基于行波的高分辨率离子迁移率分离与质谱联用技术的最新进展。

IF 6.6 2区 化学 Q1 SPECTROSCOPY
Cameron N. Naylor, Gabe Nagy
{"title":"基于行波的高分辨率离子迁移率分离与质谱联用技术的最新进展。","authors":"Cameron N. Naylor,&nbsp;Gabe Nagy","doi":"10.1002/mas.21902","DOIUrl":null,"url":null,"abstract":"<p>Recently, ion mobility spectrometry-mass spectrometry (IMS-MS) has become more readily incorporated into various omics-based workflows. These growing applications are due to developments in instrumentation within the last decade that have enabled higher-resolution ion mobility separations. Two such platforms are the cyclic (cIMS) and structures for lossless ion manipulations (SLIM), both of which use traveling wave ion mobility spectrometry (TWIMS). High-resolution separations achieved with these techniques stem from the drastically increased pathlengths, on the order of 10 s of meters to &gt;1 km, in both cIMS-MS and SLIM IMS-MS, respectively. Herein, we highlight recent developments and advances, for the period 2019–2023, in high-resolution traveling wave-based IMS-MS through instrumentation, calibration strategies, hyphenated techniques, and applications. Specifically, we will discuss applications including CCS calculations in multipass IMS-MS separations, coupling of IMS-MS with chromatography, imaging, and cryogenic infrared spectroscopy, and isomeric separations of glycans, lipids, and other small metabolites.</p>","PeriodicalId":206,"journal":{"name":"Mass Spectrometry Reviews","volume":"44 4","pages":"581-598"},"PeriodicalIF":6.6000,"publicationDate":"2024-08-01","publicationTypes":"Journal Article","fieldsOfStudy":null,"isOpenAccess":false,"openAccessPdf":"https://www.ncbi.nlm.nih.gov/pmc/articles/PMC11785821/pdf/","citationCount":"0","resultStr":"{\"title\":\"Recent advances in high-resolution traveling wave-based ion mobility separations coupled to mass spectrometry\",\"authors\":\"Cameron N. Naylor,&nbsp;Gabe Nagy\",\"doi\":\"10.1002/mas.21902\",\"DOIUrl\":null,\"url\":null,\"abstract\":\"<p>Recently, ion mobility spectrometry-mass spectrometry (IMS-MS) has become more readily incorporated into various omics-based workflows. These growing applications are due to developments in instrumentation within the last decade that have enabled higher-resolution ion mobility separations. Two such platforms are the cyclic (cIMS) and structures for lossless ion manipulations (SLIM), both of which use traveling wave ion mobility spectrometry (TWIMS). High-resolution separations achieved with these techniques stem from the drastically increased pathlengths, on the order of 10 s of meters to &gt;1 km, in both cIMS-MS and SLIM IMS-MS, respectively. Herein, we highlight recent developments and advances, for the period 2019–2023, in high-resolution traveling wave-based IMS-MS through instrumentation, calibration strategies, hyphenated techniques, and applications. Specifically, we will discuss applications including CCS calculations in multipass IMS-MS separations, coupling of IMS-MS with chromatography, imaging, and cryogenic infrared spectroscopy, and isomeric separations of glycans, lipids, and other small metabolites.</p>\",\"PeriodicalId\":206,\"journal\":{\"name\":\"Mass Spectrometry Reviews\",\"volume\":\"44 4\",\"pages\":\"581-598\"},\"PeriodicalIF\":6.6000,\"publicationDate\":\"2024-08-01\",\"publicationTypes\":\"Journal Article\",\"fieldsOfStudy\":null,\"isOpenAccess\":false,\"openAccessPdf\":\"https://www.ncbi.nlm.nih.gov/pmc/articles/PMC11785821/pdf/\",\"citationCount\":\"0\",\"resultStr\":null,\"platform\":\"Semanticscholar\",\"paperid\":null,\"PeriodicalName\":\"Mass Spectrometry Reviews\",\"FirstCategoryId\":\"92\",\"ListUrlMain\":\"https://analyticalsciencejournals.onlinelibrary.wiley.com/doi/10.1002/mas.21902\",\"RegionNum\":2,\"RegionCategory\":\"化学\",\"ArticlePicture\":[],\"TitleCN\":null,\"AbstractTextCN\":null,\"PMCID\":null,\"EPubDate\":\"\",\"PubModel\":\"\",\"JCR\":\"Q1\",\"JCRName\":\"SPECTROSCOPY\",\"Score\":null,\"Total\":0}","platform":"Semanticscholar","paperid":null,"PeriodicalName":"Mass Spectrometry Reviews","FirstCategoryId":"92","ListUrlMain":"https://analyticalsciencejournals.onlinelibrary.wiley.com/doi/10.1002/mas.21902","RegionNum":2,"RegionCategory":"化学","ArticlePicture":[],"TitleCN":null,"AbstractTextCN":null,"PMCID":null,"EPubDate":"","PubModel":"","JCR":"Q1","JCRName":"SPECTROSCOPY","Score":null,"Total":0}
引用次数: 0

摘要

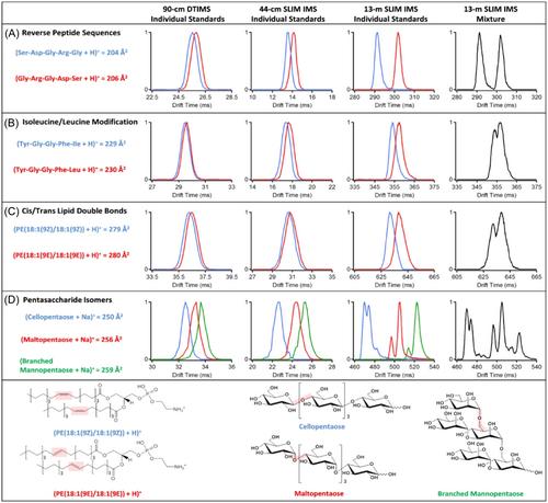
近来,离子迁移谱-质谱(IMS-MS)已越来越容易地融入到各种基于omics的工作流程中。这些不断增长的应用得益于过去十年中仪器的发展,这些仪器实现了更高分辨率的离子迁移率分离。其中两个平台是循环(cIMS)和无损离子操作结构(SLIM),这两个平台都使用行波离子迁移谱(TWIMS)。cIMS-MS 和 SLIM IMS-MS 的路径长度分别从 10 秒米到大于 1 千米不等,这些技术实现了高分辨率分离。在此,我们将重点介绍 2019-2023 年期间基于行波的高分辨率 IMS-MS 在仪器、校准策略、连用技术和应用方面的最新发展和进步。具体来说,我们将讨论的应用包括多通道 IMS-MS 分离中的 CCS 计算,IMS-MS 与色谱、成像和低温红外光谱的耦合,以及聚糖、脂类和其他小代谢物的异构体分离。
本文章由计算机程序翻译,如有差异,请以英文原文为准。

Recent advances in high-resolution traveling wave-based ion mobility separations coupled to mass spectrometry

Recent advances in high-resolution traveling wave-based ion mobility separations coupled to mass spectrometry

Recent advances in high-resolution traveling wave-based ion mobility separations coupled to mass spectrometry

Recent advances in high-resolution traveling wave-based ion mobility separations coupled to mass spectrometry

Recent advances in high-resolution traveling wave-based ion mobility separations coupled to mass spectrometry

Recent advances in high-resolution traveling wave-based ion mobility separations coupled to mass spectrometry

Recent advances in high-resolution traveling wave-based ion mobility separations coupled to mass spectrometry

Recently, ion mobility spectrometry-mass spectrometry (IMS-MS) has become more readily incorporated into various omics-based workflows. These growing applications are due to developments in instrumentation within the last decade that have enabled higher-resolution ion mobility separations. Two such platforms are the cyclic (cIMS) and structures for lossless ion manipulations (SLIM), both of which use traveling wave ion mobility spectrometry (TWIMS). High-resolution separations achieved with these techniques stem from the drastically increased pathlengths, on the order of 10 s of meters to >1 km, in both cIMS-MS and SLIM IMS-MS, respectively. Herein, we highlight recent developments and advances, for the period 2019–2023, in high-resolution traveling wave-based IMS-MS through instrumentation, calibration strategies, hyphenated techniques, and applications. Specifically, we will discuss applications including CCS calculations in multipass IMS-MS separations, coupling of IMS-MS with chromatography, imaging, and cryogenic infrared spectroscopy, and isomeric separations of glycans, lipids, and other small metabolites.

求助全文
通过发布文献求助,成功后即可免费获取论文全文。 去求助
来源期刊
Mass Spectrometry Reviews
Mass Spectrometry Reviews 物理-光谱学
CiteScore
16.30
自引率
3.00%
发文量
56
期刊介绍: The aim of the journal Mass Spectrometry Reviews is to publish well-written reviews in selected topics in the various sub-fields of mass spectrometry as a means to summarize the research that has been performed in that area, to focus attention of other researchers, to critically review the published material, and to stimulate further research in that area. The scope of the published reviews include, but are not limited to topics, such as theoretical treatments, instrumental design, ionization methods, analyzers, detectors, application to the qualitative and quantitative analysis of various compounds or elements, basic ion chemistry and structure studies, ion energetic studies, and studies on biomolecules, polymers, etc.
×
引用
GB/T 7714-2015
复制
MLA
复制
APA
复制
导出至
BibTeX EndNote RefMan NoteFirst NoteExpress
×
提示
您的信息不完整,为了账户安全,请先补充。
现在去补充
×
提示
您因"违规操作"
具体请查看互助需知
我知道了
×
提示
确定
请完成安全验证×
copy
已复制链接
快去分享给好友吧!
我知道了
右上角分享
点击右上角分享
0
联系我们:info@booksci.cn Book学术提供免费学术资源搜索服务,方便国内外学者检索中英文文献。致力于提供最便捷和优质的服务体验。 Copyright © 2023 布克学术 All rights reserved.
京ICP备2023020795号-1
ghs 京公网安备 11010802042870号
Book学术文献互助
Book学术文献互助群
群 号:604180095
Book学术官方微信