心外膜脂肪组织体积与内源性库欣综合征左心室舒张功能障碍高度相关。

IF 4.3
Annals of medicine Pub Date : 2024-12-01 Epub Date: 2024-08-05 DOI:10.1080/07853890.2024.2387302
Chun-Qiong Ran, Ying Su, Jin Li, Kun Wu, Zhe-Long Liu, Yan Yang, Mu-Xun Zhang, Gang Yuan, Xue-Feng Yu, Wen-Tao He
{"title":"心外膜脂肪组织体积与内源性库欣综合征左心室舒张功能障碍高度相关。","authors":"Chun-Qiong Ran, Ying Su, Jin Li, Kun Wu, Zhe-Long Liu, Yan Yang, Mu-Xun Zhang, Gang Yuan, Xue-Feng Yu, Wen-Tao He","doi":"10.1080/07853890.2024.2387302","DOIUrl":null,"url":null,"abstract":"<p><strong>Background: </strong>Cushing's syndrome (CS) is associated with increased risk for heart failure, which often initially manifests as left ventricular diastolic dysfunction (LVDD). In this study, we aimed to explore the potential risk factors of LVDD in CS by incorporating body composition parameters.</p><p><strong>Methods: </strong>A retrospective study was conducted on patients diagnosed with endogenous CS no less than 18 years old. The control group consisted of healthy individuals who were matched to CS patients in terms of gender, age, and BMI. LIFEx software (version 7.3) was applied to measure epicardial adipose tissue volume (EATV) on non-contrast chest CT, as well as abdominal adipose tissue and skeletal muscle mass at the first lumbar vertebral level. Echocardiography was used to evaluate left ventricular (LV) diastolic function. Body compositions and clinical data were examined in relation to early LVDD.</p><p><strong>Results: </strong>A total of 86 CS patients and 86 healthy controls were enrolled. EATV was significantly higher in CS patients compared to control subjects (150.33 cm<sup>3</sup> [125.67, 189.41] vs 90.55 cm<sup>3</sup> [66.80, 119.84], <i>p</i> < 0.001). CS patients had noticeably increased visceral fat but decreased skeletal muscle in comparison to their healthy counterparts. Higher prevalence of LVDD was found in CS patients based on LV diastolic function evaluated by E/A ratio (<i>p</i> < 0.001). EATV was proved to be an independent risk factor for LVDD in CS patients (OR = 1.015, 95%CI 1.003-1.026, <i>p</i> = 0.011). If the cut-point of EATV was set as 139.252 cm<sup>3</sup> in CS patients, the diagnostic sensitivity and specificity of LVDD were 84.00% and 55.60%, respectively.</p><p><strong>Conclusion: </strong>CS was associated with marked accumulation of EAT and visceral fat, reduced skeletal muscle mass, and increased prevalence of LVDD. EATV was an independent risk factor for LVDD, suggesting the potential role of EAT in the development of LVDD in CS.</p>","PeriodicalId":93874,"journal":{"name":"Annals of medicine","volume":"56 1","pages":"2387302"},"PeriodicalIF":4.3000,"publicationDate":"2024-12-01","publicationTypes":"Journal Article","fieldsOfStudy":null,"isOpenAccess":false,"openAccessPdf":"https://www.ncbi.nlm.nih.gov/pmc/articles/PMC11302473/pdf/","citationCount":"0","resultStr":"{\"title\":\"Epicardial adipose tissue volume highly correlates with left ventricular diastolic dysfunction in endogenous Cushing's syndrome.\",\"authors\":\"Chun-Qiong Ran, Ying Su, Jin Li, Kun Wu, Zhe-Long Liu, Yan Yang, Mu-Xun Zhang, Gang Yuan, Xue-Feng Yu, Wen-Tao He\",\"doi\":\"10.1080/07853890.2024.2387302\",\"DOIUrl\":null,\"url\":null,\"abstract\":\"<p><strong>Background: </strong>Cushing's syndrome (CS) is associated with increased risk for heart failure, which often initially manifests as left ventricular diastolic dysfunction (LVDD). In this study, we aimed to explore the potential risk factors of LVDD in CS by incorporating body composition parameters.</p><p><strong>Methods: </strong>A retrospective study was conducted on patients diagnosed with endogenous CS no less than 18 years old. The control group consisted of healthy individuals who were matched to CS patients in terms of gender, age, and BMI. LIFEx software (version 7.3) was applied to measure epicardial adipose tissue volume (EATV) on non-contrast chest CT, as well as abdominal adipose tissue and skeletal muscle mass at the first lumbar vertebral level. Echocardiography was used to evaluate left ventricular (LV) diastolic function. Body compositions and clinical data were examined in relation to early LVDD.</p><p><strong>Results: </strong>A total of 86 CS patients and 86 healthy controls were enrolled. EATV was significantly higher in CS patients compared to control subjects (150.33 cm<sup>3</sup> [125.67, 189.41] vs 90.55 cm<sup>3</sup> [66.80, 119.84], <i>p</i> < 0.001). CS patients had noticeably increased visceral fat but decreased skeletal muscle in comparison to their healthy counterparts. Higher prevalence of LVDD was found in CS patients based on LV diastolic function evaluated by E/A ratio (<i>p</i> < 0.001). EATV was proved to be an independent risk factor for LVDD in CS patients (OR = 1.015, 95%CI 1.003-1.026, <i>p</i> = 0.011). If the cut-point of EATV was set as 139.252 cm<sup>3</sup> in CS patients, the diagnostic sensitivity and specificity of LVDD were 84.00% and 55.60%, respectively.</p><p><strong>Conclusion: </strong>CS was associated with marked accumulation of EAT and visceral fat, reduced skeletal muscle mass, and increased prevalence of LVDD. EATV was an independent risk factor for LVDD, suggesting the potential role of EAT in the development of LVDD in CS.</p>\",\"PeriodicalId\":93874,\"journal\":{\"name\":\"Annals of medicine\",\"volume\":\"56 1\",\"pages\":\"2387302\"},\"PeriodicalIF\":4.3000,\"publicationDate\":\"2024-12-01\",\"publicationTypes\":\"Journal Article\",\"fieldsOfStudy\":null,\"isOpenAccess\":false,\"openAccessPdf\":\"https://www.ncbi.nlm.nih.gov/pmc/articles/PMC11302473/pdf/\",\"citationCount\":\"0\",\"resultStr\":null,\"platform\":\"Semanticscholar\",\"paperid\":null,\"PeriodicalName\":\"Annals of medicine\",\"FirstCategoryId\":\"1085\",\"ListUrlMain\":\"https://doi.org/10.1080/07853890.2024.2387302\",\"RegionNum\":0,\"RegionCategory\":null,\"ArticlePicture\":[],\"TitleCN\":null,\"AbstractTextCN\":null,\"PMCID\":null,\"EPubDate\":\"2024/8/5 0:00:00\",\"PubModel\":\"Epub\",\"JCR\":\"\",\"JCRName\":\"\",\"Score\":null,\"Total\":0}","platform":"Semanticscholar","paperid":null,"PeriodicalName":"Annals of medicine","FirstCategoryId":"1085","ListUrlMain":"https://doi.org/10.1080/07853890.2024.2387302","RegionNum":0,"RegionCategory":null,"ArticlePicture":[],"TitleCN":null,"AbstractTextCN":null,"PMCID":null,"EPubDate":"2024/8/5 0:00:00","PubModel":"Epub","JCR":"","JCRName":"","Score":null,"Total":0}
引用次数: 0

摘要

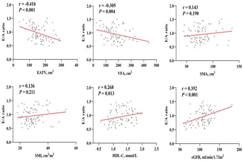
背景:库欣综合征(CS)与心力衰竭风险增加有关,而心力衰竭通常最初表现为左心室舒张功能障碍(LVDD)。在本研究中,我们旨在通过纳入身体成分参数来探讨 CS 中 LVDD 的潜在风险因素:方法:我们对年龄不小于 18 岁的内源性 CS 患者进行了一项回顾性研究。对照组由在性别、年龄和体重指数方面与 CS 患者匹配的健康人组成。应用 LIFEx 软件(7.3 版)测量非对比胸部 CT 的心外膜脂肪组织体积(EATV)以及腹部脂肪组织和第一腰椎水平的骨骼肌质量。超声心动图用于评估左心室舒张功能。研究了与早期 LVDD 相关的身体成分和临床数据:结果:共招募了 86 名 CS 患者和 86 名健康对照者。与对照组相比,CS 患者的 EATV 明显更高(150.33 cm3 [125.67, 189.41] vs 90.55 cm3 [66.80, 119.84], p p = 0.011)。如果将 CS 患者的 EATV 切点设为 139.252 立方厘米,则 LVDD 的诊断敏感性和特异性分别为 84.00% 和 55.60%:结论:CS与EAT和内脏脂肪明显堆积、骨骼肌质量减少以及LVDD患病率增加有关。EATV是LVDD的一个独立风险因素,这表明EAT在CS患者LVDD的发展中起着潜在的作用。
本文章由计算机程序翻译,如有差异,请以英文原文为准。

Epicardial adipose tissue volume highly correlates with left ventricular diastolic dysfunction in endogenous Cushing's syndrome.

Epicardial adipose tissue volume highly correlates with left ventricular diastolic dysfunction in endogenous Cushing's syndrome.

Epicardial adipose tissue volume highly correlates with left ventricular diastolic dysfunction in endogenous Cushing's syndrome.

Epicardial adipose tissue volume highly correlates with left ventricular diastolic dysfunction in endogenous Cushing's syndrome.

Background: Cushing's syndrome (CS) is associated with increased risk for heart failure, which often initially manifests as left ventricular diastolic dysfunction (LVDD). In this study, we aimed to explore the potential risk factors of LVDD in CS by incorporating body composition parameters.

Methods: A retrospective study was conducted on patients diagnosed with endogenous CS no less than 18 years old. The control group consisted of healthy individuals who were matched to CS patients in terms of gender, age, and BMI. LIFEx software (version 7.3) was applied to measure epicardial adipose tissue volume (EATV) on non-contrast chest CT, as well as abdominal adipose tissue and skeletal muscle mass at the first lumbar vertebral level. Echocardiography was used to evaluate left ventricular (LV) diastolic function. Body compositions and clinical data were examined in relation to early LVDD.

Results: A total of 86 CS patients and 86 healthy controls were enrolled. EATV was significantly higher in CS patients compared to control subjects (150.33 cm3 [125.67, 189.41] vs 90.55 cm3 [66.80, 119.84], p < 0.001). CS patients had noticeably increased visceral fat but decreased skeletal muscle in comparison to their healthy counterparts. Higher prevalence of LVDD was found in CS patients based on LV diastolic function evaluated by E/A ratio (p < 0.001). EATV was proved to be an independent risk factor for LVDD in CS patients (OR = 1.015, 95%CI 1.003-1.026, p = 0.011). If the cut-point of EATV was set as 139.252 cm3 in CS patients, the diagnostic sensitivity and specificity of LVDD were 84.00% and 55.60%, respectively.

Conclusion: CS was associated with marked accumulation of EAT and visceral fat, reduced skeletal muscle mass, and increased prevalence of LVDD. EATV was an independent risk factor for LVDD, suggesting the potential role of EAT in the development of LVDD in CS.

求助全文
通过发布文献求助,成功后即可免费获取论文全文。 去求助
来源期刊
自引率
0.00%
发文量
0
×
引用
GB/T 7714-2015
复制
MLA
复制
APA
复制
导出至
BibTeX EndNote RefMan NoteFirst NoteExpress
×
提示
您的信息不完整,为了账户安全,请先补充。
现在去补充
×
提示
您因"违规操作"
具体请查看互助需知
我知道了
×
提示
确定
请完成安全验证×
copy
已复制链接
快去分享给好友吧!
我知道了
右上角分享
点击右上角分享
0
联系我们:info@booksci.cn Book学术提供免费学术资源搜索服务,方便国内外学者检索中英文文献。致力于提供最便捷和优质的服务体验。 Copyright © 2023 布克学术 All rights reserved.
京ICP备2023020795号-1
ghs 京公网安备 11010802042870号
Book学术文献互助
Book学术文献互助群
群 号:604180095
Book学术官方微信