艾曲波帕治疗环孢素A难治性/复发性输血依赖性非重型再生障碍性贫血患者的长期随访:来自中国一家中心的报告。

IF 1.1 4区 医学 Q3 HEMATOLOGY
Acta Haematologica Pub Date : 2025-01-01 Epub Date: 2024-07-17 DOI:10.1159/000539905
Qinglin Hu, Yuan Yang, Chen Yang, Miao Chen, Bing Han
{"title":"艾曲波帕治疗环孢素A难治性/复发性输血依赖性非重型再生障碍性贫血患者的长期随访:来自中国一家中心的报告。","authors":"Qinglin Hu, Yuan Yang, Chen Yang, Miao Chen, Bing Han","doi":"10.1159/000539905","DOIUrl":null,"url":null,"abstract":"<p><strong>Introduction: </strong>Aplastic anemia (AA) is characterized by bone marrow failure and cytopenia. Eltrombopag (ELT) is effective and safe for treating refractory/relapsed AA; however, reports on the long-term outcomes of transfusion-dependent non-severe AA (TD-NSAA) are limited.</p><p><strong>Methods: </strong>Patients with TD-NSAA refractory to immunosuppressive therapy (IST) or relapsed after IST, treated with ELT alone, and followed up for at least 12 months were retrospectively enrolled. The baseline characteristics of patients, efficacy and adverse effects of ELT, and relapse and clone evolution rates after ELT were documented.</p><p><strong>Results: </strong>Of the 55 patients with TD-NSAA included, 24 (43.6%) were men. Median age at diagnosis was 46 (19-80) years. Twenty-four patients had relapsed TD-NSAA, and 31 patients had refractory TD-NSAA. During the median follow-up period of 28 (12-48) months, the overall and complete response rates at 3, 6, and 12 months of ELT treatment were 38.2, 60.0, and 52.7 and 9.1, 14.6, and 9.1%, respectively. After a median follow-up of 28 (12-48) months, 21.2% (7/33) of patients experienced relapse, with a median duration from ELT treatment to relapse of 14 (6-45) months.</p><p><strong>Conclusion: </strong>ELT was effective in patients with relapsed/refractory TD-NSAA, with tolerable adverse effects.</p>","PeriodicalId":6981,"journal":{"name":"Acta Haematologica","volume":" ","pages":"352-361"},"PeriodicalIF":1.1000,"publicationDate":"2025-01-01","publicationTypes":"Journal Article","fieldsOfStudy":null,"isOpenAccess":false,"openAccessPdf":"https://www.ncbi.nlm.nih.gov/pmc/articles/PMC12112894/pdf/","citationCount":"0","resultStr":"{\"title\":\"Long-Term Follow-Up of Eltrombopag Treatment for Patients with Cyclosporin A Refractory/Relapsed Transfusion-Dependent Non-Severe Aplastic Anemia: A Report from a Single Center in China.\",\"authors\":\"Qinglin Hu, Yuan Yang, Chen Yang, Miao Chen, Bing Han\",\"doi\":\"10.1159/000539905\",\"DOIUrl\":null,\"url\":null,\"abstract\":\"<p><strong>Introduction: </strong>Aplastic anemia (AA) is characterized by bone marrow failure and cytopenia. Eltrombopag (ELT) is effective and safe for treating refractory/relapsed AA; however, reports on the long-term outcomes of transfusion-dependent non-severe AA (TD-NSAA) are limited.</p><p><strong>Methods: </strong>Patients with TD-NSAA refractory to immunosuppressive therapy (IST) or relapsed after IST, treated with ELT alone, and followed up for at least 12 months were retrospectively enrolled. The baseline characteristics of patients, efficacy and adverse effects of ELT, and relapse and clone evolution rates after ELT were documented.</p><p><strong>Results: </strong>Of the 55 patients with TD-NSAA included, 24 (43.6%) were men. Median age at diagnosis was 46 (19-80) years. Twenty-four patients had relapsed TD-NSAA, and 31 patients had refractory TD-NSAA. During the median follow-up period of 28 (12-48) months, the overall and complete response rates at 3, 6, and 12 months of ELT treatment were 38.2, 60.0, and 52.7 and 9.1, 14.6, and 9.1%, respectively. After a median follow-up of 28 (12-48) months, 21.2% (7/33) of patients experienced relapse, with a median duration from ELT treatment to relapse of 14 (6-45) months.</p><p><strong>Conclusion: </strong>ELT was effective in patients with relapsed/refractory TD-NSAA, with tolerable adverse effects.</p>\",\"PeriodicalId\":6981,\"journal\":{\"name\":\"Acta Haematologica\",\"volume\":\" \",\"pages\":\"352-361\"},\"PeriodicalIF\":1.1000,\"publicationDate\":\"2025-01-01\",\"publicationTypes\":\"Journal Article\",\"fieldsOfStudy\":null,\"isOpenAccess\":false,\"openAccessPdf\":\"https://www.ncbi.nlm.nih.gov/pmc/articles/PMC12112894/pdf/\",\"citationCount\":\"0\",\"resultStr\":null,\"platform\":\"Semanticscholar\",\"paperid\":null,\"PeriodicalName\":\"Acta Haematologica\",\"FirstCategoryId\":\"3\",\"ListUrlMain\":\"https://doi.org/10.1159/000539905\",\"RegionNum\":4,\"RegionCategory\":\"医学\",\"ArticlePicture\":[],\"TitleCN\":null,\"AbstractTextCN\":null,\"PMCID\":null,\"EPubDate\":\"2024/7/17 0:00:00\",\"PubModel\":\"Epub\",\"JCR\":\"Q3\",\"JCRName\":\"HEMATOLOGY\",\"Score\":null,\"Total\":0}","platform":"Semanticscholar","paperid":null,"PeriodicalName":"Acta Haematologica","FirstCategoryId":"3","ListUrlMain":"https://doi.org/10.1159/000539905","RegionNum":4,"RegionCategory":"医学","ArticlePicture":[],"TitleCN":null,"AbstractTextCN":null,"PMCID":null,"EPubDate":"2024/7/17 0:00:00","PubModel":"Epub","JCR":"Q3","JCRName":"HEMATOLOGY","Score":null,"Total":0}
引用次数: 0

摘要

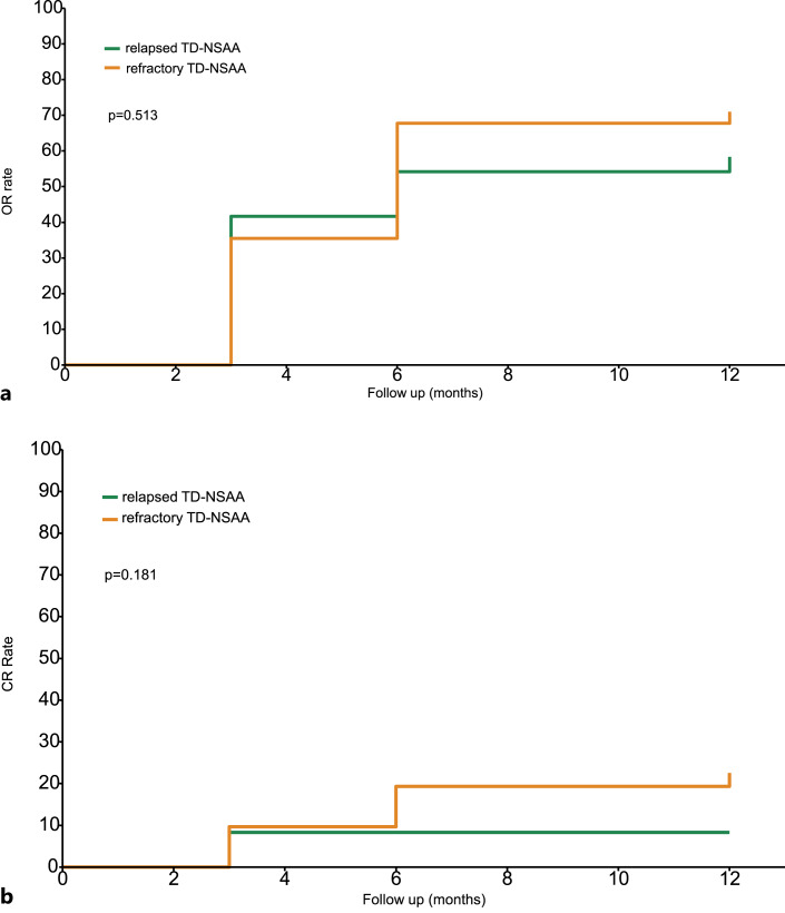
简介:再生障碍性贫血(AA)以骨髓衰竭和全血细胞减少为特征:再生障碍性贫血(AA)的特征是骨髓衰竭和全血细胞减少。艾曲波帕(ELT)治疗难治性/复发性再生障碍性贫血既有效又安全;然而,有关输血依赖性非重度再生障碍性贫血(TD-NSAA)长期疗效的报道却很有限:方法:回顾性入选了免疫抑制疗法(IST)难治或IST后复发的TD-NSAA患者,这些患者仅接受了ELT治疗,并随访了至少12个月。记录了患者的基线特征、ELT的疗效和不良反应、ELT后的复发率和克隆演变率:在纳入的55例TD-NSAA患者中,24例(43.6%)为男性。诊断时的中位年龄为46(19-80)岁。24名患者的TD-NSAA复发,31名患者的TD-NSAA难治。中位随访期为28(12-48)个月,ELT治疗3、6和12个月时的总体反应率和完全反应率分别为38.2%、60.0%和52.7%,以及9.1%、14.6%和9.1%。中位随访28(12-48)个月后,21.2%(7/33)的患者复发,从ELT治疗到复发的中位时间为14(6-45)个月:结论:ELT对复发/难治性TD-NSAA患者有效,不良反应可耐受。
本文章由计算机程序翻译,如有差异,请以英文原文为准。

Long-Term Follow-Up of Eltrombopag Treatment for Patients with Cyclosporin A Refractory/Relapsed Transfusion-Dependent Non-Severe Aplastic Anemia: A Report from a Single Center in China.

Long-Term Follow-Up of Eltrombopag Treatment for Patients with Cyclosporin A Refractory/Relapsed Transfusion-Dependent Non-Severe Aplastic Anemia: A Report from a Single Center in China.

Long-Term Follow-Up of Eltrombopag Treatment for Patients with Cyclosporin A Refractory/Relapsed Transfusion-Dependent Non-Severe Aplastic Anemia: A Report from a Single Center in China.

Long-Term Follow-Up of Eltrombopag Treatment for Patients with Cyclosporin A Refractory/Relapsed Transfusion-Dependent Non-Severe Aplastic Anemia: A Report from a Single Center in China.

Introduction: Aplastic anemia (AA) is characterized by bone marrow failure and cytopenia. Eltrombopag (ELT) is effective and safe for treating refractory/relapsed AA; however, reports on the long-term outcomes of transfusion-dependent non-severe AA (TD-NSAA) are limited.

Methods: Patients with TD-NSAA refractory to immunosuppressive therapy (IST) or relapsed after IST, treated with ELT alone, and followed up for at least 12 months were retrospectively enrolled. The baseline characteristics of patients, efficacy and adverse effects of ELT, and relapse and clone evolution rates after ELT were documented.

Results: Of the 55 patients with TD-NSAA included, 24 (43.6%) were men. Median age at diagnosis was 46 (19-80) years. Twenty-four patients had relapsed TD-NSAA, and 31 patients had refractory TD-NSAA. During the median follow-up period of 28 (12-48) months, the overall and complete response rates at 3, 6, and 12 months of ELT treatment were 38.2, 60.0, and 52.7 and 9.1, 14.6, and 9.1%, respectively. After a median follow-up of 28 (12-48) months, 21.2% (7/33) of patients experienced relapse, with a median duration from ELT treatment to relapse of 14 (6-45) months.

Conclusion: ELT was effective in patients with relapsed/refractory TD-NSAA, with tolerable adverse effects.

求助全文
通过发布文献求助,成功后即可免费获取论文全文。 去求助
来源期刊
Acta Haematologica
Acta Haematologica 医学-血液学
CiteScore
4.90
自引率
0.00%
发文量
61
审稿时长
6-12 weeks
期刊介绍: ''Acta Haematologica'' is a well-established and internationally recognized clinically-oriented journal featuring balanced, wide-ranging coverage of current hematology research. A wealth of information on such problems as anemia, leukemia, lymphoma, multiple myeloma, hereditary disorders, blood coagulation, growth factors, hematopoiesis and differentiation is contained in first-rate basic and clinical papers some of which are accompanied by editorial comments by eminent experts. These are supplemented by short state-of-the-art communications, reviews and correspondence as well as occasional special issues devoted to ‘hot topics’ in hematology. These will keep the practicing hematologist well informed of the new developments in the field.
×
引用
GB/T 7714-2015
复制
MLA
复制
APA
复制
导出至
BibTeX EndNote RefMan NoteFirst NoteExpress
×
提示
您的信息不完整,为了账户安全,请先补充。
现在去补充
×
提示
您因"违规操作"
具体请查看互助需知
我知道了
×
提示
确定
请完成安全验证×
copy
已复制链接
快去分享给好友吧!
我知道了
右上角分享
点击右上角分享
0
联系我们:info@booksci.cn Book学术提供免费学术资源搜索服务,方便国内外学者检索中英文文献。致力于提供最便捷和优质的服务体验。 Copyright © 2023 布克学术 All rights reserved.
京ICP备2023020795号-1
ghs 京公网安备 11010802042870号
Book学术文献互助
Book学术文献互助群
群 号:604180095
Book学术官方微信