高血清 miR-361-3p 预测自体干细胞移植术后出院早期感染。

IF 2.9 Q2 INFECTIOUS DISEASES
Infection and Chemotherapy Pub Date : 2024-09-01 Epub Date: 2024-06-04 DOI:10.3947/ic.2024.0021
Damian Mikulski, Kacper Kościelny, Izabela Dróżdż, Mateusz Nowicki, Małgorzata Misiewicz, Ewelina Perdas, Piotr Strzałka, Agnieszka Wierzbowska, Wojciech Fendler
{"title":"高血清 miR-361-3p 预测自体干细胞移植术后出院早期感染。","authors":"Damian Mikulski, Kacper Kościelny, Izabela Dróżdż, Mateusz Nowicki, Małgorzata Misiewicz, Ewelina Perdas, Piotr Strzałka, Agnieszka Wierzbowska, Wojciech Fendler","doi":"10.3947/ic.2024.0021","DOIUrl":null,"url":null,"abstract":"<p><strong>Background: </strong>Autologous hematopoietic stem cell transplantation (AHSCT) is currently the backbone of the treatment of multiple myeloma (MM) and relapsed and refractory lymphomas. Notably, infections contribute to over 25% of fatalities among AHSCT recipients within the initial 100 days following the procedure. In this study, we aimed to evaluate three selected miRNAs: hsa-miR-155-5p, hsa-miR-320c, and hsa-miR-361-3p, in identifying AHSCT recipients at high risk of infectious events up to 100 days post-transplantation after discharge.</p><p><strong>Materials and methods: </strong>The study group consisted of 58 patients (43 with MM, 15 with lymphoma) treated with AHSCT. Blood samples were collected from all patients at the same time point: on day +14 after transplantation.</p><p><strong>Results: </strong>Fifteen patients (25.9%) experienced infectious complications after post-transplant discharge within the initial +100 days post-transplantation. The median time to infection onset was 44 days (interquartile range, 25-78). Four patients required hospitalization due to severe infection. High expression of hsa-miR-361-3p (fold change [FC], 1.79; <i>P</i>=0.0139) in the patients experiencing infectious complications and overexpression of hsa-miR-320c (FC, 2.14; <i>P</i><0.0001) in patients requiring hospitalization were observed. In the multivariate model, both lymphoma diagnosis (odds ratio [OR], 6.88; 95% confidence interval [CI], 1.55-30.56; <i>P</i>=0.0112) and high expression of hsa-miR-361-3p (OR, 3.00; 95% CI, 1.40-6.41; <i>P</i>=0.0047) were independent factors associated with post-discharge infectious complications occurrence. Our model in 10-fold cross-validation preserved its diagnostic potential with an area under the receiver operating characteristic curve of 0.78 (95% CI, 0.64-0.92).</p><p><strong>Conclusion: </strong>Elevated serum hsa-miR-361-3p emerges as a promising biomarker for identifying patients at risk of infection during the early post-discharge period, potentially offering optimization of the prophylactic use of antimicrobial agents tailored to the specific risk profile of each AHSCT recipient.</p>","PeriodicalId":51616,"journal":{"name":"Infection and Chemotherapy","volume":" ","pages":"339-350"},"PeriodicalIF":2.9000,"publicationDate":"2024-09-01","publicationTypes":"Journal Article","fieldsOfStudy":null,"isOpenAccess":false,"openAccessPdf":"https://www.ncbi.nlm.nih.gov/pmc/articles/PMC11458496/pdf/","citationCount":"0","resultStr":"{\"title\":\"High Serum miR-361-3p Predicts Early Postdischarge Infections after Autologous Stem Cell Transplantation.\",\"authors\":\"Damian Mikulski, Kacper Kościelny, Izabela Dróżdż, Mateusz Nowicki, Małgorzata Misiewicz, Ewelina Perdas, Piotr Strzałka, Agnieszka Wierzbowska, Wojciech Fendler\",\"doi\":\"10.3947/ic.2024.0021\",\"DOIUrl\":null,\"url\":null,\"abstract\":\"<p><strong>Background: </strong>Autologous hematopoietic stem cell transplantation (AHSCT) is currently the backbone of the treatment of multiple myeloma (MM) and relapsed and refractory lymphomas. Notably, infections contribute to over 25% of fatalities among AHSCT recipients within the initial 100 days following the procedure. In this study, we aimed to evaluate three selected miRNAs: hsa-miR-155-5p, hsa-miR-320c, and hsa-miR-361-3p, in identifying AHSCT recipients at high risk of infectious events up to 100 days post-transplantation after discharge.</p><p><strong>Materials and methods: </strong>The study group consisted of 58 patients (43 with MM, 15 with lymphoma) treated with AHSCT. Blood samples were collected from all patients at the same time point: on day +14 after transplantation.</p><p><strong>Results: </strong>Fifteen patients (25.9%) experienced infectious complications after post-transplant discharge within the initial +100 days post-transplantation. The median time to infection onset was 44 days (interquartile range, 25-78). Four patients required hospitalization due to severe infection. High expression of hsa-miR-361-3p (fold change [FC], 1.79; <i>P</i>=0.0139) in the patients experiencing infectious complications and overexpression of hsa-miR-320c (FC, 2.14; <i>P</i><0.0001) in patients requiring hospitalization were observed. In the multivariate model, both lymphoma diagnosis (odds ratio [OR], 6.88; 95% confidence interval [CI], 1.55-30.56; <i>P</i>=0.0112) and high expression of hsa-miR-361-3p (OR, 3.00; 95% CI, 1.40-6.41; <i>P</i>=0.0047) were independent factors associated with post-discharge infectious complications occurrence. Our model in 10-fold cross-validation preserved its diagnostic potential with an area under the receiver operating characteristic curve of 0.78 (95% CI, 0.64-0.92).</p><p><strong>Conclusion: </strong>Elevated serum hsa-miR-361-3p emerges as a promising biomarker for identifying patients at risk of infection during the early post-discharge period, potentially offering optimization of the prophylactic use of antimicrobial agents tailored to the specific risk profile of each AHSCT recipient.</p>\",\"PeriodicalId\":51616,\"journal\":{\"name\":\"Infection and Chemotherapy\",\"volume\":\" \",\"pages\":\"339-350\"},\"PeriodicalIF\":2.9000,\"publicationDate\":\"2024-09-01\",\"publicationTypes\":\"Journal Article\",\"fieldsOfStudy\":null,\"isOpenAccess\":false,\"openAccessPdf\":\"https://www.ncbi.nlm.nih.gov/pmc/articles/PMC11458496/pdf/\",\"citationCount\":\"0\",\"resultStr\":null,\"platform\":\"Semanticscholar\",\"paperid\":null,\"PeriodicalName\":\"Infection and Chemotherapy\",\"FirstCategoryId\":\"1085\",\"ListUrlMain\":\"https://doi.org/10.3947/ic.2024.0021\",\"RegionNum\":0,\"RegionCategory\":null,\"ArticlePicture\":[],\"TitleCN\":null,\"AbstractTextCN\":null,\"PMCID\":null,\"EPubDate\":\"2024/6/4 0:00:00\",\"PubModel\":\"Epub\",\"JCR\":\"Q2\",\"JCRName\":\"INFECTIOUS DISEASES\",\"Score\":null,\"Total\":0}","platform":"Semanticscholar","paperid":null,"PeriodicalName":"Infection and Chemotherapy","FirstCategoryId":"1085","ListUrlMain":"https://doi.org/10.3947/ic.2024.0021","RegionNum":0,"RegionCategory":null,"ArticlePicture":[],"TitleCN":null,"AbstractTextCN":null,"PMCID":null,"EPubDate":"2024/6/4 0:00:00","PubModel":"Epub","JCR":"Q2","JCRName":"INFECTIOUS DISEASES","Score":null,"Total":0}
引用次数: 0

摘要

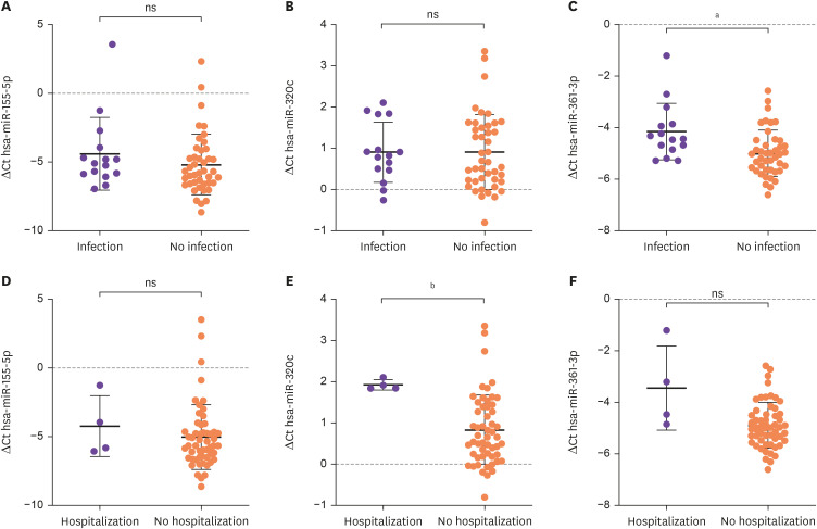
背景:自体造血干细胞移植(AHSCT自体造血干细胞移植(AHSCT)是目前治疗多发性骨髓瘤(MM)、复发性和难治性淋巴瘤的主要方法。值得注意的是,在术后最初的100天内,感染导致25%以上的AHSCT受者死亡。在这项研究中,我们旨在评估三种选定的 miRNA:hsa-miR-155-5p、hsa-miR-320c 和 hsa-miR-361-3p,以确定 AHSCT 受者在出院后移植后 100 天内发生感染事件的高风险:研究组由 58 名接受 AHSCT 治疗的患者(43 名 MM 患者,15 名淋巴瘤患者)组成。所有患者的血样均在同一时间点采集:移植后第 +14 天:15名患者(25.9%)在移植后出院后的最初100天内出现了感染并发症。感染发生的中位时间为 44 天(四分位数间距为 25-78)。四名患者因严重感染需要住院治疗。在出现感染并发症的患者中,hsa-miR-361-3p的高表达(折变[FC],1.79;P=0.0139)和hsa-miR-320c的过表达(FC,2.14;PP=0.0112)以及hsa-miR-361-3p的高表达(OR,3.00;95% CI,1.40-6.41;P=0.0047)是出院后感染并发症发生的独立相关因素。我们的模型在10倍交叉验证中保持了其诊断潜力,接收者操作特征曲线下面积为0.78(95% CI,0.64-0.92):血清hsa-miR-361-3p的升高有望成为一种生物标志物,用于识别出院后早期有感染风险的患者,从而有可能根据每位AHSCT受者的具体风险情况优化抗菌药物的预防性使用。
本文章由计算机程序翻译,如有差异,请以英文原文为准。

High Serum miR-361-3p Predicts Early Postdischarge Infections after Autologous Stem Cell Transplantation.

High Serum miR-361-3p Predicts Early Postdischarge Infections after Autologous Stem Cell Transplantation.

High Serum miR-361-3p Predicts Early Postdischarge Infections after Autologous Stem Cell Transplantation.

High Serum miR-361-3p Predicts Early Postdischarge Infections after Autologous Stem Cell Transplantation.

Background: Autologous hematopoietic stem cell transplantation (AHSCT) is currently the backbone of the treatment of multiple myeloma (MM) and relapsed and refractory lymphomas. Notably, infections contribute to over 25% of fatalities among AHSCT recipients within the initial 100 days following the procedure. In this study, we aimed to evaluate three selected miRNAs: hsa-miR-155-5p, hsa-miR-320c, and hsa-miR-361-3p, in identifying AHSCT recipients at high risk of infectious events up to 100 days post-transplantation after discharge.

Materials and methods: The study group consisted of 58 patients (43 with MM, 15 with lymphoma) treated with AHSCT. Blood samples were collected from all patients at the same time point: on day +14 after transplantation.

Results: Fifteen patients (25.9%) experienced infectious complications after post-transplant discharge within the initial +100 days post-transplantation. The median time to infection onset was 44 days (interquartile range, 25-78). Four patients required hospitalization due to severe infection. High expression of hsa-miR-361-3p (fold change [FC], 1.79; P=0.0139) in the patients experiencing infectious complications and overexpression of hsa-miR-320c (FC, 2.14; P<0.0001) in patients requiring hospitalization were observed. In the multivariate model, both lymphoma diagnosis (odds ratio [OR], 6.88; 95% confidence interval [CI], 1.55-30.56; P=0.0112) and high expression of hsa-miR-361-3p (OR, 3.00; 95% CI, 1.40-6.41; P=0.0047) were independent factors associated with post-discharge infectious complications occurrence. Our model in 10-fold cross-validation preserved its diagnostic potential with an area under the receiver operating characteristic curve of 0.78 (95% CI, 0.64-0.92).

Conclusion: Elevated serum hsa-miR-361-3p emerges as a promising biomarker for identifying patients at risk of infection during the early post-discharge period, potentially offering optimization of the prophylactic use of antimicrobial agents tailored to the specific risk profile of each AHSCT recipient.

求助全文
通过发布文献求助,成功后即可免费获取论文全文。 去求助
来源期刊
Infection and Chemotherapy
Infection and Chemotherapy INFECTIOUS DISEASES-
CiteScore
6.60
自引率
11.90%
发文量
71
审稿时长
22 weeks
×
引用
GB/T 7714-2015
复制
MLA
复制
APA
复制
导出至
BibTeX EndNote RefMan NoteFirst NoteExpress
×
提示
您的信息不完整,为了账户安全,请先补充。
现在去补充
×
提示
您因"违规操作"
具体请查看互助需知
我知道了
×
提示
确定
请完成安全验证×
copy
已复制链接
快去分享给好友吧!
我知道了
右上角分享
点击右上角分享
0
联系我们:info@booksci.cn Book学术提供免费学术资源搜索服务,方便国内外学者检索中英文文献。致力于提供最便捷和优质的服务体验。 Copyright © 2023 布克学术 All rights reserved.
京ICP备2023020795号-1
ghs 京公网安备 11010802042870号
Book学术文献互助
Book学术文献互助群
群 号:604180095
Book学术官方微信