克罗恩病肛周瘘管病变与长期行为及其转变相关:一项中国队列研究。

IF 3.9 Q2 GASTROENTEROLOGY & HEPATOLOGY
Intestinal Research Pub Date : 2024-10-01 Epub Date: 2024-07-15 DOI:10.5217/ir.2024.00021
Wei Zhan, Xiaoyin Bai, Hong Yang, Jiaming Qian
{"title":"克罗恩病肛周瘘管病变与长期行为及其转变相关:一项中国队列研究。","authors":"Wei Zhan, Xiaoyin Bai, Hong Yang, Jiaming Qian","doi":"10.5217/ir.2024.00021","DOIUrl":null,"url":null,"abstract":"<p><strong>Background/aims: </strong>Crohn's disease (CD) has a progressive nature and commonly perianal involvement. The aim of this study is to assess the prevalence, surgical treatment, and outcome of perianal fistulizing CD with associated risk factors in a large Chinese cohort.</p><p><strong>Methods: </strong>Hospitalized patients diagnosed with CD in our center were consecutively enrolled between January 2000 and December 2018. Transition of disease behavior was classified according to the presence or absence of penetrating behavior (B3 in the Montreal classification) at diagnosis and at a median follow-up of 102 months.</p><p><strong>Results: </strong>A total of 504 patients were included, of whom 207 (41.1%) were classified as B3 and 348 (69.0%) as L2/3 at follow-up. Transition of behavior to B3 was observed in 86 patients (17.1%). The incidence of perianal fistulizing lesions was 10.9% at 10 years with a final prevalence of 27.0% (n = 136) at the end of follow-up. Multivariate Cox regression identified independent risks of perianal fistulizing lesions for persistent B3 (hazard ratio, 4.72; 95% confidence interval, 1.91-11.66) and behavior transition of progressed to B3 (hazard ratio, 9.90; 95% confidence interval, 4.60-21.33). Perianal surgical treatments were performed in 104 patients (20.6%). Thirty-six cases (7.1%) were refractory, and it is independently associated with behavior of persistent B3 (P= 0.011).</p><p><strong>Conclusions: </strong>Perianal fistulizing lesions occurred frequently in Chinese CD patients. Its incidence and refractory outcome were closely associated with the penetrating CD behavior. An additional risk of perianal fistulizing lesions was indicated for CD patients with behavior of progressing to B3, suggesting further attention.</p>","PeriodicalId":14481,"journal":{"name":"Intestinal Research","volume":" ","pages":"484-495"},"PeriodicalIF":3.9000,"publicationDate":"2024-10-01","publicationTypes":"Journal Article","fieldsOfStudy":null,"isOpenAccess":false,"openAccessPdf":"https://www.ncbi.nlm.nih.gov/pmc/articles/PMC11534454/pdf/","citationCount":"0","resultStr":"{\"title\":\"Perianal fistulizing lesions of Crohn's disease are associated with long-term behavior and its transition: a Chinese cohort study.\",\"authors\":\"Wei Zhan, Xiaoyin Bai, Hong Yang, Jiaming Qian\",\"doi\":\"10.5217/ir.2024.00021\",\"DOIUrl\":null,\"url\":null,\"abstract\":\"<p><strong>Background/aims: </strong>Crohn's disease (CD) has a progressive nature and commonly perianal involvement. The aim of this study is to assess the prevalence, surgical treatment, and outcome of perianal fistulizing CD with associated risk factors in a large Chinese cohort.</p><p><strong>Methods: </strong>Hospitalized patients diagnosed with CD in our center were consecutively enrolled between January 2000 and December 2018. Transition of disease behavior was classified according to the presence or absence of penetrating behavior (B3 in the Montreal classification) at diagnosis and at a median follow-up of 102 months.</p><p><strong>Results: </strong>A total of 504 patients were included, of whom 207 (41.1%) were classified as B3 and 348 (69.0%) as L2/3 at follow-up. Transition of behavior to B3 was observed in 86 patients (17.1%). The incidence of perianal fistulizing lesions was 10.9% at 10 years with a final prevalence of 27.0% (n = 136) at the end of follow-up. Multivariate Cox regression identified independent risks of perianal fistulizing lesions for persistent B3 (hazard ratio, 4.72; 95% confidence interval, 1.91-11.66) and behavior transition of progressed to B3 (hazard ratio, 9.90; 95% confidence interval, 4.60-21.33). Perianal surgical treatments were performed in 104 patients (20.6%). Thirty-six cases (7.1%) were refractory, and it is independently associated with behavior of persistent B3 (P= 0.011).</p><p><strong>Conclusions: </strong>Perianal fistulizing lesions occurred frequently in Chinese CD patients. Its incidence and refractory outcome were closely associated with the penetrating CD behavior. An additional risk of perianal fistulizing lesions was indicated for CD patients with behavior of progressing to B3, suggesting further attention.</p>\",\"PeriodicalId\":14481,\"journal\":{\"name\":\"Intestinal Research\",\"volume\":\" \",\"pages\":\"484-495\"},\"PeriodicalIF\":3.9000,\"publicationDate\":\"2024-10-01\",\"publicationTypes\":\"Journal Article\",\"fieldsOfStudy\":null,\"isOpenAccess\":false,\"openAccessPdf\":\"https://www.ncbi.nlm.nih.gov/pmc/articles/PMC11534454/pdf/\",\"citationCount\":\"0\",\"resultStr\":null,\"platform\":\"Semanticscholar\",\"paperid\":null,\"PeriodicalName\":\"Intestinal Research\",\"FirstCategoryId\":\"1085\",\"ListUrlMain\":\"https://doi.org/10.5217/ir.2024.00021\",\"RegionNum\":0,\"RegionCategory\":null,\"ArticlePicture\":[],\"TitleCN\":null,\"AbstractTextCN\":null,\"PMCID\":null,\"EPubDate\":\"2024/7/15 0:00:00\",\"PubModel\":\"Epub\",\"JCR\":\"Q2\",\"JCRName\":\"GASTROENTEROLOGY & HEPATOLOGY\",\"Score\":null,\"Total\":0}","platform":"Semanticscholar","paperid":null,"PeriodicalName":"Intestinal Research","FirstCategoryId":"1085","ListUrlMain":"https://doi.org/10.5217/ir.2024.00021","RegionNum":0,"RegionCategory":null,"ArticlePicture":[],"TitleCN":null,"AbstractTextCN":null,"PMCID":null,"EPubDate":"2024/7/15 0:00:00","PubModel":"Epub","JCR":"Q2","JCRName":"GASTROENTEROLOGY & HEPATOLOGY","Score":null,"Total":0}
引用次数: 0

摘要

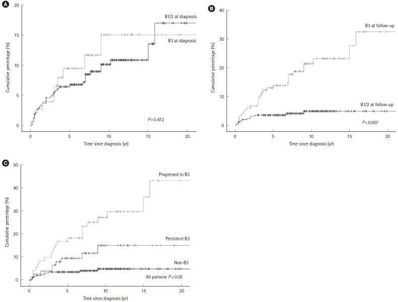
背景/目的:克罗恩病(CD)具有进展性,通常累及肛周。本研究旨在评估中国大型队列中肛周瘘化性 CD 的患病率、手术治疗和预后,以及相关风险因素。根据诊断时和中位随访102个月时有无穿透行为(蒙特利尔分类法中的B3)对疾病行为的转变进行分类:共纳入504名患者,其中207人(41.1%)在随访时被分类为B3,348人(69.0%)被分类为L2/3。有 86 名患者(17.1%)的行为转变为 B3。肛周瘘管病变的发病率在 10 年内为 10.9%,在随访结束时最终发病率为 27.0%(n = 136)。多变量 Cox 回归确定了持续性 B3(危险比为 4.72;95% 置信区间为 1.91-11.66)和进展为 B3 的行为转变(危险比为 9.90;95% 置信区间为 4.60-21.33)发生肛周瘘病变的独立风险。104例患者(20.6%)接受了肛周手术治疗。36例(7.1%)为难治性,与持续性B3行为独立相关(P= 0.011):结论:肛周瘘管病变在中国 CD 患者中经常发生。结论:肛周瘘管病变在中国 CD 患者中经常发生,其发生率和难治性结果与穿透性 CD 行为密切相关。肛周瘘病变的风险在CD进展为B3的患者中有所增加,建议进一步关注。
本文章由计算机程序翻译,如有差异,请以英文原文为准。

Perianal fistulizing lesions of Crohn's disease are associated with long-term behavior and its transition: a Chinese cohort study.

Perianal fistulizing lesions of Crohn's disease are associated with long-term behavior and its transition: a Chinese cohort study.

Perianal fistulizing lesions of Crohn's disease are associated with long-term behavior and its transition: a Chinese cohort study.

Perianal fistulizing lesions of Crohn's disease are associated with long-term behavior and its transition: a Chinese cohort study.

Background/aims: Crohn's disease (CD) has a progressive nature and commonly perianal involvement. The aim of this study is to assess the prevalence, surgical treatment, and outcome of perianal fistulizing CD with associated risk factors in a large Chinese cohort.

Methods: Hospitalized patients diagnosed with CD in our center were consecutively enrolled between January 2000 and December 2018. Transition of disease behavior was classified according to the presence or absence of penetrating behavior (B3 in the Montreal classification) at diagnosis and at a median follow-up of 102 months.

Results: A total of 504 patients were included, of whom 207 (41.1%) were classified as B3 and 348 (69.0%) as L2/3 at follow-up. Transition of behavior to B3 was observed in 86 patients (17.1%). The incidence of perianal fistulizing lesions was 10.9% at 10 years with a final prevalence of 27.0% (n = 136) at the end of follow-up. Multivariate Cox regression identified independent risks of perianal fistulizing lesions for persistent B3 (hazard ratio, 4.72; 95% confidence interval, 1.91-11.66) and behavior transition of progressed to B3 (hazard ratio, 9.90; 95% confidence interval, 4.60-21.33). Perianal surgical treatments were performed in 104 patients (20.6%). Thirty-six cases (7.1%) were refractory, and it is independently associated with behavior of persistent B3 (P= 0.011).

Conclusions: Perianal fistulizing lesions occurred frequently in Chinese CD patients. Its incidence and refractory outcome were closely associated with the penetrating CD behavior. An additional risk of perianal fistulizing lesions was indicated for CD patients with behavior of progressing to B3, suggesting further attention.

求助全文
通过发布文献求助,成功后即可免费获取论文全文。 去求助
来源期刊
Intestinal Research
Intestinal Research GASTROENTEROLOGY & HEPATOLOGY-
CiteScore
7.40
自引率
10.20%
发文量
69
审稿时长
38 weeks
期刊介绍: Intestinal Research (Intest Res) is the joint official publication of the Asian Organization for Crohn''s and Colitis (AOCC), Chinese Society of IBD (CSIBD), Japanese Society for IBD (JSIBD), Korean Association for the Study of Intestinal Diseases (KASID), Taiwan Society of IBD (TSIBD) and Colitis Crohn''s Foundation (India) (CCF, india). The aim of the Journal is to provide broad and in-depth analysis of intestinal diseases, especially inflammatory bowel disease, which shows increasing tendency and significance. As a Journal specialized in clinical and translational research in gastroenterology, it encompasses multiple aspects of diseases originated from the small and large intestines. The Journal also seeks to propagate and exchange useful innovations, both in ideas and in practice, within the research community. As a mode of scholarly communication, it encourages scientific investigation through the rigorous peer-review system and constitutes a qualified and continual platform for sharing studies of researchers and practitioners. Specifically, the Journal presents up-to-date coverage of medical researches on the physiology, epidemiology, pathophysiology, clinical presentations, and therapeutic interventions of the intestinal diseases. General topics of interest include inflammatory bowel disease, colon and small intestine cancer or polyp, endoscopy, irritable bowel syndrome and other motility disorders, infectious enterocolitis, intestinal tuberculosis, and so forth. The Journal publishes diverse types of academic materials such as editorials, clinical and basic reviews, original articles, case reports, letters to the editor, brief communications, perspective, statement or commentary, and images that are useful to clinicians and researchers.
×
引用
GB/T 7714-2015
复制
MLA
复制
APA
复制
导出至
BibTeX EndNote RefMan NoteFirst NoteExpress
×
提示
您的信息不完整,为了账户安全,请先补充。
现在去补充
×
提示
您因"违规操作"
具体请查看互助需知
我知道了
×
提示
确定
请完成安全验证×
copy
已复制链接
快去分享给好友吧!
我知道了
右上角分享
点击右上角分享
0
联系我们:info@booksci.cn Book学术提供免费学术资源搜索服务,方便国内外学者检索中英文文献。致力于提供最便捷和优质的服务体验。 Copyright © 2023 布克学术 All rights reserved.
京ICP备2023020795号-1
ghs 京公网安备 11010802042870号
Book学术文献互助
Book学术文献互助群
群 号:604180095
Book学术官方微信