基于 SEER 数据库为食管癌患者构建预后提名图。

IF 2.4 4区 医学 Q2 MEDICINE, GENERAL & INTERNAL
Clinics Pub Date : 2024-07-29 eCollection Date: 2024-01-01 DOI:10.1016/j.clinsp.2024.100433
Xiying Cao, Bingqun Wu, Shaoming Guo, Weixiang Zhong, Zuxiong Zhang, Hui Li
{"title":"基于 SEER 数据库为食管癌患者构建预后提名图。","authors":"Xiying Cao, Bingqun Wu, Shaoming Guo, Weixiang Zhong, Zuxiong Zhang, Hui Li","doi":"10.1016/j.clinsp.2024.100433","DOIUrl":null,"url":null,"abstract":"<p><p>Currently, the incidence of esophageal cancer continues to rise around the world. Because of its good early prognosis, it is of great significance to establish an effective model for predicting the survival of EC patients. The purpose of this study was to predict survival after diagnosis in Esophageal Cancer (EC) patients by constructing a valid clinical nomogram. In this study, 5037 EC patient samples diagnosed from 2010 to 2015 were screened by accessing the SEER database, and 8 independent prognostic factors were screened by various methods, and Cox multivariate regression was included to construct a prognostic model and nomogram for esophageal cancer. to estimate esophageal cancer recurrence and overall survival. Calibration of the nomogram predicted probabilities of 1-year, 3-year and 5-year survival probability, which were closely related to actual survival. In conclusion, this study validated that the column-line graphical model can be considered an individualized quantitative tool for predicting the prognosis of patients with EC in order to assist clinicians in making therapeutic decisions.</p>","PeriodicalId":10472,"journal":{"name":"Clinics","volume":"79 ","pages":"100433"},"PeriodicalIF":2.4000,"publicationDate":"2024-07-29","publicationTypes":"Journal Article","fieldsOfStudy":null,"isOpenAccess":false,"openAccessPdf":"https://www.ncbi.nlm.nih.gov/pmc/articles/PMC11334687/pdf/","citationCount":"0","resultStr":"{\"title\":\"Construction of prognostic nomogram based on the SEER database for esophageal cancer patients.\",\"authors\":\"Xiying Cao, Bingqun Wu, Shaoming Guo, Weixiang Zhong, Zuxiong Zhang, Hui Li\",\"doi\":\"10.1016/j.clinsp.2024.100433\",\"DOIUrl\":null,\"url\":null,\"abstract\":\"<p><p>Currently, the incidence of esophageal cancer continues to rise around the world. Because of its good early prognosis, it is of great significance to establish an effective model for predicting the survival of EC patients. The purpose of this study was to predict survival after diagnosis in Esophageal Cancer (EC) patients by constructing a valid clinical nomogram. In this study, 5037 EC patient samples diagnosed from 2010 to 2015 were screened by accessing the SEER database, and 8 independent prognostic factors were screened by various methods, and Cox multivariate regression was included to construct a prognostic model and nomogram for esophageal cancer. to estimate esophageal cancer recurrence and overall survival. Calibration of the nomogram predicted probabilities of 1-year, 3-year and 5-year survival probability, which were closely related to actual survival. In conclusion, this study validated that the column-line graphical model can be considered an individualized quantitative tool for predicting the prognosis of patients with EC in order to assist clinicians in making therapeutic decisions.</p>\",\"PeriodicalId\":10472,\"journal\":{\"name\":\"Clinics\",\"volume\":\"79 \",\"pages\":\"100433\"},\"PeriodicalIF\":2.4000,\"publicationDate\":\"2024-07-29\",\"publicationTypes\":\"Journal Article\",\"fieldsOfStudy\":null,\"isOpenAccess\":false,\"openAccessPdf\":\"https://www.ncbi.nlm.nih.gov/pmc/articles/PMC11334687/pdf/\",\"citationCount\":\"0\",\"resultStr\":null,\"platform\":\"Semanticscholar\",\"paperid\":null,\"PeriodicalName\":\"Clinics\",\"FirstCategoryId\":\"3\",\"ListUrlMain\":\"https://doi.org/10.1016/j.clinsp.2024.100433\",\"RegionNum\":4,\"RegionCategory\":\"医学\",\"ArticlePicture\":[],\"TitleCN\":null,\"AbstractTextCN\":null,\"PMCID\":null,\"EPubDate\":\"2024/1/1 0:00:00\",\"PubModel\":\"eCollection\",\"JCR\":\"Q2\",\"JCRName\":\"MEDICINE, GENERAL & INTERNAL\",\"Score\":null,\"Total\":0}","platform":"Semanticscholar","paperid":null,"PeriodicalName":"Clinics","FirstCategoryId":"3","ListUrlMain":"https://doi.org/10.1016/j.clinsp.2024.100433","RegionNum":4,"RegionCategory":"医学","ArticlePicture":[],"TitleCN":null,"AbstractTextCN":null,"PMCID":null,"EPubDate":"2024/1/1 0:00:00","PubModel":"eCollection","JCR":"Q2","JCRName":"MEDICINE, GENERAL & INTERNAL","Score":null,"Total":0}
引用次数: 0

摘要

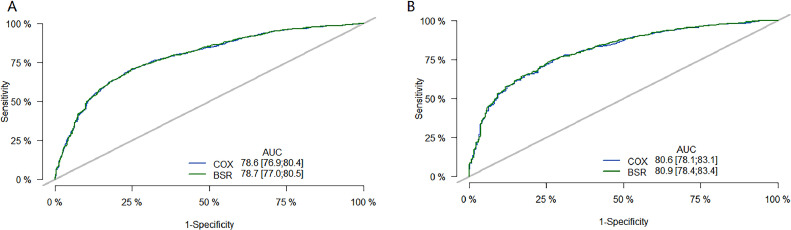
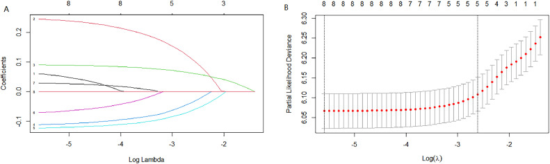
目前,食道癌的发病率在全球范围内持续上升。由于食管癌的早期预后良好,因此建立一个预测食管癌患者生存期的有效模型意义重大。本研究的目的是通过构建有效的临床提名图来预测食管癌患者确诊后的生存率。本研究通过访问SEER数据库,筛选出2010年至2015年确诊的5037例食管癌患者样本,并通过各种方法筛选出8个独立的预后因素,纳入Cox多元回归构建食管癌预后模型和提名图,以估算食管癌复发率和总生存率。标定的提名图预测了 1 年、3 年和 5 年的生存概率,这些概率与实际生存率密切相关。总之,本研究验证了柱状线图模型可被视为预测食管癌患者预后的个体化定量工具,以协助临床医生做出治疗决策。
本文章由计算机程序翻译,如有差异,请以英文原文为准。

Construction of prognostic nomogram based on the SEER database for esophageal cancer patients.

Construction of prognostic nomogram based on the SEER database for esophageal cancer patients.

Construction of prognostic nomogram based on the SEER database for esophageal cancer patients.

Construction of prognostic nomogram based on the SEER database for esophageal cancer patients.

Currently, the incidence of esophageal cancer continues to rise around the world. Because of its good early prognosis, it is of great significance to establish an effective model for predicting the survival of EC patients. The purpose of this study was to predict survival after diagnosis in Esophageal Cancer (EC) patients by constructing a valid clinical nomogram. In this study, 5037 EC patient samples diagnosed from 2010 to 2015 were screened by accessing the SEER database, and 8 independent prognostic factors were screened by various methods, and Cox multivariate regression was included to construct a prognostic model and nomogram for esophageal cancer. to estimate esophageal cancer recurrence and overall survival. Calibration of the nomogram predicted probabilities of 1-year, 3-year and 5-year survival probability, which were closely related to actual survival. In conclusion, this study validated that the column-line graphical model can be considered an individualized quantitative tool for predicting the prognosis of patients with EC in order to assist clinicians in making therapeutic decisions.

求助全文
通过发布文献求助,成功后即可免费获取论文全文。 去求助
来源期刊
Clinics
Clinics 医学-医学:内科
CiteScore
4.10
自引率
3.70%
发文量
129
审稿时长
52 days
期刊介绍: CLINICS is an electronic journal that publishes peer-reviewed articles in continuous flow, of interest to clinicians and researchers in the medical sciences. CLINICS complies with the policies of funding agencies which request or require deposition of the published articles that they fund into publicly available databases. CLINICS supports the position of the International Committee of Medical Journal Editors (ICMJE) on trial registration.
×
引用
GB/T 7714-2015
复制
MLA
复制
APA
复制
导出至
BibTeX EndNote RefMan NoteFirst NoteExpress
×
提示
您的信息不完整,为了账户安全,请先补充。
现在去补充
×
提示
您因"违规操作"
具体请查看互助需知
我知道了
×
提示
确定
请完成安全验证×
copy
已复制链接
快去分享给好友吧!
我知道了
右上角分享
点击右上角分享
0
联系我们:info@booksci.cn Book学术提供免费学术资源搜索服务,方便国内外学者检索中英文文献。致力于提供最便捷和优质的服务体验。 Copyright © 2023 布克学术 All rights reserved.
京ICP备2023020795号-1
ghs 京公网安备 11010802042870号
Book学术文献互助
Book学术文献互助群
群 号:604180095
Book学术官方微信