短期温度暴露与女性心脏性猝死风险:护士健康研究》中的病例交叉分析。

IF 3.8 Q2 ENVIRONMENTAL SCIENCES
Environmental Epidemiology Pub Date : 2024-07-08 eCollection Date: 2024-08-01 DOI:10.1097/EE9.0000000000000322
Jaime E Hart, Cindy R Hu, Jeff D Yanosky, Isabel Holland, Hari S Iyer, William Borchert, Francine Laden, Christine M Albert
{"title":"短期温度暴露与女性心脏性猝死风险:护士健康研究》中的病例交叉分析。","authors":"Jaime E Hart, Cindy R Hu, Jeff D Yanosky, Isabel Holland, Hari S Iyer, William Borchert, Francine Laden, Christine M Albert","doi":"10.1097/EE9.0000000000000322","DOIUrl":null,"url":null,"abstract":"<p><strong>Background: </strong>Sudden cardiac death (SCD) is a major source of mortality and is the first manifestation of heart disease for most cases. Thus, there is a definite need to identify risk factors for SCD that can be modified on the population level. Short-term exposures to temperature have been implicated as a potential risk factor. Our objective was to determine if short-term temperature exposures were associated with increased risk of SCD in a US-based time-stratified case-crossover study.</p><p><strong>Methods: </strong>A total of 465 cases of SCD were identified among participants of the prospective Nurses' Health Study (NHS). Control days were selected from all other matching days of the week within the same month as the case day. Average ambient temperature on the current day (Lag<sub>0</sub>) and preceding 27 days (Lags<sub>1-27</sub>) was determined at the residence level using 800-m resolution estimates. Conditional logistic distributed lag nonlinear models (DLNMs) were used to assess the relative risk (RR) of the full range of temperature exposures over the lag period.</p><p><strong>Results: </strong>Warmer exposures in the days before event and colder temperatures 21-28 days prior were associated with increased risks of SCD. These results were driven by associations in regions other than the Northeast and among married women.</p><p><strong>Conclusions: </strong>Both warm and cold ambient temperatures are suggestively associated with risks of SCD among middle-aged and older women living across the United States.</p>","PeriodicalId":11713,"journal":{"name":"Environmental Epidemiology","volume":"8 4","pages":"e322"},"PeriodicalIF":3.8000,"publicationDate":"2024-07-08","publicationTypes":"Journal Article","fieldsOfStudy":null,"isOpenAccess":false,"openAccessPdf":"https://www.ncbi.nlm.nih.gov/pmc/articles/PMC11233109/pdf/","citationCount":"0","resultStr":"{\"title\":\"Short-term exposures to temperature and risk of sudden cardiac death in women: A case-crossover analysis in the Nurses' Health Study.\",\"authors\":\"Jaime E Hart, Cindy R Hu, Jeff D Yanosky, Isabel Holland, Hari S Iyer, William Borchert, Francine Laden, Christine M Albert\",\"doi\":\"10.1097/EE9.0000000000000322\",\"DOIUrl\":null,\"url\":null,\"abstract\":\"<p><strong>Background: </strong>Sudden cardiac death (SCD) is a major source of mortality and is the first manifestation of heart disease for most cases. Thus, there is a definite need to identify risk factors for SCD that can be modified on the population level. Short-term exposures to temperature have been implicated as a potential risk factor. Our objective was to determine if short-term temperature exposures were associated with increased risk of SCD in a US-based time-stratified case-crossover study.</p><p><strong>Methods: </strong>A total of 465 cases of SCD were identified among participants of the prospective Nurses' Health Study (NHS). Control days were selected from all other matching days of the week within the same month as the case day. Average ambient temperature on the current day (Lag<sub>0</sub>) and preceding 27 days (Lags<sub>1-27</sub>) was determined at the residence level using 800-m resolution estimates. Conditional logistic distributed lag nonlinear models (DLNMs) were used to assess the relative risk (RR) of the full range of temperature exposures over the lag period.</p><p><strong>Results: </strong>Warmer exposures in the days before event and colder temperatures 21-28 days prior were associated with increased risks of SCD. These results were driven by associations in regions other than the Northeast and among married women.</p><p><strong>Conclusions: </strong>Both warm and cold ambient temperatures are suggestively associated with risks of SCD among middle-aged and older women living across the United States.</p>\",\"PeriodicalId\":11713,\"journal\":{\"name\":\"Environmental Epidemiology\",\"volume\":\"8 4\",\"pages\":\"e322\"},\"PeriodicalIF\":3.8000,\"publicationDate\":\"2024-07-08\",\"publicationTypes\":\"Journal Article\",\"fieldsOfStudy\":null,\"isOpenAccess\":false,\"openAccessPdf\":\"https://www.ncbi.nlm.nih.gov/pmc/articles/PMC11233109/pdf/\",\"citationCount\":\"0\",\"resultStr\":null,\"platform\":\"Semanticscholar\",\"paperid\":null,\"PeriodicalName\":\"Environmental Epidemiology\",\"FirstCategoryId\":\"1085\",\"ListUrlMain\":\"https://doi.org/10.1097/EE9.0000000000000322\",\"RegionNum\":0,\"RegionCategory\":null,\"ArticlePicture\":[],\"TitleCN\":null,\"AbstractTextCN\":null,\"PMCID\":null,\"EPubDate\":\"2024/8/1 0:00:00\",\"PubModel\":\"eCollection\",\"JCR\":\"Q2\",\"JCRName\":\"ENVIRONMENTAL SCIENCES\",\"Score\":null,\"Total\":0}","platform":"Semanticscholar","paperid":null,"PeriodicalName":"Environmental Epidemiology","FirstCategoryId":"1085","ListUrlMain":"https://doi.org/10.1097/EE9.0000000000000322","RegionNum":0,"RegionCategory":null,"ArticlePicture":[],"TitleCN":null,"AbstractTextCN":null,"PMCID":null,"EPubDate":"2024/8/1 0:00:00","PubModel":"eCollection","JCR":"Q2","JCRName":"ENVIRONMENTAL SCIENCES","Score":null,"Total":0}
引用次数: 0

摘要

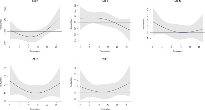
背景:心脏性猝死(SCD)是导致死亡的主要原因,也是大多数心脏病患者的首发症状。因此,亟需确定可在人群中改变的 SCD 风险因素。短期暴露于温度被认为是一个潜在的风险因素。我们的目的是在一项基于美国的时间分层病例交叉研究中确定短期温度暴露是否与 SCD 风险增加有关:方法:在前瞻性护士健康研究(NHS)的参与者中共发现了 465 例 SCD 病例。对照日选自与病例日同月的一周中所有其他匹配日。当日(Lag0)和前 27 天(Lags1-27)的平均环境温度是使用 800 米分辨率估算值在居住地水平上确定的。条件逻辑分布式滞后非线性模型(DLNM)用于评估滞后期内所有温度暴露的相对风险(RR):事件发生前几天的气温较高和发生前 21-28 天的气温较低与 SCD 风险增加有关。这些结果与东北部以外地区和已婚妇女的相关性有关:在美国各地生活的中老年妇女中,温暖和寒冷的环境温度都与 SCD 风险有提示性关联。
本文章由计算机程序翻译,如有差异,请以英文原文为准。

Short-term exposures to temperature and risk of sudden cardiac death in women: A case-crossover analysis in the Nurses' Health Study.

Short-term exposures to temperature and risk of sudden cardiac death in women: A case-crossover analysis in the Nurses' Health Study.

Short-term exposures to temperature and risk of sudden cardiac death in women: A case-crossover analysis in the Nurses' Health Study.

Short-term exposures to temperature and risk of sudden cardiac death in women: A case-crossover analysis in the Nurses' Health Study.

Background: Sudden cardiac death (SCD) is a major source of mortality and is the first manifestation of heart disease for most cases. Thus, there is a definite need to identify risk factors for SCD that can be modified on the population level. Short-term exposures to temperature have been implicated as a potential risk factor. Our objective was to determine if short-term temperature exposures were associated with increased risk of SCD in a US-based time-stratified case-crossover study.

Methods: A total of 465 cases of SCD were identified among participants of the prospective Nurses' Health Study (NHS). Control days were selected from all other matching days of the week within the same month as the case day. Average ambient temperature on the current day (Lag0) and preceding 27 days (Lags1-27) was determined at the residence level using 800-m resolution estimates. Conditional logistic distributed lag nonlinear models (DLNMs) were used to assess the relative risk (RR) of the full range of temperature exposures over the lag period.

Results: Warmer exposures in the days before event and colder temperatures 21-28 days prior were associated with increased risks of SCD. These results were driven by associations in regions other than the Northeast and among married women.

Conclusions: Both warm and cold ambient temperatures are suggestively associated with risks of SCD among middle-aged and older women living across the United States.

求助全文
通过发布文献求助,成功后即可免费获取论文全文。 去求助
来源期刊
Environmental Epidemiology
Environmental Epidemiology Medicine-Public Health, Environmental and Occupational Health
CiteScore
5.70
自引率
2.80%
发文量
71
审稿时长
25 weeks
×
引用
GB/T 7714-2015
复制
MLA
复制
APA
复制
导出至
BibTeX EndNote RefMan NoteFirst NoteExpress
×
提示
您的信息不完整,为了账户安全,请先补充。
现在去补充
×
提示
您因"违规操作"
具体请查看互助需知
我知道了
×
提示
确定
请完成安全验证×
copy
已复制链接
快去分享给好友吧!
我知道了
右上角分享
点击右上角分享
0
联系我们:info@booksci.cn Book学术提供免费学术资源搜索服务,方便国内外学者检索中英文文献。致力于提供最便捷和优质的服务体验。 Copyright © 2023 布克学术 All rights reserved.
京ICP备2023020795号-1
ghs 京公网安备 11010802042870号
Book学术文献互助
Book学术文献互助群
群 号:604180095
Book学术官方微信