淋巴细胞与单核细胞比率预测伴有胰腺浸润性癌的导管内乳头状黏液性肿瘤的生存率:一个高流量中心的研究结果。

IF 1.2 3区 医学 Q3 GASTROENTEROLOGY & HEPATOLOGY
Digestive Surgery Pub Date : 2024-01-01 Epub Date: 2024-07-18 DOI:10.1159/000540181
Ming Cui, Ya Hu, Bang Zheng, Tianqi Chen, Menghua Dai, Junchao Guo, Taiping Zhang, Jun Yu, Quan Liao, Yupei Zhao
{"title":"淋巴细胞与单核细胞比率预测伴有胰腺浸润性癌的导管内乳头状黏液性肿瘤的生存率:一个高流量中心的研究结果。","authors":"Ming Cui, Ya Hu, Bang Zheng, Tianqi Chen, Menghua Dai, Junchao Guo, Taiping Zhang, Jun Yu, Quan Liao, Yupei Zhao","doi":"10.1159/000540181","DOIUrl":null,"url":null,"abstract":"<p><strong>Introduction: </strong>Intraductal papillary mucinous neoplasm (IPMN) is an important precursor lesion of pancreatic cancer. Systemic inflammatory parameters are widely used in the prognosis prediction of cancer; however, their prognostic implications in IPMN with associated invasive carcinoma (IPMN-INV) are unclear. This study aims to explore the prognostic value of systemic inflammatory parameters in patients with IPMN-INV.</p><p><strong>Methods: </strong>From 2015 to 2021, patients with pathologically confirmed IPMN who underwent surgical resection at Peking Union Medical College Hospital were enrolled. The clinical, radiological, and pathological data of the enrolled patients were collected and analyzed. Preoperative systemic inflammatory parameters were calculated as previously reported.</p><p><strong>Results: </strong>Eighty-six patients with IPMN-INV met the inclusion criteria. The lymphocyte-to-monocyte ratio (LMR) was the only systemic inflammatory parameter independently associated with the cancer-specific survival (CSS). An LMR higher than 3.5 was significantly associated with a favorable CSS in univariate (hazard ratio [HR] 0.305, p = 0.003) and multivariate analyses (HR 0.221, p = 0.001). Other independently prognostic factors included the presence of clinical symptoms, cyst size, N stage, and tumor differentiation. Additionally, a model including LMR was established for the prognosis prediction of IPMN-INV and had a C-index of 0.809.</p><p><strong>Conclusions: </strong>Preoperative LMR could serve as a feasible prognostic biomarker for IPMN-INV. A decreased LMR (cutoff value of 3.5) was an independent predictor of poor survival for IPMN-INV.</p>","PeriodicalId":11241,"journal":{"name":"Digestive Surgery","volume":" ","pages":"111-121"},"PeriodicalIF":1.2000,"publicationDate":"2024-01-01","publicationTypes":"Journal Article","fieldsOfStudy":null,"isOpenAccess":false,"openAccessPdf":"https://www.ncbi.nlm.nih.gov/pmc/articles/PMC11382638/pdf/","citationCount":"0","resultStr":"{\"title\":\"Lymphocyte-to-Monocyte Ratio Predicts Survival for Intraductal Papillary Mucinous Neoplasm with Associated Invasive Carcinoma of the Pancreas: Results from a High-Volume Center.\",\"authors\":\"Ming Cui, Ya Hu, Bang Zheng, Tianqi Chen, Menghua Dai, Junchao Guo, Taiping Zhang, Jun Yu, Quan Liao, Yupei Zhao\",\"doi\":\"10.1159/000540181\",\"DOIUrl\":null,\"url\":null,\"abstract\":\"<p><strong>Introduction: </strong>Intraductal papillary mucinous neoplasm (IPMN) is an important precursor lesion of pancreatic cancer. Systemic inflammatory parameters are widely used in the prognosis prediction of cancer; however, their prognostic implications in IPMN with associated invasive carcinoma (IPMN-INV) are unclear. This study aims to explore the prognostic value of systemic inflammatory parameters in patients with IPMN-INV.</p><p><strong>Methods: </strong>From 2015 to 2021, patients with pathologically confirmed IPMN who underwent surgical resection at Peking Union Medical College Hospital were enrolled. The clinical, radiological, and pathological data of the enrolled patients were collected and analyzed. Preoperative systemic inflammatory parameters were calculated as previously reported.</p><p><strong>Results: </strong>Eighty-six patients with IPMN-INV met the inclusion criteria. The lymphocyte-to-monocyte ratio (LMR) was the only systemic inflammatory parameter independently associated with the cancer-specific survival (CSS). An LMR higher than 3.5 was significantly associated with a favorable CSS in univariate (hazard ratio [HR] 0.305, p = 0.003) and multivariate analyses (HR 0.221, p = 0.001). Other independently prognostic factors included the presence of clinical symptoms, cyst size, N stage, and tumor differentiation. Additionally, a model including LMR was established for the prognosis prediction of IPMN-INV and had a C-index of 0.809.</p><p><strong>Conclusions: </strong>Preoperative LMR could serve as a feasible prognostic biomarker for IPMN-INV. A decreased LMR (cutoff value of 3.5) was an independent predictor of poor survival for IPMN-INV.</p>\",\"PeriodicalId\":11241,\"journal\":{\"name\":\"Digestive Surgery\",\"volume\":\" \",\"pages\":\"111-121\"},\"PeriodicalIF\":1.2000,\"publicationDate\":\"2024-01-01\",\"publicationTypes\":\"Journal Article\",\"fieldsOfStudy\":null,\"isOpenAccess\":false,\"openAccessPdf\":\"https://www.ncbi.nlm.nih.gov/pmc/articles/PMC11382638/pdf/\",\"citationCount\":\"0\",\"resultStr\":null,\"platform\":\"Semanticscholar\",\"paperid\":null,\"PeriodicalName\":\"Digestive Surgery\",\"FirstCategoryId\":\"3\",\"ListUrlMain\":\"https://doi.org/10.1159/000540181\",\"RegionNum\":3,\"RegionCategory\":\"医学\",\"ArticlePicture\":[],\"TitleCN\":null,\"AbstractTextCN\":null,\"PMCID\":null,\"EPubDate\":\"2024/7/18 0:00:00\",\"PubModel\":\"Epub\",\"JCR\":\"Q3\",\"JCRName\":\"GASTROENTEROLOGY & HEPATOLOGY\",\"Score\":null,\"Total\":0}","platform":"Semanticscholar","paperid":null,"PeriodicalName":"Digestive Surgery","FirstCategoryId":"3","ListUrlMain":"https://doi.org/10.1159/000540181","RegionNum":3,"RegionCategory":"医学","ArticlePicture":[],"TitleCN":null,"AbstractTextCN":null,"PMCID":null,"EPubDate":"2024/7/18 0:00:00","PubModel":"Epub","JCR":"Q3","JCRName":"GASTROENTEROLOGY & HEPATOLOGY","Score":null,"Total":0}
引用次数: 0

摘要

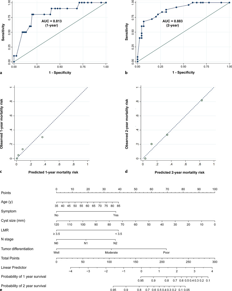
背景:导管内乳头状粘液瘤(IPMN导管内乳头状粘液瘤(IPMN)是胰腺癌的重要前驱病变。全身炎症指标被广泛用于癌症的预后预测;然而,这些指标对伴有浸润性癌(IPMN-INV)的 IPMN 的预后影响尚不明确。本研究旨在探讨全身炎症指标在IPMN-INV患者中的预后价值:方法:2015 年至 2021 年,在北京协和医院接受手术切除的病理确诊 IPMN 患者入组。收集并分析入选患者的临床、放射学和病理学数据。术前全身炎症指标的计算方法与之前的报告相同:结果:86 例 IPMN-INV 患者符合纳入标准。淋巴细胞与单核细胞比值(LMR)是唯一与癌症特异性生存率(CSS)独立相关的全身炎症参数。在单变量分析(危险比 (HR) 0.305,P = 0.003)和多变量分析(HR 0.221,P = 0.001)中,LMR 高于 3.5 与良好的 CSS 显著相关。其他独立的预后因素包括临床症状、囊肿大小、N 分期和肿瘤分化。此外,还建立了一个包括 LMR 的 IPMN-INV 预后预测模型,其 C 指数为 0.809:结论:术前LMR可作为IPMN-INV可行的预后生物标志物。LMR下降(临界值为3.5)是IPMN-INV生存率低的独立预测因子。
本文章由计算机程序翻译,如有差异,请以英文原文为准。

Lymphocyte-to-Monocyte Ratio Predicts Survival for Intraductal Papillary Mucinous Neoplasm with Associated Invasive Carcinoma of the Pancreas: Results from a High-Volume Center.

Lymphocyte-to-Monocyte Ratio Predicts Survival for Intraductal Papillary Mucinous Neoplasm with Associated Invasive Carcinoma of the Pancreas: Results from a High-Volume Center.

Lymphocyte-to-Monocyte Ratio Predicts Survival for Intraductal Papillary Mucinous Neoplasm with Associated Invasive Carcinoma of the Pancreas: Results from a High-Volume Center.

Lymphocyte-to-Monocyte Ratio Predicts Survival for Intraductal Papillary Mucinous Neoplasm with Associated Invasive Carcinoma of the Pancreas: Results from a High-Volume Center.

Introduction: Intraductal papillary mucinous neoplasm (IPMN) is an important precursor lesion of pancreatic cancer. Systemic inflammatory parameters are widely used in the prognosis prediction of cancer; however, their prognostic implications in IPMN with associated invasive carcinoma (IPMN-INV) are unclear. This study aims to explore the prognostic value of systemic inflammatory parameters in patients with IPMN-INV.

Methods: From 2015 to 2021, patients with pathologically confirmed IPMN who underwent surgical resection at Peking Union Medical College Hospital were enrolled. The clinical, radiological, and pathological data of the enrolled patients were collected and analyzed. Preoperative systemic inflammatory parameters were calculated as previously reported.

Results: Eighty-six patients with IPMN-INV met the inclusion criteria. The lymphocyte-to-monocyte ratio (LMR) was the only systemic inflammatory parameter independently associated with the cancer-specific survival (CSS). An LMR higher than 3.5 was significantly associated with a favorable CSS in univariate (hazard ratio [HR] 0.305, p = 0.003) and multivariate analyses (HR 0.221, p = 0.001). Other independently prognostic factors included the presence of clinical symptoms, cyst size, N stage, and tumor differentiation. Additionally, a model including LMR was established for the prognosis prediction of IPMN-INV and had a C-index of 0.809.

Conclusions: Preoperative LMR could serve as a feasible prognostic biomarker for IPMN-INV. A decreased LMR (cutoff value of 3.5) was an independent predictor of poor survival for IPMN-INV.

求助全文
通过发布文献求助,成功后即可免费获取论文全文。 去求助
来源期刊
Digestive Surgery
Digestive Surgery 医学-外科
CiteScore
4.90
自引率
3.70%
发文量
25
审稿时长
3 months
期刊介绍: ''Digestive Surgery'' presents a comprehensive overview in the field of gastrointestinal surgery. Interdisciplinary in scope, the journal keeps the specialist aware of advances in all fields that contribute to improvements in the diagnosis and treatment of gastrointestinal disease. Particular emphasis is given to articles that evaluate not only recent clinical developments, especially clinical trials and technical innovations such as new endoscopic and laparoscopic procedures, but also relevant translational research. Each contribution is carefully aligned with the need of the digestive surgeon. Thus, the journal is an important component of the continuing medical education of surgeons who want their practice to benefit from a familiarity with new knowledge in all its dimensions.
×
引用
GB/T 7714-2015
复制
MLA
复制
APA
复制
导出至
BibTeX EndNote RefMan NoteFirst NoteExpress
×
提示
您的信息不完整,为了账户安全,请先补充。
现在去补充
×
提示
您因"违规操作"
具体请查看互助需知
我知道了
×
提示
确定
请完成安全验证×
copy
已复制链接
快去分享给好友吧!
我知道了
右上角分享
点击右上角分享
0
联系我们:info@booksci.cn Book学术提供免费学术资源搜索服务,方便国内外学者检索中英文文献。致力于提供最便捷和优质的服务体验。 Copyright © 2023 布克学术 All rights reserved.
京ICP备2023020795号-1
ghs 京公网安备 11010802042870号
Book学术文献互助
Book学术文献互助群
群 号:604180095
Book学术官方微信