从深度学习脉络膜分析看早期近视性黄斑病变的脉络膜血管变化:一项基于医院的 SS-OCT 研究。

IF 4 1区 医学 Q1 OPHTHALMOLOGY
Yan Li, Haoer Li, Xue Rui, Yuan Wang, Shenju Zhu, Mengge Huang, Jianqiang Liang, Yangfeifei Zhu, Jiajia Shi, Le Yu, Shenghai Huang, Chun Yang, Mengmeng Dong, Hebei Gao, Meixiao Shen, Hao Wu, Xiangtian Zhou
{"title":"从深度学习脉络膜分析看早期近视性黄斑病变的脉络膜血管变化:一项基于医院的 SS-OCT 研究。","authors":"Yan Li, Haoer Li, Xue Rui, Yuan Wang, Shenju Zhu, Mengge Huang, Jianqiang Liang, Yangfeifei Zhu, Jiajia Shi, Le Yu, Shenghai Huang, Chun Yang, Mengmeng Dong, Hebei Gao, Meixiao Shen, Hao Wu, Xiangtian Zhou","doi":"10.1186/s40662-024-00398-x","DOIUrl":null,"url":null,"abstract":"<p><strong>Background: </strong>The objective of this study is to illustrate the changes in the choroidal vasculature in individuals with diffuse chorioretinal atrophy (DCA, early-stage myopic maculopathy) and investigate the association between them.</p><p><strong>Methods: </strong>This study included 1418 highly myopic eyes from 720 participants aged 18 - 60 years from the Wenzhou High Myopia Cohort Study. These participants underwent comprehensive ophthalmic assessments. Myopic maculopathy classification followed the Meta-PM system, with pathological myopia defined as myopic maculopathy of DCA or severer. Eyes with myopic maculopathy categorized as no macular lesions (C0), tessellated fundus (C1), and DCA (C2) were enrolled in the analysis. Choroidal images were obtained from swept-source optical coherence tomography (SS-OCT), and the images were processed with a deep learning-based automatic segmentation algorithm and the Niblack auto-local threshold algorithm.</p><p><strong>Results: </strong>DCA was detected in 247 eyes (17.4%). In comparison to eyes with C0, those with C2 exhibited significant reductions in choroidal thickness (ChT), luminal area (LA), and stromal area (SA) across all evaluated regions (all P < 0.001). An increase in choroidal vascular index (CVI) was observed in all regions, except for the nasal perifoveal (N2) and inferior perifoveal (I2) regions (all P < 0.01). Multivariable logistic regression analysis revealed a negative association between the presence of DCA and increases in choroidal LA and SA (odds ratio ≤ 0.099, P < 0.001). Multivariable linear regression analysis showed that the mean deviation of the visual field test was positively associated with LA and SA at the vertical meridian (B = 1.512, P < 0.001 for LA; B = 1.956, P < 0.001 for SA). Furthermore, the receiver operating characteristic curve analyses showed the optimal ChT to diagnose pathological myopia was 82.4 µm in the N2 region, the LA was 0.076 mm<sup>2</sup> and the SA was 0.049 mm<sup>2</sup>, with area under the curves of 0.916, 0.908, and 0.895, respectively.</p><p><strong>Conclusions: </strong>The results of this study indicated that both the presence of DCA and visual function impairment were associated with reductions in choroidal perfusion and stromal components. Moreover, we established threshold values for choroidal parameters in diagnosing pathological myopia, offering valuable references for clinical diagnosis and management.</p>","PeriodicalId":12194,"journal":{"name":"Eye and Vision","volume":"11 1","pages":"32"},"PeriodicalIF":4.0000,"publicationDate":"2024-08-06","publicationTypes":"Journal Article","fieldsOfStudy":null,"isOpenAccess":false,"openAccessPdf":"https://www.ncbi.nlm.nih.gov/pmc/articles/PMC11301841/pdf/","citationCount":"0","resultStr":"{\"title\":\"Choroidal vascular changes in early-stage myopic maculopathy from deep learning choroidal analysis: a hospital-based SS-OCT study.\",\"authors\":\"Yan Li, Haoer Li, Xue Rui, Yuan Wang, Shenju Zhu, Mengge Huang, Jianqiang Liang, Yangfeifei Zhu, Jiajia Shi, Le Yu, Shenghai Huang, Chun Yang, Mengmeng Dong, Hebei Gao, Meixiao Shen, Hao Wu, Xiangtian Zhou\",\"doi\":\"10.1186/s40662-024-00398-x\",\"DOIUrl\":null,\"url\":null,\"abstract\":\"<p><strong>Background: </strong>The objective of this study is to illustrate the changes in the choroidal vasculature in individuals with diffuse chorioretinal atrophy (DCA, early-stage myopic maculopathy) and investigate the association between them.</p><p><strong>Methods: </strong>This study included 1418 highly myopic eyes from 720 participants aged 18 - 60 years from the Wenzhou High Myopia Cohort Study. These participants underwent comprehensive ophthalmic assessments. Myopic maculopathy classification followed the Meta-PM system, with pathological myopia defined as myopic maculopathy of DCA or severer. Eyes with myopic maculopathy categorized as no macular lesions (C0), tessellated fundus (C1), and DCA (C2) were enrolled in the analysis. Choroidal images were obtained from swept-source optical coherence tomography (SS-OCT), and the images were processed with a deep learning-based automatic segmentation algorithm and the Niblack auto-local threshold algorithm.</p><p><strong>Results: </strong>DCA was detected in 247 eyes (17.4%). In comparison to eyes with C0, those with C2 exhibited significant reductions in choroidal thickness (ChT), luminal area (LA), and stromal area (SA) across all evaluated regions (all P < 0.001). An increase in choroidal vascular index (CVI) was observed in all regions, except for the nasal perifoveal (N2) and inferior perifoveal (I2) regions (all P < 0.01). Multivariable logistic regression analysis revealed a negative association between the presence of DCA and increases in choroidal LA and SA (odds ratio ≤ 0.099, P < 0.001). Multivariable linear regression analysis showed that the mean deviation of the visual field test was positively associated with LA and SA at the vertical meridian (B = 1.512, P < 0.001 for LA; B = 1.956, P < 0.001 for SA). Furthermore, the receiver operating characteristic curve analyses showed the optimal ChT to diagnose pathological myopia was 82.4 µm in the N2 region, the LA was 0.076 mm<sup>2</sup> and the SA was 0.049 mm<sup>2</sup>, with area under the curves of 0.916, 0.908, and 0.895, respectively.</p><p><strong>Conclusions: </strong>The results of this study indicated that both the presence of DCA and visual function impairment were associated with reductions in choroidal perfusion and stromal components. Moreover, we established threshold values for choroidal parameters in diagnosing pathological myopia, offering valuable references for clinical diagnosis and management.</p>\",\"PeriodicalId\":12194,\"journal\":{\"name\":\"Eye and Vision\",\"volume\":\"11 1\",\"pages\":\"32\"},\"PeriodicalIF\":4.0000,\"publicationDate\":\"2024-08-06\",\"publicationTypes\":\"Journal Article\",\"fieldsOfStudy\":null,\"isOpenAccess\":false,\"openAccessPdf\":\"https://www.ncbi.nlm.nih.gov/pmc/articles/PMC11301841/pdf/\",\"citationCount\":\"0\",\"resultStr\":null,\"platform\":\"Semanticscholar\",\"paperid\":null,\"PeriodicalName\":\"Eye and Vision\",\"FirstCategoryId\":\"3\",\"ListUrlMain\":\"https://doi.org/10.1186/s40662-024-00398-x\",\"RegionNum\":1,\"RegionCategory\":\"医学\",\"ArticlePicture\":[],\"TitleCN\":null,\"AbstractTextCN\":null,\"PMCID\":null,\"EPubDate\":\"\",\"PubModel\":\"\",\"JCR\":\"Q1\",\"JCRName\":\"OPHTHALMOLOGY\",\"Score\":null,\"Total\":0}","platform":"Semanticscholar","paperid":null,"PeriodicalName":"Eye and Vision","FirstCategoryId":"3","ListUrlMain":"https://doi.org/10.1186/s40662-024-00398-x","RegionNum":1,"RegionCategory":"医学","ArticlePicture":[],"TitleCN":null,"AbstractTextCN":null,"PMCID":null,"EPubDate":"","PubModel":"","JCR":"Q1","JCRName":"OPHTHALMOLOGY","Score":null,"Total":0}
引用次数: 0

摘要

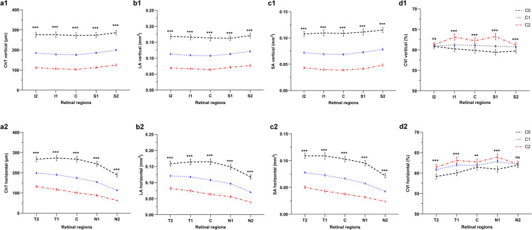
研究背景本研究旨在说明弥漫性脉络膜视网膜萎缩(DCA,早期近视性黄斑病变)患者脉络膜血管的变化,并探讨两者之间的关联:本研究纳入了温州高度近视队列研究中720名18-60岁参与者的1418只高度近视眼。这些参与者接受了全面的眼科评估。近视黄斑病变分类采用 Meta-PM 系统,病理性近视定义为 DCA 或更严重的近视黄斑病变。近视性黄斑病变分为无黄斑病变(C0)、网状眼底(C1)和DCA(C2)。脉络膜图像由扫源光学相干断层扫描(SS-OCT)获得,图像采用基于深度学习的自动分割算法和尼布拉克自动局部阈值算法进行处理:247只眼睛(17.4%)检测出DCA。与 C0 眼相比,C2 眼在所有评估区域的脉络膜厚度(ChT)、管腔面积(LA)和基质面积(SA)均显著减少(均为 P 2,SA 为 0.049 mm2,曲线下面积分别为 0.916、0.908 和 0.895):本研究结果表明,DCA的存在和视觉功能损害与脉络膜灌注和基质成分的减少有关。此外,我们还确定了诊断病理性近视的脉络膜参数阈值,为临床诊断和管理提供了有价值的参考。
本文章由计算机程序翻译,如有差异,请以英文原文为准。

Choroidal vascular changes in early-stage myopic maculopathy from deep learning choroidal analysis: a hospital-based SS-OCT study.

Choroidal vascular changes in early-stage myopic maculopathy from deep learning choroidal analysis: a hospital-based SS-OCT study.

Choroidal vascular changes in early-stage myopic maculopathy from deep learning choroidal analysis: a hospital-based SS-OCT study.

Choroidal vascular changes in early-stage myopic maculopathy from deep learning choroidal analysis: a hospital-based SS-OCT study.

Background: The objective of this study is to illustrate the changes in the choroidal vasculature in individuals with diffuse chorioretinal atrophy (DCA, early-stage myopic maculopathy) and investigate the association between them.

Methods: This study included 1418 highly myopic eyes from 720 participants aged 18 - 60 years from the Wenzhou High Myopia Cohort Study. These participants underwent comprehensive ophthalmic assessments. Myopic maculopathy classification followed the Meta-PM system, with pathological myopia defined as myopic maculopathy of DCA or severer. Eyes with myopic maculopathy categorized as no macular lesions (C0), tessellated fundus (C1), and DCA (C2) were enrolled in the analysis. Choroidal images were obtained from swept-source optical coherence tomography (SS-OCT), and the images were processed with a deep learning-based automatic segmentation algorithm and the Niblack auto-local threshold algorithm.

Results: DCA was detected in 247 eyes (17.4%). In comparison to eyes with C0, those with C2 exhibited significant reductions in choroidal thickness (ChT), luminal area (LA), and stromal area (SA) across all evaluated regions (all P < 0.001). An increase in choroidal vascular index (CVI) was observed in all regions, except for the nasal perifoveal (N2) and inferior perifoveal (I2) regions (all P < 0.01). Multivariable logistic regression analysis revealed a negative association between the presence of DCA and increases in choroidal LA and SA (odds ratio ≤ 0.099, P < 0.001). Multivariable linear regression analysis showed that the mean deviation of the visual field test was positively associated with LA and SA at the vertical meridian (B = 1.512, P < 0.001 for LA; B = 1.956, P < 0.001 for SA). Furthermore, the receiver operating characteristic curve analyses showed the optimal ChT to diagnose pathological myopia was 82.4 µm in the N2 region, the LA was 0.076 mm2 and the SA was 0.049 mm2, with area under the curves of 0.916, 0.908, and 0.895, respectively.

Conclusions: The results of this study indicated that both the presence of DCA and visual function impairment were associated with reductions in choroidal perfusion and stromal components. Moreover, we established threshold values for choroidal parameters in diagnosing pathological myopia, offering valuable references for clinical diagnosis and management.

求助全文
通过发布文献求助,成功后即可免费获取论文全文。 去求助
来源期刊
Eye and Vision
Eye and Vision OPHTHALMOLOGY-
CiteScore
8.60
自引率
2.40%
发文量
89
审稿时长
15 weeks
期刊介绍: Eye and Vision is an open access, peer-reviewed journal for ophthalmologists and visual science specialists. It welcomes research articles, reviews, methodologies, commentaries, case reports, perspectives and short reports encompassing all aspects of eye and vision. Topics of interest include but are not limited to: current developments of theoretical, experimental and clinical investigations in ophthalmology, optometry and vision science which focus on novel and high-impact findings on central issues pertaining to biology, pathophysiology and etiology of eye diseases as well as advances in diagnostic techniques, surgical treatment, instrument updates, the latest drug findings, results of clinical trials and research findings. It aims to provide ophthalmologists and visual science specialists with the latest developments in theoretical, experimental and clinical investigations in eye and vision.
×
引用
GB/T 7714-2015
复制
MLA
复制
APA
复制
导出至
BibTeX EndNote RefMan NoteFirst NoteExpress
×
提示
您的信息不完整,为了账户安全,请先补充。
现在去补充
×
提示
您因"违规操作"
具体请查看互助需知
我知道了
×
提示
确定
请完成安全验证×
copy
已复制链接
快去分享给好友吧!
我知道了
右上角分享
点击右上角分享
0
联系我们:info@booksci.cn Book学术提供免费学术资源搜索服务,方便国内外学者检索中英文文献。致力于提供最便捷和优质的服务体验。 Copyright © 2023 布克学术 All rights reserved.
京ICP备2023020795号-1
ghs 京公网安备 11010802042870号
Book学术文献互助
Book学术文献互助群
群 号:604180095
Book学术官方微信