腰椎间盘突出症椎间盘切除术后再次手术的风险因素。

IF 1.6 Q2 MEDICINE, GENERAL & INTERNAL
Tzu Chi Medical Journal Pub Date : 2024-04-30 eCollection Date: 2024-07-01 DOI:10.4103/tcmj.tcmj_206_23
Cheng-Huan Peng, Ing-Ho Chen, Tzai-Chiu Yu, Jen-Hung Wang, Wen-Tien Wu, Kuang-Ting Yeh
{"title":"腰椎间盘突出症椎间盘切除术后再次手术的风险因素。","authors":"Cheng-Huan Peng, Ing-Ho Chen, Tzai-Chiu Yu, Jen-Hung Wang, Wen-Tien Wu, Kuang-Ting Yeh","doi":"10.4103/tcmj.tcmj_206_23","DOIUrl":null,"url":null,"abstract":"<p><strong>Objectives: </strong>Discectomy is the most common surgery for lumbar herniated intervertebral disc (HIVD) disease. However, 5%-24% of patients undergo a second surgery due to recurrent disc herniation.</p><p><strong>Materials and methods: </strong>This study was aimed to identify the risk factors for reoperation after discectomy of lumbar HIVD and recommend treatment for patients with a high risk of reoperation. We recruited patients diagnosed as having single-level lumbar HIVD who underwent open discectomy from January 1, 2000, to December 31, 2012 in our hospital. We used a survival curve to inspect the survival time and reoperation rate after surgery. We discussed the correlation of reoperation rate with discectomy level, body mass index, heavy lifting after surgery, sex, and age. Furthermore, we investigated the correlation between the experience of a surgeon and the reoperation rate.</p><p><strong>Results: </strong>A total of 619 patients were enrolled in our study. Most patients were 40-60 years old (48.8%), and most of them had herniation at L4/5 level (48.9%). The 8-year survival rate was 92%. Weight lifting after surgery may increase the reoperation rate by 115 and 18 times for those >60 years and <40 years, respectively. In addition, less experience of the surgeon and female sex had a high reoperation rate.</p><p><strong>Conclusion: </strong>Postoperative working modification may be very important for preventing patients from recurrent HIVD. For elderly people with HIVD, a more conservative therapy could be selected. If patients with lumbar spine hypermobility or severe degeneration require wide laminectomy, primary fusion should be considered.</p>","PeriodicalId":45873,"journal":{"name":"Tzu Chi Medical Journal","volume":"36 3","pages":"298-303"},"PeriodicalIF":1.6000,"publicationDate":"2024-04-30","publicationTypes":"Journal Article","fieldsOfStudy":null,"isOpenAccess":false,"openAccessPdf":"https://www.ncbi.nlm.nih.gov/pmc/articles/PMC11236073/pdf/","citationCount":"0","resultStr":"{\"title\":\"Risk factors for reoperation after discectomy of lumbar herniated intervertebral disc disease.\",\"authors\":\"Cheng-Huan Peng, Ing-Ho Chen, Tzai-Chiu Yu, Jen-Hung Wang, Wen-Tien Wu, Kuang-Ting Yeh\",\"doi\":\"10.4103/tcmj.tcmj_206_23\",\"DOIUrl\":null,\"url\":null,\"abstract\":\"<p><strong>Objectives: </strong>Discectomy is the most common surgery for lumbar herniated intervertebral disc (HIVD) disease. However, 5%-24% of patients undergo a second surgery due to recurrent disc herniation.</p><p><strong>Materials and methods: </strong>This study was aimed to identify the risk factors for reoperation after discectomy of lumbar HIVD and recommend treatment for patients with a high risk of reoperation. We recruited patients diagnosed as having single-level lumbar HIVD who underwent open discectomy from January 1, 2000, to December 31, 2012 in our hospital. We used a survival curve to inspect the survival time and reoperation rate after surgery. We discussed the correlation of reoperation rate with discectomy level, body mass index, heavy lifting after surgery, sex, and age. Furthermore, we investigated the correlation between the experience of a surgeon and the reoperation rate.</p><p><strong>Results: </strong>A total of 619 patients were enrolled in our study. Most patients were 40-60 years old (48.8%), and most of them had herniation at L4/5 level (48.9%). The 8-year survival rate was 92%. Weight lifting after surgery may increase the reoperation rate by 115 and 18 times for those >60 years and <40 years, respectively. In addition, less experience of the surgeon and female sex had a high reoperation rate.</p><p><strong>Conclusion: </strong>Postoperative working modification may be very important for preventing patients from recurrent HIVD. For elderly people with HIVD, a more conservative therapy could be selected. If patients with lumbar spine hypermobility or severe degeneration require wide laminectomy, primary fusion should be considered.</p>\",\"PeriodicalId\":45873,\"journal\":{\"name\":\"Tzu Chi Medical Journal\",\"volume\":\"36 3\",\"pages\":\"298-303\"},\"PeriodicalIF\":1.6000,\"publicationDate\":\"2024-04-30\",\"publicationTypes\":\"Journal Article\",\"fieldsOfStudy\":null,\"isOpenAccess\":false,\"openAccessPdf\":\"https://www.ncbi.nlm.nih.gov/pmc/articles/PMC11236073/pdf/\",\"citationCount\":\"0\",\"resultStr\":null,\"platform\":\"Semanticscholar\",\"paperid\":null,\"PeriodicalName\":\"Tzu Chi Medical Journal\",\"FirstCategoryId\":\"1085\",\"ListUrlMain\":\"https://doi.org/10.4103/tcmj.tcmj_206_23\",\"RegionNum\":0,\"RegionCategory\":null,\"ArticlePicture\":[],\"TitleCN\":null,\"AbstractTextCN\":null,\"PMCID\":null,\"EPubDate\":\"2024/7/1 0:00:00\",\"PubModel\":\"eCollection\",\"JCR\":\"Q2\",\"JCRName\":\"MEDICINE, GENERAL & INTERNAL\",\"Score\":null,\"Total\":0}","platform":"Semanticscholar","paperid":null,"PeriodicalName":"Tzu Chi Medical Journal","FirstCategoryId":"1085","ListUrlMain":"https://doi.org/10.4103/tcmj.tcmj_206_23","RegionNum":0,"RegionCategory":null,"ArticlePicture":[],"TitleCN":null,"AbstractTextCN":null,"PMCID":null,"EPubDate":"2024/7/1 0:00:00","PubModel":"eCollection","JCR":"Q2","JCRName":"MEDICINE, GENERAL & INTERNAL","Score":null,"Total":0}
引用次数: 0

摘要

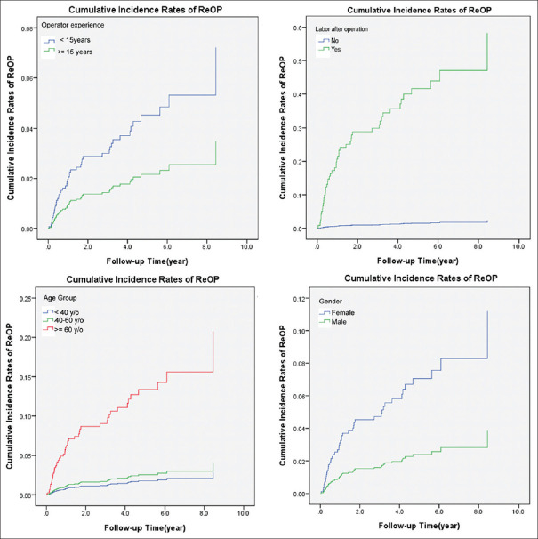
目的:椎间盘切除术是治疗腰椎间盘突出症(HIVD)最常见的手术。然而,5%-24%的患者会因复发性椎间盘突出症而接受第二次手术:本研究旨在确定腰椎间盘突出症(HIVD)椎间盘切除术后再次手术的风险因素,并对再次手术风险高的患者提出治疗建议。我们招募了 2000 年 1 月 1 日至 2012 年 12 月 31 日期间在我院接受开刀椎间盘切除术的单层腰椎 HIVD 患者。我们用生存曲线来检验术后生存时间和再手术率。我们讨论了再手术率与椎间盘切除水平、体重指数、术后重体力劳动、性别和年龄的相关性。此外,我们还研究了外科医生的经验与再手术率之间的相关性:共有 619 名患者参与了我们的研究。大多数患者的年龄在 40-60 岁之间(48.8%),大多数患者的腰椎疝位于 L4/5 水平(48.9%)。8年生存率为92%。术后举重可能会使再次手术率增加 115 倍,年龄大于 60 岁的患者可能会增加 18 倍:术后调整工作对于防止患者复发 HIVD 可能非常重要。对于患有 HIVD 的老年人,可以选择更为保守的疗法。如果腰椎活动度大或退变严重的患者需要进行宽椎板切除术,则应考虑进行初次融合术。
本文章由计算机程序翻译,如有差异,请以英文原文为准。

Risk factors for reoperation after discectomy of lumbar herniated intervertebral disc disease.

Risk factors for reoperation after discectomy of lumbar herniated intervertebral disc disease.

Objectives: Discectomy is the most common surgery for lumbar herniated intervertebral disc (HIVD) disease. However, 5%-24% of patients undergo a second surgery due to recurrent disc herniation.

Materials and methods: This study was aimed to identify the risk factors for reoperation after discectomy of lumbar HIVD and recommend treatment for patients with a high risk of reoperation. We recruited patients diagnosed as having single-level lumbar HIVD who underwent open discectomy from January 1, 2000, to December 31, 2012 in our hospital. We used a survival curve to inspect the survival time and reoperation rate after surgery. We discussed the correlation of reoperation rate with discectomy level, body mass index, heavy lifting after surgery, sex, and age. Furthermore, we investigated the correlation between the experience of a surgeon and the reoperation rate.

Results: A total of 619 patients were enrolled in our study. Most patients were 40-60 years old (48.8%), and most of them had herniation at L4/5 level (48.9%). The 8-year survival rate was 92%. Weight lifting after surgery may increase the reoperation rate by 115 and 18 times for those >60 years and <40 years, respectively. In addition, less experience of the surgeon and female sex had a high reoperation rate.

Conclusion: Postoperative working modification may be very important for preventing patients from recurrent HIVD. For elderly people with HIVD, a more conservative therapy could be selected. If patients with lumbar spine hypermobility or severe degeneration require wide laminectomy, primary fusion should be considered.

求助全文
通过发布文献求助,成功后即可免费获取论文全文。 去求助
来源期刊
Tzu Chi Medical Journal
Tzu Chi Medical Journal MEDICINE, GENERAL & INTERNAL-
CiteScore
3.40
自引率
0.00%
发文量
44
审稿时长
13 weeks
期刊介绍: The Tzu Chi Medical Journal is the peer-reviewed publication of the Buddhist Compassion Relief Tzu Chi Foundation, and includes original research papers on clinical medicine and basic science, case reports, clinical pathological pages, and review articles.
×
引用
GB/T 7714-2015
复制
MLA
复制
APA
复制
导出至
BibTeX EndNote RefMan NoteFirst NoteExpress
×
提示
您的信息不完整,为了账户安全,请先补充。
现在去补充
×
提示
您因"违规操作"
具体请查看互助需知
我知道了
×
提示
确定
请完成安全验证×
copy
已复制链接
快去分享给好友吧!
我知道了
右上角分享
点击右上角分享
0
联系我们:info@booksci.cn Book学术提供免费学术资源搜索服务,方便国内外学者检索中英文文献。致力于提供最便捷和优质的服务体验。 Copyright © 2023 布克学术 All rights reserved.
京ICP备2023020795号-1
ghs 京公网安备 11010802042870号
Book学术文献互助
Book学术文献互助群
群 号:604180095
Book学术官方微信