表征胃癌的肿瘤微环境及其与 cDC1 相关基因表达的关系

IF 3.6 3区 医学 Q2 IMMUNOLOGY
Journal of Immunology Research Pub Date : 2024-07-09 eCollection Date: 2024-01-01 DOI:10.1155/2024/4468145
Song-Hee Han, Mi Ha Ju
{"title":"表征胃癌的肿瘤微环境及其与 cDC1 相关基因表达的关系","authors":"Song-Hee Han, Mi Ha Ju","doi":"10.1155/2024/4468145","DOIUrl":null,"url":null,"abstract":"<p><strong>Materials and methods: </strong>We analyzed RNA-seq data from the Cancer Genome Atlas (TCGA-STAD) and Gene Expression Omnibus (GEO) datasets, focusing on five cDC1-related genes. The cDC1-related signature was defined and divided into high and low expression groups. We employed gene set variation analysis (GSVA) for oncogenic signaling pathways and conducted comprehensive statistical analyses, including Kaplan-Meier and Cox proportional hazards models.</p><p><strong>Results: </strong>The high cDC1-related gene signature group was associated with poorer overall and disease-free survival in the TCGA-STAD cohort. Significant differences in CD8+ T cell infiltration and cytotoxic capabilities were observed between high and low CDC1-related signature groups. The study also revealed a strong correlation between CDC1-related signature and increased expression of immune checkpoint proteins and oncogenic pathways, suggesting a complex immunosuppressive tumor microenvironment.</p><p><strong>Conclusions: </strong>Our findings indicate the potential of the cDC1-related signature as a prognostic marker in GC, offering insights into the tumor-immune interplay. The study underscores the importance of cDC1s in shaping the tumor microenvironment and their influence on patient prognosis in GC. These results may contribute to the development of novel therapeutic strategies targeting the immune microenvironment in GC.</p>","PeriodicalId":15952,"journal":{"name":"Journal of Immunology Research","volume":"2024 ","pages":"4468145"},"PeriodicalIF":3.6000,"publicationDate":"2024-07-09","publicationTypes":"Journal Article","fieldsOfStudy":null,"isOpenAccess":false,"openAccessPdf":"https://www.ncbi.nlm.nih.gov/pmc/articles/PMC11251796/pdf/","citationCount":"0","resultStr":"{\"title\":\"Characterizing the Tumor Microenvironment and Its Correlation with cDC1-Related Gene Expression in Gastric Cancer.\",\"authors\":\"Song-Hee Han, Mi Ha Ju\",\"doi\":\"10.1155/2024/4468145\",\"DOIUrl\":null,\"url\":null,\"abstract\":\"<p><strong>Materials and methods: </strong>We analyzed RNA-seq data from the Cancer Genome Atlas (TCGA-STAD) and Gene Expression Omnibus (GEO) datasets, focusing on five cDC1-related genes. The cDC1-related signature was defined and divided into high and low expression groups. We employed gene set variation analysis (GSVA) for oncogenic signaling pathways and conducted comprehensive statistical analyses, including Kaplan-Meier and Cox proportional hazards models.</p><p><strong>Results: </strong>The high cDC1-related gene signature group was associated with poorer overall and disease-free survival in the TCGA-STAD cohort. Significant differences in CD8+ T cell infiltration and cytotoxic capabilities were observed between high and low CDC1-related signature groups. The study also revealed a strong correlation between CDC1-related signature and increased expression of immune checkpoint proteins and oncogenic pathways, suggesting a complex immunosuppressive tumor microenvironment.</p><p><strong>Conclusions: </strong>Our findings indicate the potential of the cDC1-related signature as a prognostic marker in GC, offering insights into the tumor-immune interplay. The study underscores the importance of cDC1s in shaping the tumor microenvironment and their influence on patient prognosis in GC. These results may contribute to the development of novel therapeutic strategies targeting the immune microenvironment in GC.</p>\",\"PeriodicalId\":15952,\"journal\":{\"name\":\"Journal of Immunology Research\",\"volume\":\"2024 \",\"pages\":\"4468145\"},\"PeriodicalIF\":3.6000,\"publicationDate\":\"2024-07-09\",\"publicationTypes\":\"Journal Article\",\"fieldsOfStudy\":null,\"isOpenAccess\":false,\"openAccessPdf\":\"https://www.ncbi.nlm.nih.gov/pmc/articles/PMC11251796/pdf/\",\"citationCount\":\"0\",\"resultStr\":null,\"platform\":\"Semanticscholar\",\"paperid\":null,\"PeriodicalName\":\"Journal of Immunology Research\",\"FirstCategoryId\":\"3\",\"ListUrlMain\":\"https://doi.org/10.1155/2024/4468145\",\"RegionNum\":3,\"RegionCategory\":\"医学\",\"ArticlePicture\":[],\"TitleCN\":null,\"AbstractTextCN\":null,\"PMCID\":null,\"EPubDate\":\"2024/1/1 0:00:00\",\"PubModel\":\"eCollection\",\"JCR\":\"Q2\",\"JCRName\":\"IMMUNOLOGY\",\"Score\":null,\"Total\":0}","platform":"Semanticscholar","paperid":null,"PeriodicalName":"Journal of Immunology Research","FirstCategoryId":"3","ListUrlMain":"https://doi.org/10.1155/2024/4468145","RegionNum":3,"RegionCategory":"医学","ArticlePicture":[],"TitleCN":null,"AbstractTextCN":null,"PMCID":null,"EPubDate":"2024/1/1 0:00:00","PubModel":"eCollection","JCR":"Q2","JCRName":"IMMUNOLOGY","Score":null,"Total":0}
引用次数: 0

摘要

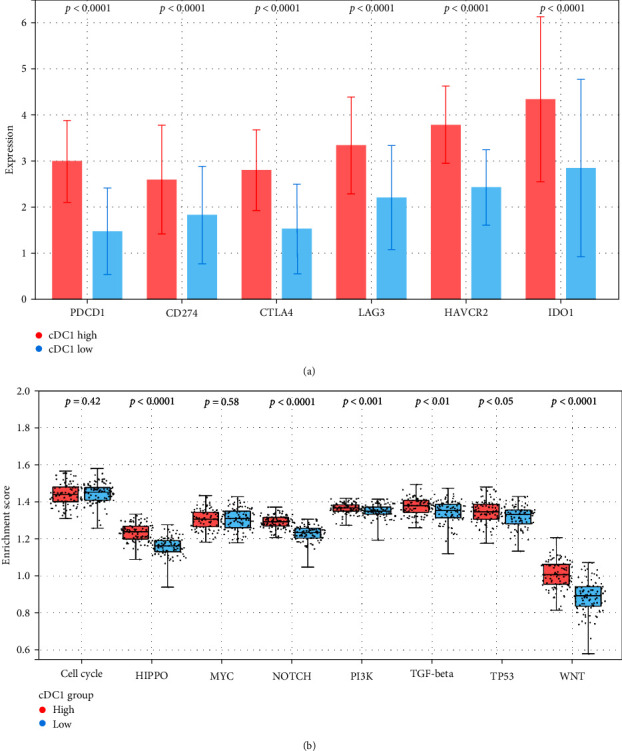
材料与方法:我们分析了癌症基因组图谱(TCGA-STAD)和基因表达总库(GEO)数据集中的RNA-seq数据,重点研究了5个cDC1相关基因。我们定义了 cDC1 相关特征基因,并将其分为高表达组和低表达组。我们采用基因组变异分析(GSVA)对致癌信号通路进行了分析,并进行了全面的统计分析,包括Kaplan-Meier和Cox比例危险模型:结果:在TCGA-STAD队列中,高cDC1相关基因特征组与较差的总生存期和无病生存期相关。在 CDC1 相关基因特征高分组和低分组之间,CD8+ T 细胞浸润和细胞毒性能力存在显著差异。研究还发现,CDC1相关特征与免疫检查点蛋白和致癌通路表达增加之间存在很强的相关性,这表明肿瘤微环境具有复杂的免疫抑制作用:我们的研究结果表明,cDC1相关特征具有作为GC预后标志物的潜力,为了解肿瘤与免疫之间的相互作用提供了线索。这项研究强调了cDC1在塑造肿瘤微环境中的重要性及其对GC患者预后的影响。这些结果可能有助于开发针对 GC 免疫微环境的新型治疗策略。
本文章由计算机程序翻译,如有差异,请以英文原文为准。

Characterizing the Tumor Microenvironment and Its Correlation with cDC1-Related Gene Expression in Gastric Cancer.

Characterizing the Tumor Microenvironment and Its Correlation with cDC1-Related Gene Expression in Gastric Cancer.

Characterizing the Tumor Microenvironment and Its Correlation with cDC1-Related Gene Expression in Gastric Cancer.

Characterizing the Tumor Microenvironment and Its Correlation with cDC1-Related Gene Expression in Gastric Cancer.

Materials and methods: We analyzed RNA-seq data from the Cancer Genome Atlas (TCGA-STAD) and Gene Expression Omnibus (GEO) datasets, focusing on five cDC1-related genes. The cDC1-related signature was defined and divided into high and low expression groups. We employed gene set variation analysis (GSVA) for oncogenic signaling pathways and conducted comprehensive statistical analyses, including Kaplan-Meier and Cox proportional hazards models.

Results: The high cDC1-related gene signature group was associated with poorer overall and disease-free survival in the TCGA-STAD cohort. Significant differences in CD8+ T cell infiltration and cytotoxic capabilities were observed between high and low CDC1-related signature groups. The study also revealed a strong correlation between CDC1-related signature and increased expression of immune checkpoint proteins and oncogenic pathways, suggesting a complex immunosuppressive tumor microenvironment.

Conclusions: Our findings indicate the potential of the cDC1-related signature as a prognostic marker in GC, offering insights into the tumor-immune interplay. The study underscores the importance of cDC1s in shaping the tumor microenvironment and their influence on patient prognosis in GC. These results may contribute to the development of novel therapeutic strategies targeting the immune microenvironment in GC.

求助全文
通过发布文献求助,成功后即可免费获取论文全文。 去求助
来源期刊
CiteScore
6.90
自引率
2.40%
发文量
423
审稿时长
15 weeks
期刊介绍: Journal of Immunology Research is a peer-reviewed, Open Access journal that provides a platform for scientists and clinicians working in different areas of immunology and therapy. The journal publishes research articles, review articles, as well as clinical studies related to classical immunology, molecular immunology, clinical immunology, cancer immunology, transplantation immunology, immune pathology, immunodeficiency, autoimmune diseases, immune disorders, and immunotherapy.
×
引用
GB/T 7714-2015
复制
MLA
复制
APA
复制
导出至
BibTeX EndNote RefMan NoteFirst NoteExpress
×
提示
您的信息不完整,为了账户安全,请先补充。
现在去补充
×
提示
您因"违规操作"
具体请查看互助需知
我知道了
×
提示
确定
请完成安全验证×
copy
已复制链接
快去分享给好友吧!
我知道了
右上角分享
点击右上角分享
0
联系我们:info@booksci.cn Book学术提供免费学术资源搜索服务,方便国内外学者检索中英文文献。致力于提供最便捷和优质的服务体验。 Copyright © 2023 布克学术 All rights reserved.
京ICP备2023020795号-1
ghs 京公网安备 11010802042870号
Book学术文献互助
Book学术文献互助群
群 号:604180095
Book学术官方微信