评估在吞咽过程中暴露于正位像(OPG)的甲状腺的吸收剂量变化:辐射防护的新方法。

Q3 Medicine
Hassan Vafapour, Zaker Salehi PhD
{"title":"评估在吞咽过程中暴露于正位像(OPG)的甲状腺的吸收剂量变化:辐射防护的新方法。","authors":"Hassan Vafapour, Zaker Salehi PhD","doi":"10.31661/jbpe.v0i0.2305-1622","DOIUrl":null,"url":null,"abstract":"<p><strong>Background: </strong>The reliance on specialized diagnostic techniques is on the rise across various medical fields, including dentistry. While orthopantomogram (OPG), offers many advantages in terms of dental diagnosis, it also poses potential risks to sensitive organs, notably the thyroid gland.</p><p><strong>Objective: </strong>This study aimed to evaluate the fluctuations in the absorbed dose within the thyroid gland during swallowing while undergoing an OPG procedure.</p><p><strong>Material and methods: </strong>In this computational simulation study, the BEAMnrc Monte Carlo code was employed to model an OPG machine, using 700 million particles across the energy range of 60-75 keV, which is standard for OPG procedures. The Monte Carlo (MC) model was cross-verified by comparing the derived spectra with those in the IPEM Report 78. A head and neck phantom was constructed using CT scan images with a slice thickness of 5 mm. This phantom underwent simulated beam exposure under two conditions: pre-swallow and post-swallow. Subsequently, the percentage depth dose was measured and contrasted across different depths.</p><p><strong>Results: </strong>After swallowing, there was an increase in the absorbed dose across all three regions of the thyroid (right, left, and center). Notably, regions near the hyoid bone exhibited a particularly significant increase in dose. In certain areas, the absorbed dose even tripled when compared to the pre-swallowing state.</p><p><strong>Conclusion: </strong>The findings indicate that during OPG imaging, swallowing can lead to an increased radiation dose to the thyroid gland. Given the thyroid's heightened sensitivity to radiation, such an increase in dosage is noteworthy.</p>","PeriodicalId":38035,"journal":{"name":"Journal of Biomedical Physics and Engineering","volume":"14 3","pages":"267-274"},"PeriodicalIF":0.0000,"publicationDate":"2024-06-01","publicationTypes":"Journal Article","fieldsOfStudy":null,"isOpenAccess":false,"openAccessPdf":"https://www.ncbi.nlm.nih.gov/pmc/articles/PMC11252551/pdf/","citationCount":"0","resultStr":"{\"title\":\"Assessment of the Absorbed Dose Variations in the Thyroid Gland Exposed to Orthopantomography (OPG) while Swallowing: A Novel Approach to Radiation Protection.\",\"authors\":\"Hassan Vafapour, Zaker Salehi PhD\",\"doi\":\"10.31661/jbpe.v0i0.2305-1622\",\"DOIUrl\":null,\"url\":null,\"abstract\":\"<p><strong>Background: </strong>The reliance on specialized diagnostic techniques is on the rise across various medical fields, including dentistry. While orthopantomogram (OPG), offers many advantages in terms of dental diagnosis, it also poses potential risks to sensitive organs, notably the thyroid gland.</p><p><strong>Objective: </strong>This study aimed to evaluate the fluctuations in the absorbed dose within the thyroid gland during swallowing while undergoing an OPG procedure.</p><p><strong>Material and methods: </strong>In this computational simulation study, the BEAMnrc Monte Carlo code was employed to model an OPG machine, using 700 million particles across the energy range of 60-75 keV, which is standard for OPG procedures. The Monte Carlo (MC) model was cross-verified by comparing the derived spectra with those in the IPEM Report 78. A head and neck phantom was constructed using CT scan images with a slice thickness of 5 mm. This phantom underwent simulated beam exposure under two conditions: pre-swallow and post-swallow. Subsequently, the percentage depth dose was measured and contrasted across different depths.</p><p><strong>Results: </strong>After swallowing, there was an increase in the absorbed dose across all three regions of the thyroid (right, left, and center). Notably, regions near the hyoid bone exhibited a particularly significant increase in dose. In certain areas, the absorbed dose even tripled when compared to the pre-swallowing state.</p><p><strong>Conclusion: </strong>The findings indicate that during OPG imaging, swallowing can lead to an increased radiation dose to the thyroid gland. Given the thyroid's heightened sensitivity to radiation, such an increase in dosage is noteworthy.</p>\",\"PeriodicalId\":38035,\"journal\":{\"name\":\"Journal of Biomedical Physics and Engineering\",\"volume\":\"14 3\",\"pages\":\"267-274\"},\"PeriodicalIF\":0.0000,\"publicationDate\":\"2024-06-01\",\"publicationTypes\":\"Journal Article\",\"fieldsOfStudy\":null,\"isOpenAccess\":false,\"openAccessPdf\":\"https://www.ncbi.nlm.nih.gov/pmc/articles/PMC11252551/pdf/\",\"citationCount\":\"0\",\"resultStr\":null,\"platform\":\"Semanticscholar\",\"paperid\":null,\"PeriodicalName\":\"Journal of Biomedical Physics and Engineering\",\"FirstCategoryId\":\"1085\",\"ListUrlMain\":\"https://doi.org/10.31661/jbpe.v0i0.2305-1622\",\"RegionNum\":0,\"RegionCategory\":null,\"ArticlePicture\":[],\"TitleCN\":null,\"AbstractTextCN\":null,\"PMCID\":null,\"EPubDate\":\"\",\"PubModel\":\"\",\"JCR\":\"Q3\",\"JCRName\":\"Medicine\",\"Score\":null,\"Total\":0}","platform":"Semanticscholar","paperid":null,"PeriodicalName":"Journal of Biomedical Physics and Engineering","FirstCategoryId":"1085","ListUrlMain":"https://doi.org/10.31661/jbpe.v0i0.2305-1622","RegionNum":0,"RegionCategory":null,"ArticlePicture":[],"TitleCN":null,"AbstractTextCN":null,"PMCID":null,"EPubDate":"","PubModel":"","JCR":"Q3","JCRName":"Medicine","Score":null,"Total":0}
引用次数: 0

摘要

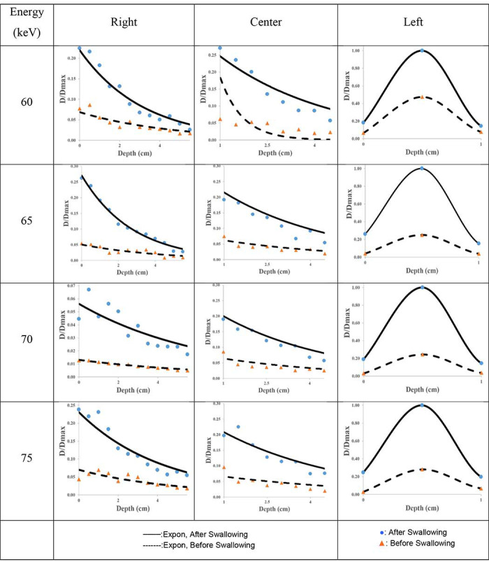
背景:在包括牙科在内的各个医疗领域,对专业诊断技术的依赖都在增加。虽然正侧位X线造影(OPG)在牙科诊断方面具有很多优势,但它也对敏感器官,尤其是甲状腺构成潜在风险:本研究旨在评估接受 OPG 过程中吞咽时甲状腺内吸收剂量的波动:在这项计算模拟研究中,采用了 BEAMnrc 蒙特卡洛代码来模拟 OPG 机器,在 60-75 keV 的能量范围内使用了 7 亿个粒子,这是 OPG 手术的标准能量范围。通过比较得出的光谱和 IPEM 第 78 号报告中的光谱,对蒙特卡罗(MC)模型进行了交叉验证。利用切片厚度为 5 毫米的 CT 扫描图像构建了一个头颈部模型。该模型在吞咽前和吞咽后两种条件下进行了模拟光束照射。随后,对不同深度的剂量百分比进行测量和对比:结果:吞咽后,甲状腺所有三个区域(右侧、左侧和中央)的吸收剂量都有所增加。值得注意的是,舌骨附近区域的剂量增加尤为明显。与吞咽前的状态相比,某些区域的吸收剂量甚至增加了两倍:结论:研究结果表明,在进行 OPG 成像时,吞咽会导致甲状腺的辐射剂量增加。鉴于甲状腺对辐射的高度敏感性,这种剂量的增加值得注意。
本文章由计算机程序翻译,如有差异,请以英文原文为准。

Assessment of the Absorbed Dose Variations in the Thyroid Gland Exposed to Orthopantomography (OPG) while Swallowing: A Novel Approach to Radiation Protection.

Assessment of the Absorbed Dose Variations in the Thyroid Gland Exposed to Orthopantomography (OPG) while Swallowing: A Novel Approach to Radiation Protection.

Assessment of the Absorbed Dose Variations in the Thyroid Gland Exposed to Orthopantomography (OPG) while Swallowing: A Novel Approach to Radiation Protection.

Assessment of the Absorbed Dose Variations in the Thyroid Gland Exposed to Orthopantomography (OPG) while Swallowing: A Novel Approach to Radiation Protection.

Background: The reliance on specialized diagnostic techniques is on the rise across various medical fields, including dentistry. While orthopantomogram (OPG), offers many advantages in terms of dental diagnosis, it also poses potential risks to sensitive organs, notably the thyroid gland.

Objective: This study aimed to evaluate the fluctuations in the absorbed dose within the thyroid gland during swallowing while undergoing an OPG procedure.

Material and methods: In this computational simulation study, the BEAMnrc Monte Carlo code was employed to model an OPG machine, using 700 million particles across the energy range of 60-75 keV, which is standard for OPG procedures. The Monte Carlo (MC) model was cross-verified by comparing the derived spectra with those in the IPEM Report 78. A head and neck phantom was constructed using CT scan images with a slice thickness of 5 mm. This phantom underwent simulated beam exposure under two conditions: pre-swallow and post-swallow. Subsequently, the percentage depth dose was measured and contrasted across different depths.

Results: After swallowing, there was an increase in the absorbed dose across all three regions of the thyroid (right, left, and center). Notably, regions near the hyoid bone exhibited a particularly significant increase in dose. In certain areas, the absorbed dose even tripled when compared to the pre-swallowing state.

Conclusion: The findings indicate that during OPG imaging, swallowing can lead to an increased radiation dose to the thyroid gland. Given the thyroid's heightened sensitivity to radiation, such an increase in dosage is noteworthy.

求助全文
通过发布文献求助,成功后即可免费获取论文全文。 去求助
来源期刊
Journal of Biomedical Physics and Engineering
Journal of Biomedical Physics and Engineering Medicine-Radiology, Nuclear Medicine and Imaging
CiteScore
2.90
自引率
0.00%
发文量
64
审稿时长
10 weeks
期刊介绍: The Journal of Biomedical Physics and Engineering (JBPE) is a bimonthly peer-reviewed English-language journal that publishes high-quality basic sciences and clinical research (experimental or theoretical) broadly concerned with the relationship of physics to medicine and engineering.
×
引用
GB/T 7714-2015
复制
MLA
复制
APA
复制
导出至
BibTeX EndNote RefMan NoteFirst NoteExpress
×
提示
您的信息不完整,为了账户安全,请先补充。
现在去补充
×
提示
您因"违规操作"
具体请查看互助需知
我知道了
×
提示
确定
请完成安全验证×
copy
已复制链接
快去分享给好友吧!
我知道了
右上角分享
点击右上角分享
0
联系我们:info@booksci.cn Book学术提供免费学术资源搜索服务,方便国内外学者检索中英文文献。致力于提供最便捷和优质的服务体验。 Copyright © 2023 布克学术 All rights reserved.
京ICP备2023020795号-1
ghs 京公网安备 11010802042870号
Book学术文献互助
Book学术文献互助群
群 号:604180095
Book学术官方微信