1 型嗜睡症、2 型嗜睡症和特发性嗜睡症认知障碍的性质和程度:荟萃分析。

Brian T Harel, James J Gattuso, Robert D Latzman, Paul Maruff, Thomas E Scammell, Giuseppe Plazzi
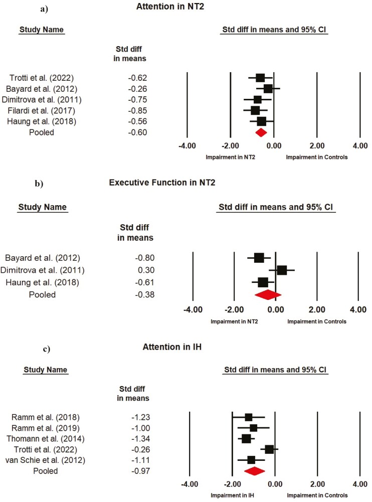
{"title":"1 型嗜睡症、2 型嗜睡症和特发性嗜睡症认知障碍的性质和程度:荟萃分析。","authors":"Brian T Harel, James J Gattuso, Robert D Latzman, Paul Maruff, Thomas E Scammell, Giuseppe Plazzi","doi":"10.1093/sleepadvances/zpae043","DOIUrl":null,"url":null,"abstract":"<p><p>People with narcolepsy type 1 (NT1), narcolepsy type 2 (NT2), and idiopathic hypersomnia (IH) often report cognitive impairment which can be quite burdensome but is rarely evaluated in routine clinical practice. In this systematic review and meta-analysis, we assessed the nature and magnitude of cognitive impairment in NT1, NT2, and IH in studies conducted from January 2000 to October 2022. We classified cognitive tests assessing memory, executive function, and attention by cognitive domain. Between-group differences were analyzed as standardized mean differences (Cohen's <i>d</i>), and Cohen's <i>d</i> for individual tests were integrated according to cognitive domain and clinical disease group. Eighty-seven studies were screened for inclusion; 39 satisfied inclusion criteria, yielding 73 comparisons (<i>k</i>): NT1, <i>k</i> = 60; NT2, <i>k</i> = 8; IH, <i>k</i> = 5. Attention showed large impairment in people with NT1 (<i>d</i> = -0.90) and IH (<i>d</i> = -0.97), and moderate impairment in NT2 (<i>d</i> = -0.60). Executive function was moderately impaired in NT1 (<i>d</i> = -0.30) and NT2 (<i>d</i> = -0.38), and memory showed small impairments in NT1 (<i>d</i> = -0.33). A secondary meta-analysis identified sustained attention as the most impaired domain in NT1, NT2, and IH (<i>d ≈</i> -0.5 to -1). These meta-analyses confirm that cognitive impairments are present in NT1, NT2, and IH, and provide quantitative confirmation of reports of cognitive difficulties made by patients and clinicians. These findings provide a basis for the future design of studies to determine whether cognitive impairments can improve with pharmacologic and nonpharmacologic treatments for narcolepsy and IH.</p>","PeriodicalId":74808,"journal":{"name":"Sleep advances : a journal of the Sleep Research Society","volume":"5 1","pages":"zpae043"},"PeriodicalIF":0.0000,"publicationDate":"2024-06-26","publicationTypes":"Journal Article","fieldsOfStudy":null,"isOpenAccess":false,"openAccessPdf":"https://www.ncbi.nlm.nih.gov/pmc/articles/PMC11258808/pdf/","citationCount":"0","resultStr":"{\"title\":\"The nature and magnitude of cognitive impairment in narcolepsy type 1, narcolepsy type 2, and idiopathic hypersomnia: a meta-analysis.\",\"authors\":\"Brian T Harel, James J Gattuso, Robert D Latzman, Paul Maruff, Thomas E Scammell, Giuseppe Plazzi\",\"doi\":\"10.1093/sleepadvances/zpae043\",\"DOIUrl\":null,\"url\":null,\"abstract\":\"<p><p>People with narcolepsy type 1 (NT1), narcolepsy type 2 (NT2), and idiopathic hypersomnia (IH) often report cognitive impairment which can be quite burdensome but is rarely evaluated in routine clinical practice. In this systematic review and meta-analysis, we assessed the nature and magnitude of cognitive impairment in NT1, NT2, and IH in studies conducted from January 2000 to October 2022. We classified cognitive tests assessing memory, executive function, and attention by cognitive domain. Between-group differences were analyzed as standardized mean differences (Cohen's <i>d</i>), and Cohen's <i>d</i> for individual tests were integrated according to cognitive domain and clinical disease group. Eighty-seven studies were screened for inclusion; 39 satisfied inclusion criteria, yielding 73 comparisons (<i>k</i>): NT1, <i>k</i> = 60; NT2, <i>k</i> = 8; IH, <i>k</i> = 5. Attention showed large impairment in people with NT1 (<i>d</i> = -0.90) and IH (<i>d</i> = -0.97), and moderate impairment in NT2 (<i>d</i> = -0.60). Executive function was moderately impaired in NT1 (<i>d</i> = -0.30) and NT2 (<i>d</i> = -0.38), and memory showed small impairments in NT1 (<i>d</i> = -0.33). A secondary meta-analysis identified sustained attention as the most impaired domain in NT1, NT2, and IH (<i>d ≈</i> -0.5 to -1). These meta-analyses confirm that cognitive impairments are present in NT1, NT2, and IH, and provide quantitative confirmation of reports of cognitive difficulties made by patients and clinicians. These findings provide a basis for the future design of studies to determine whether cognitive impairments can improve with pharmacologic and nonpharmacologic treatments for narcolepsy and IH.</p>\",\"PeriodicalId\":74808,\"journal\":{\"name\":\"Sleep advances : a journal of the Sleep Research Society\",\"volume\":\"5 1\",\"pages\":\"zpae043\"},\"PeriodicalIF\":0.0000,\"publicationDate\":\"2024-06-26\",\"publicationTypes\":\"Journal Article\",\"fieldsOfStudy\":null,\"isOpenAccess\":false,\"openAccessPdf\":\"https://www.ncbi.nlm.nih.gov/pmc/articles/PMC11258808/pdf/\",\"citationCount\":\"0\",\"resultStr\":null,\"platform\":\"Semanticscholar\",\"paperid\":null,\"PeriodicalName\":\"Sleep advances : a journal of the Sleep Research Society\",\"FirstCategoryId\":\"1085\",\"ListUrlMain\":\"https://doi.org/10.1093/sleepadvances/zpae043\",\"RegionNum\":0,\"RegionCategory\":null,\"ArticlePicture\":[],\"TitleCN\":null,\"AbstractTextCN\":null,\"PMCID\":null,\"EPubDate\":\"2024/1/1 0:00:00\",\"PubModel\":\"eCollection\",\"JCR\":\"\",\"JCRName\":\"\",\"Score\":null,\"Total\":0}","platform":"Semanticscholar","paperid":null,"PeriodicalName":"Sleep advances : a journal of the Sleep Research Society","FirstCategoryId":"1085","ListUrlMain":"https://doi.org/10.1093/sleepadvances/zpae043","RegionNum":0,"RegionCategory":null,"ArticlePicture":[],"TitleCN":null,"AbstractTextCN":null,"PMCID":null,"EPubDate":"2024/1/1 0:00:00","PubModel":"eCollection","JCR":"","JCRName":"","Score":null,"Total":0}
引用次数: 0

摘要

1 型嗜睡症(NT1)、2 型嗜睡症(NT2)和特发性嗜睡症(IH)患者经常报告认知功能受损,这可能会造成相当大的负担,但在常规临床实践中却很少进行评估。在这项系统回顾和荟萃分析中,我们评估了 2000 年 1 月至 2022 年 10 月期间进行的研究中,NT1、NT2 和 IH 患者认知功能障碍的性质和程度。我们按认知领域对评估记忆、执行功能和注意力的认知测试进行了分类。组间差异以标准化均值差异(Cohen's d)进行分析,单项测试的Cohen's d则根据认知领域和临床疾病组别进行整合。经筛选,有 87 项研究符合纳入标准,其中 39 项符合纳入标准,得出 73 项比较结果(k):NT1,k = 60;NT2,k = 8;IH,k = 5。NT1(d = -0.90)和IH(d = -0.97)患者的注意力受到严重损害,NT2(d = -0.60)患者的注意力受到中度损害。NT1(d = -0.30)和NT2(d = -0.38)患者的执行功能受到中度损害,NT1(d = -0.33)患者的记忆力受到轻微损害。二次荟萃分析发现,持续注意力是 NT1、NT2 和 IH 中受损最严重的领域(d ≈ -0.5 至 -1)。这些荟萃分析证实,NT1、NT2 和 IH 均存在认知障碍,并对患者和临床医生关于认知障碍的报告进行了量化确认。这些发现为今后设计研究以确定认知障碍是否能通过药物和非药物治疗改善嗜睡症和 IH 提供了依据。
本文章由计算机程序翻译,如有差异,请以英文原文为准。

The nature and magnitude of cognitive impairment in narcolepsy type 1, narcolepsy type 2, and idiopathic hypersomnia: a meta-analysis.

The nature and magnitude of cognitive impairment in narcolepsy type 1, narcolepsy type 2, and idiopathic hypersomnia: a meta-analysis.

The nature and magnitude of cognitive impairment in narcolepsy type 1, narcolepsy type 2, and idiopathic hypersomnia: a meta-analysis.

The nature and magnitude of cognitive impairment in narcolepsy type 1, narcolepsy type 2, and idiopathic hypersomnia: a meta-analysis.

People with narcolepsy type 1 (NT1), narcolepsy type 2 (NT2), and idiopathic hypersomnia (IH) often report cognitive impairment which can be quite burdensome but is rarely evaluated in routine clinical practice. In this systematic review and meta-analysis, we assessed the nature and magnitude of cognitive impairment in NT1, NT2, and IH in studies conducted from January 2000 to October 2022. We classified cognitive tests assessing memory, executive function, and attention by cognitive domain. Between-group differences were analyzed as standardized mean differences (Cohen's d), and Cohen's d for individual tests were integrated according to cognitive domain and clinical disease group. Eighty-seven studies were screened for inclusion; 39 satisfied inclusion criteria, yielding 73 comparisons (k): NT1, k = 60; NT2, k = 8; IH, k = 5. Attention showed large impairment in people with NT1 (d = -0.90) and IH (d = -0.97), and moderate impairment in NT2 (d = -0.60). Executive function was moderately impaired in NT1 (d = -0.30) and NT2 (d = -0.38), and memory showed small impairments in NT1 (d = -0.33). A secondary meta-analysis identified sustained attention as the most impaired domain in NT1, NT2, and IH (d ≈ -0.5 to -1). These meta-analyses confirm that cognitive impairments are present in NT1, NT2, and IH, and provide quantitative confirmation of reports of cognitive difficulties made by patients and clinicians. These findings provide a basis for the future design of studies to determine whether cognitive impairments can improve with pharmacologic and nonpharmacologic treatments for narcolepsy and IH.

求助全文
通过发布文献求助,成功后即可免费获取论文全文。 去求助
来源期刊
CiteScore
2.10
自引率
0.00%
发文量
0
×
引用
GB/T 7714-2015
复制
MLA
复制
APA
复制
导出至
BibTeX EndNote RefMan NoteFirst NoteExpress
×
提示
您的信息不完整,为了账户安全,请先补充。
现在去补充
×
提示
您因"违规操作"
具体请查看互助需知
我知道了
×
提示
确定
请完成安全验证×
copy
已复制链接
快去分享给好友吧!
我知道了
右上角分享
点击右上角分享
0
联系我们:info@booksci.cn Book学术提供免费学术资源搜索服务,方便国内外学者检索中英文文献。致力于提供最便捷和优质的服务体验。 Copyright © 2023 布克学术 All rights reserved.
京ICP备2023020795号-1
ghs 京公网安备 11010802042870号
Book学术文献互助
Book学术文献互助群
群 号:604180095
Book学术官方微信