性别和惯用手是否会影响急性心肌梗塞患者和健康老年人的一般认知能力和财务能力?重点是女性的表现。

Porto biomedical journal Pub Date : 2024-07-11 eCollection Date: 2024-07-01 DOI:10.1097/j.pbj.0000000000000258
Vaitsa Giannouli, Fotios S Milienos
{"title":"性别和惯用手是否会影响急性心肌梗塞患者和健康老年人的一般认知能力和财务能力?重点是女性的表现。","authors":"Vaitsa Giannouli, Fotios S Milienos","doi":"10.1097/j.pbj.0000000000000258","DOIUrl":null,"url":null,"abstract":"<p><strong>Objectives: </strong>The effects of sex and handedness on financial capacity performance remain unexplored both in healthy older adults and in patients with amnestic mild cognitive impairment (aMCI).</p><p><strong>Methods: </strong>The aim of this study was to study the effect of the above factors (sex, handedness, and health condition), following a factorial experimental design; hence, eight groups (each with ten individuals) with similar demographic characteristics (age and education level) were formed consisting of right/left-handed, women/men and healthy/not healthy (with a diagnosis of aMCI) older adults. Mini-Mental State Examination (MMSE) was administered as a measure of general cognitive ability, and Legal Capacity for Property Law Transactions Assessment Scale (LCPLTAS) was used as an indicator of financial capacity; moreover, GDS-15 was used to assess depressive symptomatology. Self-reports of hand preference were also included.</p><p><strong>Results: </strong>Although as expected healthy men and women regardless of their handedness outperformed aMCI patients on MMSE and LCPLTAS, performance on cash transactions, bank statement management, bill payment, financial decision making, and knowledge of personal assets from LCPLTAS is significantly higher for right-handed aMCI women compared with left-handed aMCI women.</p><p><strong>Conclusions: </strong>Future research should further elucidate the reasons for this left-handed female patient with aMCI profile in larger groups of patients. This is an exploratory study, and the small sample size limits the strength of conclusions; further studies on this topic are needed.</p>","PeriodicalId":74479,"journal":{"name":"Porto biomedical journal","volume":"9 4","pages":"258"},"PeriodicalIF":0.0000,"publicationDate":"2024-07-11","publicationTypes":"Journal Article","fieldsOfStudy":null,"isOpenAccess":false,"openAccessPdf":"https://www.ncbi.nlm.nih.gov/pmc/articles/PMC11236399/pdf/","citationCount":"0","resultStr":"{\"title\":\"Do sex and handedness influence general cognition and financial capacity in patients with aMCI and healthy older adults? Emphasis on women's performance.\",\"authors\":\"Vaitsa Giannouli, Fotios S Milienos\",\"doi\":\"10.1097/j.pbj.0000000000000258\",\"DOIUrl\":null,\"url\":null,\"abstract\":\"<p><strong>Objectives: </strong>The effects of sex and handedness on financial capacity performance remain unexplored both in healthy older adults and in patients with amnestic mild cognitive impairment (aMCI).</p><p><strong>Methods: </strong>The aim of this study was to study the effect of the above factors (sex, handedness, and health condition), following a factorial experimental design; hence, eight groups (each with ten individuals) with similar demographic characteristics (age and education level) were formed consisting of right/left-handed, women/men and healthy/not healthy (with a diagnosis of aMCI) older adults. Mini-Mental State Examination (MMSE) was administered as a measure of general cognitive ability, and Legal Capacity for Property Law Transactions Assessment Scale (LCPLTAS) was used as an indicator of financial capacity; moreover, GDS-15 was used to assess depressive symptomatology. Self-reports of hand preference were also included.</p><p><strong>Results: </strong>Although as expected healthy men and women regardless of their handedness outperformed aMCI patients on MMSE and LCPLTAS, performance on cash transactions, bank statement management, bill payment, financial decision making, and knowledge of personal assets from LCPLTAS is significantly higher for right-handed aMCI women compared with left-handed aMCI women.</p><p><strong>Conclusions: </strong>Future research should further elucidate the reasons for this left-handed female patient with aMCI profile in larger groups of patients. This is an exploratory study, and the small sample size limits the strength of conclusions; further studies on this topic are needed.</p>\",\"PeriodicalId\":74479,\"journal\":{\"name\":\"Porto biomedical journal\",\"volume\":\"9 4\",\"pages\":\"258\"},\"PeriodicalIF\":0.0000,\"publicationDate\":\"2024-07-11\",\"publicationTypes\":\"Journal Article\",\"fieldsOfStudy\":null,\"isOpenAccess\":false,\"openAccessPdf\":\"https://www.ncbi.nlm.nih.gov/pmc/articles/PMC11236399/pdf/\",\"citationCount\":\"0\",\"resultStr\":null,\"platform\":\"Semanticscholar\",\"paperid\":null,\"PeriodicalName\":\"Porto biomedical journal\",\"FirstCategoryId\":\"1085\",\"ListUrlMain\":\"https://doi.org/10.1097/j.pbj.0000000000000258\",\"RegionNum\":0,\"RegionCategory\":null,\"ArticlePicture\":[],\"TitleCN\":null,\"AbstractTextCN\":null,\"PMCID\":null,\"EPubDate\":\"2024/7/1 0:00:00\",\"PubModel\":\"eCollection\",\"JCR\":\"\",\"JCRName\":\"\",\"Score\":null,\"Total\":0}","platform":"Semanticscholar","paperid":null,"PeriodicalName":"Porto biomedical journal","FirstCategoryId":"1085","ListUrlMain":"https://doi.org/10.1097/j.pbj.0000000000000258","RegionNum":0,"RegionCategory":null,"ArticlePicture":[],"TitleCN":null,"AbstractTextCN":null,"PMCID":null,"EPubDate":"2024/7/1 0:00:00","PubModel":"eCollection","JCR":"","JCRName":"","Score":null,"Total":0}
引用次数: 0

摘要

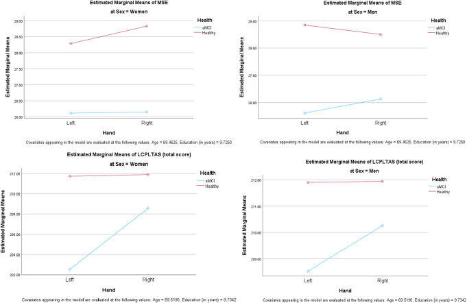
目的:在健康老年人和失忆性轻度认知障碍(aMCI)患者中,性别和手型对财务能力表现的影响仍有待研究:无论是在健康的老年人中,还是在患有轻度认知障碍(amnestic mild cognitive impairment,aMCI)的患者中,性别和手型对财务能力表现的影响都尚未得到研究:本研究的目的是研究上述因素(性别、手型和健康状况)的影响,采用因子实验设计,因此组成了八个具有相似人口统计学特征(年龄和教育水平)的小组(每组十人),包括右撇子/左撇子、女性/男性和健康/非健康(诊断为 aMCI)老年人。研究人员进行了迷你精神状态检查(MMSE)以衡量一般认知能力,并使用财产法交易法律能力评估量表(LCPLTAS)作为财务能力指标;此外,还使用 GDS-15 评估抑郁症状。此外,还纳入了对手部偏好的自我报告:结果:尽管正如预期的那样,健康男性和女性无论手型如何,在 MMSE 和 LCPLTAS 中的表现都优于 aMCI 患者,但与左撇子 aMCI 女性相比,右撇子 aMCI 女性在 LCPLTAS 中的现金交易、银行对账单管理、账单支付、财务决策和个人资产知识方面的表现明显更高:未来的研究应在更大的患者群体中进一步阐明造成左撇子女性 aMCI 患者特征的原因。这是一项探索性研究,样本量较小限制了结论的力度;需要对这一主题进行进一步研究。
本文章由计算机程序翻译,如有差异,请以英文原文为准。

Do sex and handedness influence general cognition and financial capacity in patients with aMCI and healthy older adults? Emphasis on women's performance.

Do sex and handedness influence general cognition and financial capacity in patients with aMCI and healthy older adults? Emphasis on women's performance.

Do sex and handedness influence general cognition and financial capacity in patients with aMCI and healthy older adults? Emphasis on women's performance.

Do sex and handedness influence general cognition and financial capacity in patients with aMCI and healthy older adults? Emphasis on women's performance.

Objectives: The effects of sex and handedness on financial capacity performance remain unexplored both in healthy older adults and in patients with amnestic mild cognitive impairment (aMCI).

Methods: The aim of this study was to study the effect of the above factors (sex, handedness, and health condition), following a factorial experimental design; hence, eight groups (each with ten individuals) with similar demographic characteristics (age and education level) were formed consisting of right/left-handed, women/men and healthy/not healthy (with a diagnosis of aMCI) older adults. Mini-Mental State Examination (MMSE) was administered as a measure of general cognitive ability, and Legal Capacity for Property Law Transactions Assessment Scale (LCPLTAS) was used as an indicator of financial capacity; moreover, GDS-15 was used to assess depressive symptomatology. Self-reports of hand preference were also included.

Results: Although as expected healthy men and women regardless of their handedness outperformed aMCI patients on MMSE and LCPLTAS, performance on cash transactions, bank statement management, bill payment, financial decision making, and knowledge of personal assets from LCPLTAS is significantly higher for right-handed aMCI women compared with left-handed aMCI women.

Conclusions: Future research should further elucidate the reasons for this left-handed female patient with aMCI profile in larger groups of patients. This is an exploratory study, and the small sample size limits the strength of conclusions; further studies on this topic are needed.

求助全文
通过发布文献求助,成功后即可免费获取论文全文。 去求助
来源期刊
自引率
0.00%
发文量
0
×
引用
GB/T 7714-2015
复制
MLA
复制
APA
复制
导出至
BibTeX EndNote RefMan NoteFirst NoteExpress
×
提示
您的信息不完整,为了账户安全,请先补充。
现在去补充
×
提示
您因"违规操作"
具体请查看互助需知
我知道了
×
提示
确定
请完成安全验证×
copy
已复制链接
快去分享给好友吧!
我知道了
右上角分享
点击右上角分享
0
联系我们:info@booksci.cn Book学术提供免费学术资源搜索服务,方便国内外学者检索中英文文献。致力于提供最便捷和优质的服务体验。 Copyright © 2023 布克学术 All rights reserved.
京ICP备2023020795号-1
ghs 京公网安备 11010802042870号
Book学术文献互助
Book学术文献互助群
群 号:604180095
Book学术官方微信