脑血管病损负荷与大脑加速衰老:认知谱系的启示。

Frontiers in dementia Pub Date : 2024-06-21 eCollection Date: 2024-01-01 DOI:10.3389/frdem.2024.1380015
Iman Beheshti, Olivier Potvin, Mahsa Dadar, Simon Duchesne
{"title":"脑血管病损负荷与大脑加速衰老:认知谱系的启示。","authors":"Iman Beheshti, Olivier Potvin, Mahsa Dadar, Simon Duchesne","doi":"10.3389/frdem.2024.1380015","DOIUrl":null,"url":null,"abstract":"<p><strong>Introduction: </strong>White matter hyperintensities (WMHs) and cerebral microbleeds are widespread among aging population and linked with cognitive deficits in mild cognitive impairment (MCI), vascular MCI (V-MCI), and Alzheimer's disease without (AD) or with a vascular component (V-AD). In this study, we aimed to investigate the association between brain age, which reflects global brain health, and cerebrovascular lesion load in the context of pathological aging in diverse forms of clinically-defined neurodegenerative conditions.</p><p><strong>Methods: </strong>We computed brain-predicted age difference (brain-PAD: predicted brain age minus chronological age) in the Comprehensive Assessment of Neurodegeneration and Dementia cohort of the Canadian Consortium on Neurodegeneration in Aging including 70 cognitively intact elderly (CIE), 173 MCI, 88 V-MCI, 50 AD, and 47 V-AD using T1-weighted magnetic resonance imaging (MRI) scans. We used a well-established automated methodology that leveraged fluid attenuated inversion recovery MRIs for precise quantification of WMH burden. Additionally, cerebral microbleeds were detected utilizing a validated segmentation tool based on the ResNet50 network, utilizing routine T1-weighted, T2-weighted, and T2<sup>*</sup> MRI scans.</p><p><strong>Results: </strong>The mean brain-PAD in the CIE cohort was around zero, whereas the four categories showed a significantly higher mean brain-PAD compared to CIE, except MCI group. A notable association trend between brain-PAD and WMH loads was observed in aging and across the spectrum of cognitive impairment due to AD, but not between brain-PAD and microbleed loads.</p><p><strong>Discussion: </strong>WMHs were associated with faster brain aging and should be considered as a risk factor which imperils brain health in aging and exacerbate brain abnormalities in the context of neurodegeneration of presumed AD origin. Our findings underscore the significance of novel research endeavors aimed at elucidating the etiology, prevention, and treatment of WMH in the area of brain aging.</p>","PeriodicalId":520000,"journal":{"name":"Frontiers in dementia","volume":"3 ","pages":"1380015"},"PeriodicalIF":0.0000,"publicationDate":"2024-06-21","publicationTypes":"Journal Article","fieldsOfStudy":null,"isOpenAccess":false,"openAccessPdf":"https://www.ncbi.nlm.nih.gov/pmc/articles/PMC11285662/pdf/","citationCount":"0","resultStr":"{\"title\":\"Cerebrovascular lesion loads and accelerated brain aging: insights into the cognitive spectrum.\",\"authors\":\"Iman Beheshti, Olivier Potvin, Mahsa Dadar, Simon Duchesne\",\"doi\":\"10.3389/frdem.2024.1380015\",\"DOIUrl\":null,\"url\":null,\"abstract\":\"<p><strong>Introduction: </strong>White matter hyperintensities (WMHs) and cerebral microbleeds are widespread among aging population and linked with cognitive deficits in mild cognitive impairment (MCI), vascular MCI (V-MCI), and Alzheimer's disease without (AD) or with a vascular component (V-AD). In this study, we aimed to investigate the association between brain age, which reflects global brain health, and cerebrovascular lesion load in the context of pathological aging in diverse forms of clinically-defined neurodegenerative conditions.</p><p><strong>Methods: </strong>We computed brain-predicted age difference (brain-PAD: predicted brain age minus chronological age) in the Comprehensive Assessment of Neurodegeneration and Dementia cohort of the Canadian Consortium on Neurodegeneration in Aging including 70 cognitively intact elderly (CIE), 173 MCI, 88 V-MCI, 50 AD, and 47 V-AD using T1-weighted magnetic resonance imaging (MRI) scans. We used a well-established automated methodology that leveraged fluid attenuated inversion recovery MRIs for precise quantification of WMH burden. Additionally, cerebral microbleeds were detected utilizing a validated segmentation tool based on the ResNet50 network, utilizing routine T1-weighted, T2-weighted, and T2<sup>*</sup> MRI scans.</p><p><strong>Results: </strong>The mean brain-PAD in the CIE cohort was around zero, whereas the four categories showed a significantly higher mean brain-PAD compared to CIE, except MCI group. A notable association trend between brain-PAD and WMH loads was observed in aging and across the spectrum of cognitive impairment due to AD, but not between brain-PAD and microbleed loads.</p><p><strong>Discussion: </strong>WMHs were associated with faster brain aging and should be considered as a risk factor which imperils brain health in aging and exacerbate brain abnormalities in the context of neurodegeneration of presumed AD origin. Our findings underscore the significance of novel research endeavors aimed at elucidating the etiology, prevention, and treatment of WMH in the area of brain aging.</p>\",\"PeriodicalId\":520000,\"journal\":{\"name\":\"Frontiers in dementia\",\"volume\":\"3 \",\"pages\":\"1380015\"},\"PeriodicalIF\":0.0000,\"publicationDate\":\"2024-06-21\",\"publicationTypes\":\"Journal Article\",\"fieldsOfStudy\":null,\"isOpenAccess\":false,\"openAccessPdf\":\"https://www.ncbi.nlm.nih.gov/pmc/articles/PMC11285662/pdf/\",\"citationCount\":\"0\",\"resultStr\":null,\"platform\":\"Semanticscholar\",\"paperid\":null,\"PeriodicalName\":\"Frontiers in dementia\",\"FirstCategoryId\":\"1085\",\"ListUrlMain\":\"https://doi.org/10.3389/frdem.2024.1380015\",\"RegionNum\":0,\"RegionCategory\":null,\"ArticlePicture\":[],\"TitleCN\":null,\"AbstractTextCN\":null,\"PMCID\":null,\"EPubDate\":\"2024/1/1 0:00:00\",\"PubModel\":\"eCollection\",\"JCR\":\"\",\"JCRName\":\"\",\"Score\":null,\"Total\":0}","platform":"Semanticscholar","paperid":null,"PeriodicalName":"Frontiers in dementia","FirstCategoryId":"1085","ListUrlMain":"https://doi.org/10.3389/frdem.2024.1380015","RegionNum":0,"RegionCategory":null,"ArticlePicture":[],"TitleCN":null,"AbstractTextCN":null,"PMCID":null,"EPubDate":"2024/1/1 0:00:00","PubModel":"eCollection","JCR":"","JCRName":"","Score":null,"Total":0}
引用次数: 0

摘要

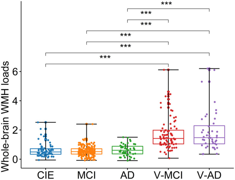
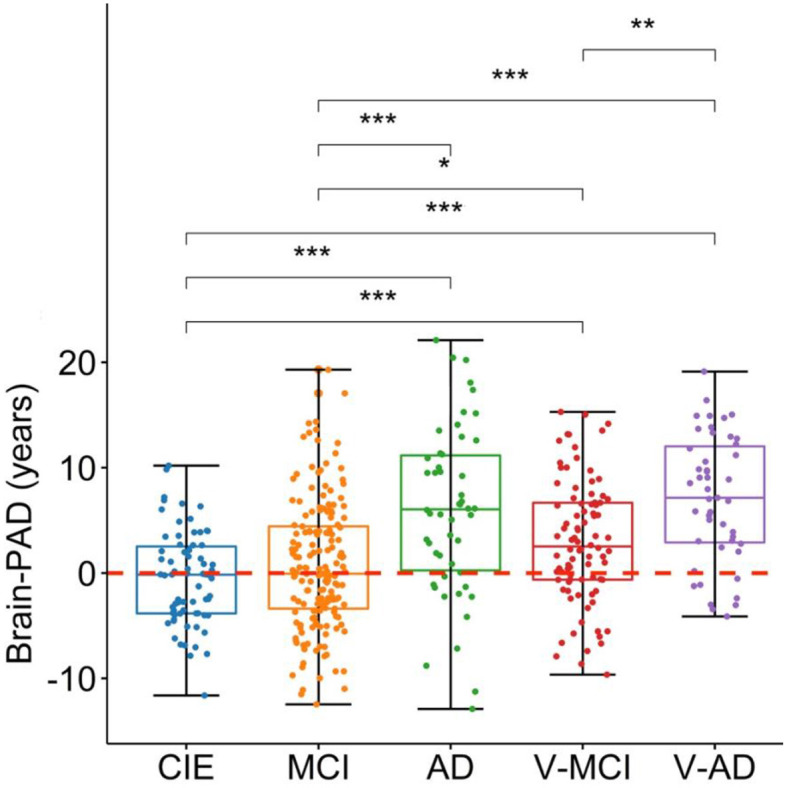
导言:白质高密度(WMHs)和脑微出血广泛存在于老龄人口中,并与轻度认知障碍(MCI)、血管性 MCI(V-MCI)、无血管性阿尔茨海默病(AD)或有血管性成分的阿尔茨海默病(V-AD)中的认知障碍有关。在这项研究中,我们旨在调查反映大脑整体健康的脑年龄与临床定义的各种神经退行性疾病病理衰老背景下脑血管病变负荷之间的关联:我们使用 T1 加权磁共振成像(MRI)扫描计算了加拿大老龄化神经退行性病变联盟(Canadian Consortium on Neurodegeneration in Aging)的神经退行性病变和痴呆综合评估队列(Comprehensive Assessment of Neurodegeneration and Dementia cohort)中的脑预测年龄差(brain-PAD:预测脑年龄减去计时年龄),其中包括 70 名认知功能完好的老年人(CIE)、173 名 MCI、88 名 V-MCI、50 名 AD 和 47 名 V-AD。我们采用了一种成熟的自动化方法,利用流体衰减反转恢复 MRI 对 WMH 负荷进行精确量化。此外,我们还利用经过验证的基于 ResNet50 网络的分割工具,利用常规 T1 加权、T2 加权和 T2* MRI 扫描检测脑微出血:CIE组群的平均脑PAD值约为零,而与CIE相比,除MCI组外,其他四个组群的平均脑PAD值均显著高于CIE。在老年期和AD引起的认知障碍的各个阶段,都观察到脑PAD与WMH负荷之间有明显的关联趋势,但脑PAD与微出血负荷之间没有关联:讨论:WMH 与大脑加速衰老有关,应将其视为在衰老过程中危及大脑健康的风险因素,并在推测为 AD 的神经变性过程中加剧大脑异常。我们的研究结果表明,在脑衰老领域开展旨在阐明 WMH 病因、预防和治疗的新型研究工作意义重大。
本文章由计算机程序翻译,如有差异,请以英文原文为准。

Cerebrovascular lesion loads and accelerated brain aging: insights into the cognitive spectrum.

Cerebrovascular lesion loads and accelerated brain aging: insights into the cognitive spectrum.

Cerebrovascular lesion loads and accelerated brain aging: insights into the cognitive spectrum.

Cerebrovascular lesion loads and accelerated brain aging: insights into the cognitive spectrum.

Introduction: White matter hyperintensities (WMHs) and cerebral microbleeds are widespread among aging population and linked with cognitive deficits in mild cognitive impairment (MCI), vascular MCI (V-MCI), and Alzheimer's disease without (AD) or with a vascular component (V-AD). In this study, we aimed to investigate the association between brain age, which reflects global brain health, and cerebrovascular lesion load in the context of pathological aging in diverse forms of clinically-defined neurodegenerative conditions.

Methods: We computed brain-predicted age difference (brain-PAD: predicted brain age minus chronological age) in the Comprehensive Assessment of Neurodegeneration and Dementia cohort of the Canadian Consortium on Neurodegeneration in Aging including 70 cognitively intact elderly (CIE), 173 MCI, 88 V-MCI, 50 AD, and 47 V-AD using T1-weighted magnetic resonance imaging (MRI) scans. We used a well-established automated methodology that leveraged fluid attenuated inversion recovery MRIs for precise quantification of WMH burden. Additionally, cerebral microbleeds were detected utilizing a validated segmentation tool based on the ResNet50 network, utilizing routine T1-weighted, T2-weighted, and T2* MRI scans.

Results: The mean brain-PAD in the CIE cohort was around zero, whereas the four categories showed a significantly higher mean brain-PAD compared to CIE, except MCI group. A notable association trend between brain-PAD and WMH loads was observed in aging and across the spectrum of cognitive impairment due to AD, but not between brain-PAD and microbleed loads.

Discussion: WMHs were associated with faster brain aging and should be considered as a risk factor which imperils brain health in aging and exacerbate brain abnormalities in the context of neurodegeneration of presumed AD origin. Our findings underscore the significance of novel research endeavors aimed at elucidating the etiology, prevention, and treatment of WMH in the area of brain aging.

求助全文
通过发布文献求助,成功后即可免费获取论文全文。 去求助
来源期刊
自引率
0.00%
发文量
0
×
引用
GB/T 7714-2015
复制
MLA
复制
APA
复制
导出至
BibTeX EndNote RefMan NoteFirst NoteExpress
×
提示
您的信息不完整,为了账户安全,请先补充。
现在去补充
×
提示
您因"违规操作"
具体请查看互助需知
我知道了
×
提示
确定
请完成安全验证×
copy
已复制链接
快去分享给好友吧!
我知道了
右上角分享
点击右上角分享
0
联系我们:info@booksci.cn Book学术提供免费学术资源搜索服务,方便国内外学者检索中英文文献。致力于提供最便捷和优质的服务体验。 Copyright © 2023 布克学术 All rights reserved.
京ICP备2023020795号-1
ghs 京公网安备 11010802042870号
Book学术文献互助
Book学术文献互助群
群 号:604180095
Book学术官方微信