Has_circ_0008285/miR-211-5p/SIRT-1轴抑制卵巢癌细胞的进展。

IF 0.8 Q3 MEDICINE, RESEARCH & EXPERIMENTAL
Khadijeh Elmizadeh, Ali Homaei, Ensiyeh Bahadoran, Farzaneh Abbasi, Sahar Moghbelinejad
{"title":"Has_circ_0008285/miR-211-5p/SIRT-1轴抑制卵巢癌细胞的进展。","authors":"Khadijeh Elmizadeh, Ali Homaei, Ensiyeh Bahadoran, Farzaneh Abbasi, Sahar Moghbelinejad","doi":"10.22088/IJMCM.BUMS.12.4.401","DOIUrl":null,"url":null,"abstract":"<p><p>The significant functional role of circular RNAs (circRNAs) in the progression of malignant tumors, including ovarian cancer, has been shown in various studies. In this study, we aimed to investigate the abnormal expression of hsa_circ_0008285 and its role in ovarian cancer pathogenesis. Quantitative real time polymerase chain reaction (qRT-PCR) and Western blot methods were used to detect the expression of hsa_circ_0008285 and some target genes in ovarian cancer tissues and related cell lines. To determine the functional roles of hsa_circ_0008285 in ovarian cancer, cell proliferation, apoptosis, and cell invasion assays were performed. Bioinformatics (Target scan, circ intractome) and luciferase reporter analyses were used to predict target genes. Results: In the present study, we first found that hsa_circ_0008285 was up regulated in ovarian cancer tissues and related cell lines. Bioinformatics, experimental data, and luciferase reporter analysis data showed miR-211-5p is a direct target of hsa_circ_0008285, while SIRT-1 is a direct target of miR-211-5p. Overexpression of hsa_circ_0008285 in cancer cells increased the expression of SIRT-1 and progression of cancer cells. Based on these results, inhibition of hsa_circ_0008285 expression could cause upregulation of miR-211-5p and down regulation of SIRT-1 and inhibited the proliferation and invasion of ovarian cancer cells. Conclusion: The results of the present study revealed that hsa_circ_0008285 suppressed ovarian cancer progression by regulating miR-211-5p expression to inhibit SIRT-1 expression.</p>","PeriodicalId":14152,"journal":{"name":"International Journal of Molecular and Cellular Medicine","volume":"12 4","pages":"401-422"},"PeriodicalIF":0.8000,"publicationDate":"2023-01-01","publicationTypes":"Journal Article","fieldsOfStudy":null,"isOpenAccess":false,"openAccessPdf":"https://www.ncbi.nlm.nih.gov/pmc/articles/PMC11240052/pdf/","citationCount":"0","resultStr":"{\"title\":\"Has_circ_0008285/miR-211-5p/SIRT-1 Axis Suppress Ovarian Cancer Cells Progression.\",\"authors\":\"Khadijeh Elmizadeh, Ali Homaei, Ensiyeh Bahadoran, Farzaneh Abbasi, Sahar Moghbelinejad\",\"doi\":\"10.22088/IJMCM.BUMS.12.4.401\",\"DOIUrl\":null,\"url\":null,\"abstract\":\"<p><p>The significant functional role of circular RNAs (circRNAs) in the progression of malignant tumors, including ovarian cancer, has been shown in various studies. In this study, we aimed to investigate the abnormal expression of hsa_circ_0008285 and its role in ovarian cancer pathogenesis. Quantitative real time polymerase chain reaction (qRT-PCR) and Western blot methods were used to detect the expression of hsa_circ_0008285 and some target genes in ovarian cancer tissues and related cell lines. To determine the functional roles of hsa_circ_0008285 in ovarian cancer, cell proliferation, apoptosis, and cell invasion assays were performed. Bioinformatics (Target scan, circ intractome) and luciferase reporter analyses were used to predict target genes. Results: In the present study, we first found that hsa_circ_0008285 was up regulated in ovarian cancer tissues and related cell lines. Bioinformatics, experimental data, and luciferase reporter analysis data showed miR-211-5p is a direct target of hsa_circ_0008285, while SIRT-1 is a direct target of miR-211-5p. Overexpression of hsa_circ_0008285 in cancer cells increased the expression of SIRT-1 and progression of cancer cells. Based on these results, inhibition of hsa_circ_0008285 expression could cause upregulation of miR-211-5p and down regulation of SIRT-1 and inhibited the proliferation and invasion of ovarian cancer cells. Conclusion: The results of the present study revealed that hsa_circ_0008285 suppressed ovarian cancer progression by regulating miR-211-5p expression to inhibit SIRT-1 expression.</p>\",\"PeriodicalId\":14152,\"journal\":{\"name\":\"International Journal of Molecular and Cellular Medicine\",\"volume\":\"12 4\",\"pages\":\"401-422\"},\"PeriodicalIF\":0.8000,\"publicationDate\":\"2023-01-01\",\"publicationTypes\":\"Journal Article\",\"fieldsOfStudy\":null,\"isOpenAccess\":false,\"openAccessPdf\":\"https://www.ncbi.nlm.nih.gov/pmc/articles/PMC11240052/pdf/\",\"citationCount\":\"0\",\"resultStr\":null,\"platform\":\"Semanticscholar\",\"paperid\":null,\"PeriodicalName\":\"International Journal of Molecular and Cellular Medicine\",\"FirstCategoryId\":\"1085\",\"ListUrlMain\":\"https://doi.org/10.22088/IJMCM.BUMS.12.4.401\",\"RegionNum\":0,\"RegionCategory\":null,\"ArticlePicture\":[],\"TitleCN\":null,\"AbstractTextCN\":null,\"PMCID\":null,\"EPubDate\":\"\",\"PubModel\":\"\",\"JCR\":\"Q3\",\"JCRName\":\"MEDICINE, RESEARCH & EXPERIMENTAL\",\"Score\":null,\"Total\":0}","platform":"Semanticscholar","paperid":null,"PeriodicalName":"International Journal of Molecular and Cellular Medicine","FirstCategoryId":"1085","ListUrlMain":"https://doi.org/10.22088/IJMCM.BUMS.12.4.401","RegionNum":0,"RegionCategory":null,"ArticlePicture":[],"TitleCN":null,"AbstractTextCN":null,"PMCID":null,"EPubDate":"","PubModel":"","JCR":"Q3","JCRName":"MEDICINE, RESEARCH & EXPERIMENTAL","Score":null,"Total":0}
引用次数: 0

摘要

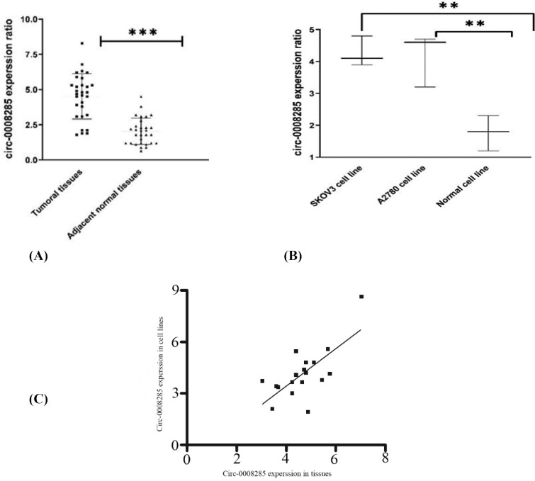
多项研究表明,环状 RNA(circRNA)在包括卵巢癌在内的恶性肿瘤的进展过程中发挥着重要的功能作用。本研究旨在探讨 hsa_circ_0008285 的异常表达及其在卵巢癌发病机制中的作用。采用定量实时聚合酶链反应(qRT-PCR)和 Western 印迹法检测 hsa_circ_0008285 和一些靶基因在卵巢癌组织和相关细胞系中的表达。为了确定 hsa_circ_0008285 在卵巢癌中的功能作用,进行了细胞增殖、凋亡和细胞侵袭试验。使用生物信息学(靶标扫描、circ intractome)和荧光素酶报告分析预测靶基因。结果:在本研究中,我们首次发现 hsa_circ_0008285 在卵巢癌组织和相关细胞系中被上调。生物信息学、实验数据和荧光素酶报告分析数据显示,miR-211-5p 是 hsa_circ_0008285 的直接靶标,而 SIRT-1 是 miR-211-5p 的直接靶标。在癌细胞中过量表达 hsa_circ_0008285 会增加 SIRT-1 的表达和癌细胞的恶化。基于这些结果,抑制 hsa_circ_0008285 的表达可导致 miR-211-5p 的上调和 SIRT-1 的下调,从而抑制卵巢癌细胞的增殖和侵袭。结论本研究结果显示,hsa_circ_0008285通过调控miR-211-5p的表达抑制SIRT-1的表达,从而抑制卵巢癌的进展。
本文章由计算机程序翻译,如有差异,请以英文原文为准。

Has_circ_0008285/miR-211-5p/SIRT-1 Axis Suppress Ovarian Cancer Cells Progression.

Has_circ_0008285/miR-211-5p/SIRT-1 Axis Suppress Ovarian Cancer Cells Progression.

Has_circ_0008285/miR-211-5p/SIRT-1 Axis Suppress Ovarian Cancer Cells Progression.

Has_circ_0008285/miR-211-5p/SIRT-1 Axis Suppress Ovarian Cancer Cells Progression.

The significant functional role of circular RNAs (circRNAs) in the progression of malignant tumors, including ovarian cancer, has been shown in various studies. In this study, we aimed to investigate the abnormal expression of hsa_circ_0008285 and its role in ovarian cancer pathogenesis. Quantitative real time polymerase chain reaction (qRT-PCR) and Western blot methods were used to detect the expression of hsa_circ_0008285 and some target genes in ovarian cancer tissues and related cell lines. To determine the functional roles of hsa_circ_0008285 in ovarian cancer, cell proliferation, apoptosis, and cell invasion assays were performed. Bioinformatics (Target scan, circ intractome) and luciferase reporter analyses were used to predict target genes. Results: In the present study, we first found that hsa_circ_0008285 was up regulated in ovarian cancer tissues and related cell lines. Bioinformatics, experimental data, and luciferase reporter analysis data showed miR-211-5p is a direct target of hsa_circ_0008285, while SIRT-1 is a direct target of miR-211-5p. Overexpression of hsa_circ_0008285 in cancer cells increased the expression of SIRT-1 and progression of cancer cells. Based on these results, inhibition of hsa_circ_0008285 expression could cause upregulation of miR-211-5p and down regulation of SIRT-1 and inhibited the proliferation and invasion of ovarian cancer cells. Conclusion: The results of the present study revealed that hsa_circ_0008285 suppressed ovarian cancer progression by regulating miR-211-5p expression to inhibit SIRT-1 expression.

求助全文
通过发布文献求助,成功后即可免费获取论文全文。 去求助
来源期刊
CiteScore
3.60
自引率
0.00%
发文量
0
期刊介绍: The International Journal of Molecular and Cellular Medicine (IJMCM) is a peer-reviewed, quarterly publication of Cellular and Molecular Biology Research Center (CMBRC), Babol University of Medical Sciences, Babol, Iran. The journal covers all cellular & molecular biology and medicine disciplines such as the genetic basis of disease, biomarker discovery in diagnosis and treatment, genomics and proteomics, bioinformatics, computer applications in human biology, stem cells and tissue engineering, medical biotechnology, nanomedicine, cellular processes related to growth, death and survival, clinical biochemistry, molecular & cellular immunology, molecular and cellular aspects of infectious disease and cancer research. IJMCM is a free access journal. All open access articles published in IJMCM are distributed under the terms of the Creative Commons Attribution CC BY. The journal doesn''t have any submission and article processing charges (APCs).
×
引用
GB/T 7714-2015
复制
MLA
复制
APA
复制
导出至
BibTeX EndNote RefMan NoteFirst NoteExpress
×
提示
您的信息不完整,为了账户安全,请先补充。
现在去补充
×
提示
您因"违规操作"
具体请查看互助需知
我知道了
×
提示
确定
请完成安全验证×
copy
已复制链接
快去分享给好友吧!
我知道了
右上角分享
点击右上角分享
0
联系我们:info@booksci.cn Book学术提供免费学术资源搜索服务,方便国内外学者检索中英文文献。致力于提供最便捷和优质的服务体验。 Copyright © 2023 布克学术 All rights reserved.
京ICP备2023020795号-1
ghs 京公网安备 11010802042870号
Book学术文献互助
Book学术文献互助群
群 号:604180095
Book学术官方微信