FFP2 诱导的呼吸阻力不会影响快走和爬楼梯时的新陈代谢和健康--随机对照试验。

IF 2.7 4区 医学 Q2 PUBLIC, ENVIRONMENTAL & OCCUPATIONAL HEALTH
Tobias Engeroff, Niclas Hartel, Daniel Niederer, Albert Nienhaus, David A Groneberg, Lutz Vogt
{"title":"FFP2 诱导的呼吸阻力不会影响快走和爬楼梯时的新陈代谢和健康--随机对照试验。","authors":"Tobias Engeroff, Niclas Hartel, Daniel Niederer, Albert Nienhaus, David A Groneberg, Lutz Vogt","doi":"10.1186/s12995-024-00428-3","DOIUrl":null,"url":null,"abstract":"<p><strong>Objectives: </strong>N95 or Type II filtering face pieces (FFP2) are often worn during work hours or on public transportation to prevent airborne infection. The aim of this randomized controlled crossover study is to assess the impact of FFP2 induced breathing resistance on pulmonary function, blood gas values and discomfort during walking and stair climbing.</p><p><strong>Methods: </strong>N = 16 healthy adults (24.8 ± 2.2 years; 10 females, ) participated. Interventions included (1) six minutes of walking in a 16-meter-long hallway (612 m) and (2) eight minutes of stair climbing in a two-story staircase (420 stairs), both with and without a FFP2 (> 48 h wash-out). Spiroergometric data (Ventilation, breathing frequency, tidal volume, oxygen uptake and carbon dioxide exhalation (primary outcome), end tidal carbon dioxide- and oxygen pressure) and self-reported response (Perceived exertion, dyspnoea and pain) were assessed during activities. Blood gas analysis (capillary carbon dioxide- (pCO<sub>2</sub>) (primary outcome) and oxygen partial pressure (pO<sub>2</sub>), pH, lactate and base excess) was measured immediately after cessation of activities. Manipulation effects (FFP2 versus no mask) were tested using repeated measures analyses of variance.</p><p><strong>Results: </strong>Analysis showed no effect of FFP2 on pCO<sub>2</sub> or other blood-gas parameters but on carbon dioxide exhalation during walking: (mean 1067, SD 209 ml/min) (mean 1908, SD 426 ml/min) (F(15) = 19.5; p < 0.001; η<sub>p</sub><sup>2</sup> = 0.566) compared to no mask wearing (mean 1237, SD 173 ml/min; mean 1908, SD 426 ml/min). Ventilation was decreased and dyspnoea was increased by FFP2 during activities. FFP2 led to lower oxygen uptake and lower end tidal oxygen but higher end tidal carbon dioxide during stair climbing.</p><p><strong>Conclusions: </strong>FFP2 decreased ventilation based on slower breathing patterns and led to limitations in pulmonary gas exchange and increased subjective dyspnoea. However, invasive diagnostics revealed no signs of clinically relevant metabolic effects immediately after everyday physical activities.</p>","PeriodicalId":48903,"journal":{"name":"Journal of Occupational Medicine and Toxicology","volume":"19 1","pages":"31"},"PeriodicalIF":2.7000,"publicationDate":"2024-07-29","publicationTypes":"Journal Article","fieldsOfStudy":null,"isOpenAccess":false,"openAccessPdf":"https://www.ncbi.nlm.nih.gov/pmc/articles/PMC11285407/pdf/","citationCount":"0","resultStr":"{\"title\":\"FFP2 induced breathing resistance does not affect metabolism and well-being during brisk walking and stair climbing - a randomized controlled trial.\",\"authors\":\"Tobias Engeroff, Niclas Hartel, Daniel Niederer, Albert Nienhaus, David A Groneberg, Lutz Vogt\",\"doi\":\"10.1186/s12995-024-00428-3\",\"DOIUrl\":null,\"url\":null,\"abstract\":\"<p><strong>Objectives: </strong>N95 or Type II filtering face pieces (FFP2) are often worn during work hours or on public transportation to prevent airborne infection. The aim of this randomized controlled crossover study is to assess the impact of FFP2 induced breathing resistance on pulmonary function, blood gas values and discomfort during walking and stair climbing.</p><p><strong>Methods: </strong>N = 16 healthy adults (24.8 ± 2.2 years; 10 females, ) participated. Interventions included (1) six minutes of walking in a 16-meter-long hallway (612 m) and (2) eight minutes of stair climbing in a two-story staircase (420 stairs), both with and without a FFP2 (> 48 h wash-out). Spiroergometric data (Ventilation, breathing frequency, tidal volume, oxygen uptake and carbon dioxide exhalation (primary outcome), end tidal carbon dioxide- and oxygen pressure) and self-reported response (Perceived exertion, dyspnoea and pain) were assessed during activities. Blood gas analysis (capillary carbon dioxide- (pCO<sub>2</sub>) (primary outcome) and oxygen partial pressure (pO<sub>2</sub>), pH, lactate and base excess) was measured immediately after cessation of activities. Manipulation effects (FFP2 versus no mask) were tested using repeated measures analyses of variance.</p><p><strong>Results: </strong>Analysis showed no effect of FFP2 on pCO<sub>2</sub> or other blood-gas parameters but on carbon dioxide exhalation during walking: (mean 1067, SD 209 ml/min) (mean 1908, SD 426 ml/min) (F(15) = 19.5; p < 0.001; η<sub>p</sub><sup>2</sup> = 0.566) compared to no mask wearing (mean 1237, SD 173 ml/min; mean 1908, SD 426 ml/min). Ventilation was decreased and dyspnoea was increased by FFP2 during activities. FFP2 led to lower oxygen uptake and lower end tidal oxygen but higher end tidal carbon dioxide during stair climbing.</p><p><strong>Conclusions: </strong>FFP2 decreased ventilation based on slower breathing patterns and led to limitations in pulmonary gas exchange and increased subjective dyspnoea. However, invasive diagnostics revealed no signs of clinically relevant metabolic effects immediately after everyday physical activities.</p>\",\"PeriodicalId\":48903,\"journal\":{\"name\":\"Journal of Occupational Medicine and Toxicology\",\"volume\":\"19 1\",\"pages\":\"31\"},\"PeriodicalIF\":2.7000,\"publicationDate\":\"2024-07-29\",\"publicationTypes\":\"Journal Article\",\"fieldsOfStudy\":null,\"isOpenAccess\":false,\"openAccessPdf\":\"https://www.ncbi.nlm.nih.gov/pmc/articles/PMC11285407/pdf/\",\"citationCount\":\"0\",\"resultStr\":null,\"platform\":\"Semanticscholar\",\"paperid\":null,\"PeriodicalName\":\"Journal of Occupational Medicine and Toxicology\",\"FirstCategoryId\":\"3\",\"ListUrlMain\":\"https://doi.org/10.1186/s12995-024-00428-3\",\"RegionNum\":4,\"RegionCategory\":\"医学\",\"ArticlePicture\":[],\"TitleCN\":null,\"AbstractTextCN\":null,\"PMCID\":null,\"EPubDate\":\"\",\"PubModel\":\"\",\"JCR\":\"Q2\",\"JCRName\":\"PUBLIC, ENVIRONMENTAL & OCCUPATIONAL HEALTH\",\"Score\":null,\"Total\":0}","platform":"Semanticscholar","paperid":null,"PeriodicalName":"Journal of Occupational Medicine and Toxicology","FirstCategoryId":"3","ListUrlMain":"https://doi.org/10.1186/s12995-024-00428-3","RegionNum":4,"RegionCategory":"医学","ArticlePicture":[],"TitleCN":null,"AbstractTextCN":null,"PMCID":null,"EPubDate":"","PubModel":"","JCR":"Q2","JCRName":"PUBLIC, ENVIRONMENTAL & OCCUPATIONAL HEALTH","Score":null,"Total":0}
引用次数: 0

摘要

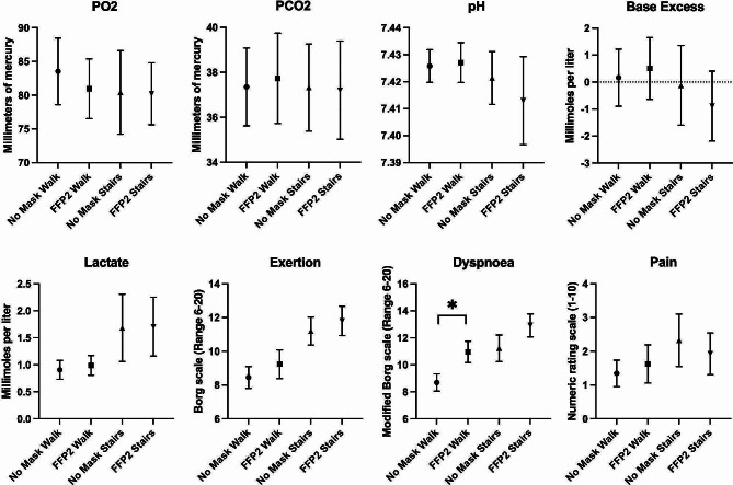
目标:N95 或 II 型过滤面罩(FFP2)通常在工作时间或乘坐公共交通工具时佩戴,以防止空气传播感染。本随机对照交叉研究旨在评估 FFP2 引起的呼吸阻力对肺功能、血气值以及步行和爬楼梯时的不适感的影响:方法:16 名健康成年人(24.8 ± 2.2 岁;10 名女性)参加了这项研究。干预措施包括:(1)在 16 米长的走廊(612 米)中步行 6 分钟;(2)在两层楼高的楼梯(420 梯级)中爬楼梯 8 分钟。在活动过程中,对螺旋计量数据(通气量、呼吸频率、潮气量、摄氧量和二氧化碳呼出量(主要结果)、潮气末二氧化碳和氧气压力)和自我报告反应(感觉用力、呼吸困难和疼痛)进行了评估。活动停止后立即测量血气分析(毛细血管二氧化碳(pCO2)(主要结果)和氧分压(pO2)、pH 值、乳酸和碱过量)。使用重复测量方差分析测试了操作效果(FFP2 与无面罩):结果:分析表明,与不戴口罩(平均 1237 毫升/分钟,标定值 173 毫升/分钟;平均 1908 毫升/分钟,标定值 426 毫升/分钟)相比,FFP2 对 pCO2 或其他血气参数没有影响,但对行走时二氧化碳呼出量有影响:(平均 1067 毫升/分钟,标定值 209 毫升/分钟)(平均 1908 毫升/分钟,标定值 426 毫升/分钟)(F(15) = 19.5;p p2 = 0.566)。在活动时,FFP2 可减少通气量,增加呼吸困难。在爬楼梯时,FFP2 导致较低的摄氧量和较低的潮气末氧气,但潮气末二氧化碳较高:结论:FFP2 在呼吸模式变慢的基础上降低了通气量,导致肺气体交换受限和主观呼吸困难加重。然而,侵入性诊断显示,在日常体力活动后,没有迹象表明新陈代谢立即受到临床相关影响。
本文章由计算机程序翻译,如有差异,请以英文原文为准。

FFP2 induced breathing resistance does not affect metabolism and well-being during brisk walking and stair climbing - a randomized controlled trial.

FFP2 induced breathing resistance does not affect metabolism and well-being during brisk walking and stair climbing - a randomized controlled trial.

FFP2 induced breathing resistance does not affect metabolism and well-being during brisk walking and stair climbing - a randomized controlled trial.

FFP2 induced breathing resistance does not affect metabolism and well-being during brisk walking and stair climbing - a randomized controlled trial.

Objectives: N95 or Type II filtering face pieces (FFP2) are often worn during work hours or on public transportation to prevent airborne infection. The aim of this randomized controlled crossover study is to assess the impact of FFP2 induced breathing resistance on pulmonary function, blood gas values and discomfort during walking and stair climbing.

Methods: N = 16 healthy adults (24.8 ± 2.2 years; 10 females, ) participated. Interventions included (1) six minutes of walking in a 16-meter-long hallway (612 m) and (2) eight minutes of stair climbing in a two-story staircase (420 stairs), both with and without a FFP2 (> 48 h wash-out). Spiroergometric data (Ventilation, breathing frequency, tidal volume, oxygen uptake and carbon dioxide exhalation (primary outcome), end tidal carbon dioxide- and oxygen pressure) and self-reported response (Perceived exertion, dyspnoea and pain) were assessed during activities. Blood gas analysis (capillary carbon dioxide- (pCO2) (primary outcome) and oxygen partial pressure (pO2), pH, lactate and base excess) was measured immediately after cessation of activities. Manipulation effects (FFP2 versus no mask) were tested using repeated measures analyses of variance.

Results: Analysis showed no effect of FFP2 on pCO2 or other blood-gas parameters but on carbon dioxide exhalation during walking: (mean 1067, SD 209 ml/min) (mean 1908, SD 426 ml/min) (F(15) = 19.5; p < 0.001; ηp2 = 0.566) compared to no mask wearing (mean 1237, SD 173 ml/min; mean 1908, SD 426 ml/min). Ventilation was decreased and dyspnoea was increased by FFP2 during activities. FFP2 led to lower oxygen uptake and lower end tidal oxygen but higher end tidal carbon dioxide during stair climbing.

Conclusions: FFP2 decreased ventilation based on slower breathing patterns and led to limitations in pulmonary gas exchange and increased subjective dyspnoea. However, invasive diagnostics revealed no signs of clinically relevant metabolic effects immediately after everyday physical activities.

求助全文
通过发布文献求助,成功后即可免费获取论文全文。 去求助
来源期刊
Journal of Occupational Medicine and Toxicology
Journal of Occupational Medicine and Toxicology PUBLIC, ENVIRONMENTAL & OCCUPATIONAL HEALTH-
CiteScore
6.00
自引率
0.00%
发文量
23
审稿时长
19 weeks
期刊介绍: Aimed at clinicians and researchers, the Journal of Occupational Medicine and Toxicology is a multi-disciplinary, open access journal which publishes original research on the clinical and scientific aspects of occupational and environmental health. With high-quality peer review and quick decision times, we welcome submissions on the diagnosis, prevention, management, and scientific analysis of occupational diseases, injuries, and disability. The journal also covers the promotion of health of workers, their families, and communities, and ranges from rehabilitation to tropical medicine and public health aspects.
×
引用
GB/T 7714-2015
复制
MLA
复制
APA
复制
导出至
BibTeX EndNote RefMan NoteFirst NoteExpress
×
提示
您的信息不完整,为了账户安全,请先补充。
现在去补充
×
提示
您因"违规操作"
具体请查看互助需知
我知道了
×
提示
确定
请完成安全验证×
copy
已复制链接
快去分享给好友吧!
我知道了
右上角分享
点击右上角分享
0
联系我们:info@booksci.cn Book学术提供免费学术资源搜索服务,方便国内外学者检索中英文文献。致力于提供最便捷和优质的服务体验。 Copyright © 2023 布克学术 All rights reserved.
京ICP备2023020795号-1
ghs 京公网安备 11010802042870号
Book学术文献互助
Book学术文献互助群
群 号:604180095
Book学术官方微信