公网安备 11010802042870号
Book学术文献互助
Book学术文献互助群
群 号:604180095
Book学术官方微信