减肥手术的减重和代谢结果是否受糖皮质激素受体候选基因多态性的影响?一项前瞻性研究。

IF 3.1 4区 生物学 Q2 ENDOCRINOLOGY & METABOLISM
Adipocyte Pub Date : 2024-12-01 Epub Date: 2024-07-09 DOI:10.1080/21623945.2024.2369776
Zohaib Iqbal, Senthil Kandaswamy Vasan, Helene Fachim, John Warner-Levy, Rachelle P Donn, Basil J Ammori, Adrian H Heald, Handrean Soran, Akheel A Syed
{"title":"减肥手术的减重和代谢结果是否受糖皮质激素受体候选基因多态性的影响?一项前瞻性研究。","authors":"Zohaib Iqbal, Senthil Kandaswamy Vasan, Helene Fachim, John Warner-Levy, Rachelle P Donn, Basil J Ammori, Adrian H Heald, Handrean Soran, Akheel A Syed","doi":"10.1080/21623945.2024.2369776","DOIUrl":null,"url":null,"abstract":"<p><strong>Background: </strong>Bariatric surgery is the most effective treatment for severe obesity. There can be variation in the degree of weight reduction following bariatric surgery. It is unknown whether single nucleotide polymorphisms (SNPs) in the glucocorticoid receptor locus (GRL) affect postoperative weight loss and metabolic outcomes.</p><p><strong>Materials/methods: </strong>We studied the association between selected candidate SNPs and postoperative weight loss and metabolic outcomes in patients with severe obesity undergoing bariatric surgery. The polymorphisms rs41423247 (Bcl1), rs56149945 (N363S) and rs6189/rs6190 (ER22/23EK) were analysed.</p><p><strong>Results: </strong>The 139 participants included 95 women (68.3%) and had a median (interquartile range) age of 53.0 (46.0-60.0) years and mean (SD) weight of 140.8 (28.8) kg and body mass index of 50.3 (8.6) kg/m2. At baseline, 59 patients had type 2 diabetes (T2D), 60 had hypertension and 35 had obstructive sleep apnoea syndrome treated with continuous positive airway pressure (CPAP). 84 patients (60.4%) underwent gastric bypass and 55 (39.6%) underwent sleeve gastrectomy. There were no significant differences in weight loss, glycated haemoglobin (HbA1c) or lipid profile categorized by genotype status, sex or median age. There was significant weight reduction after bariatric surgery with a postoperative BMI of 34.1 (6.8) kg/m2 at 24 months (<i>p</i> < 0.001).</p><p><strong>Conclusion: </strong>While GRL polymorphisms with a known deleterious effect on adipose tissue mass and function may have a small, additive effect on the prevalence of obesity and related metabolic disorders in the population, we suggest that the relatively weak biological influence of these SNPs is readily overcome by bariatric surgery.</p>","PeriodicalId":7226,"journal":{"name":"Adipocyte","volume":"13 1","pages":"2369776"},"PeriodicalIF":3.1000,"publicationDate":"2024-12-01","publicationTypes":"Journal Article","fieldsOfStudy":null,"isOpenAccess":false,"openAccessPdf":"https://www.ncbi.nlm.nih.gov/pmc/articles/PMC11238915/pdf/","citationCount":"0","resultStr":"{\"title\":\"Are weight loss and metabolic outcomes of bariatric surgery influenced by candidate glucocorticoid receptor gene polymorphisms? A prospective study.\",\"authors\":\"Zohaib Iqbal, Senthil Kandaswamy Vasan, Helene Fachim, John Warner-Levy, Rachelle P Donn, Basil J Ammori, Adrian H Heald, Handrean Soran, Akheel A Syed\",\"doi\":\"10.1080/21623945.2024.2369776\",\"DOIUrl\":null,\"url\":null,\"abstract\":\"<p><strong>Background: </strong>Bariatric surgery is the most effective treatment for severe obesity. There can be variation in the degree of weight reduction following bariatric surgery. It is unknown whether single nucleotide polymorphisms (SNPs) in the glucocorticoid receptor locus (GRL) affect postoperative weight loss and metabolic outcomes.</p><p><strong>Materials/methods: </strong>We studied the association between selected candidate SNPs and postoperative weight loss and metabolic outcomes in patients with severe obesity undergoing bariatric surgery. The polymorphisms rs41423247 (Bcl1), rs56149945 (N363S) and rs6189/rs6190 (ER22/23EK) were analysed.</p><p><strong>Results: </strong>The 139 participants included 95 women (68.3%) and had a median (interquartile range) age of 53.0 (46.0-60.0) years and mean (SD) weight of 140.8 (28.8) kg and body mass index of 50.3 (8.6) kg/m2. At baseline, 59 patients had type 2 diabetes (T2D), 60 had hypertension and 35 had obstructive sleep apnoea syndrome treated with continuous positive airway pressure (CPAP). 84 patients (60.4%) underwent gastric bypass and 55 (39.6%) underwent sleeve gastrectomy. There were no significant differences in weight loss, glycated haemoglobin (HbA1c) or lipid profile categorized by genotype status, sex or median age. There was significant weight reduction after bariatric surgery with a postoperative BMI of 34.1 (6.8) kg/m2 at 24 months (<i>p</i> < 0.001).</p><p><strong>Conclusion: </strong>While GRL polymorphisms with a known deleterious effect on adipose tissue mass and function may have a small, additive effect on the prevalence of obesity and related metabolic disorders in the population, we suggest that the relatively weak biological influence of these SNPs is readily overcome by bariatric surgery.</p>\",\"PeriodicalId\":7226,\"journal\":{\"name\":\"Adipocyte\",\"volume\":\"13 1\",\"pages\":\"2369776\"},\"PeriodicalIF\":3.1000,\"publicationDate\":\"2024-12-01\",\"publicationTypes\":\"Journal Article\",\"fieldsOfStudy\":null,\"isOpenAccess\":false,\"openAccessPdf\":\"https://www.ncbi.nlm.nih.gov/pmc/articles/PMC11238915/pdf/\",\"citationCount\":\"0\",\"resultStr\":null,\"platform\":\"Semanticscholar\",\"paperid\":null,\"PeriodicalName\":\"Adipocyte\",\"FirstCategoryId\":\"99\",\"ListUrlMain\":\"https://doi.org/10.1080/21623945.2024.2369776\",\"RegionNum\":4,\"RegionCategory\":\"生物学\",\"ArticlePicture\":[],\"TitleCN\":null,\"AbstractTextCN\":null,\"PMCID\":null,\"EPubDate\":\"2024/7/9 0:00:00\",\"PubModel\":\"Epub\",\"JCR\":\"Q2\",\"JCRName\":\"ENDOCRINOLOGY & METABOLISM\",\"Score\":null,\"Total\":0}","platform":"Semanticscholar","paperid":null,"PeriodicalName":"Adipocyte","FirstCategoryId":"99","ListUrlMain":"https://doi.org/10.1080/21623945.2024.2369776","RegionNum":4,"RegionCategory":"生物学","ArticlePicture":[],"TitleCN":null,"AbstractTextCN":null,"PMCID":null,"EPubDate":"2024/7/9 0:00:00","PubModel":"Epub","JCR":"Q2","JCRName":"ENDOCRINOLOGY & METABOLISM","Score":null,"Total":0}
引用次数: 0

摘要

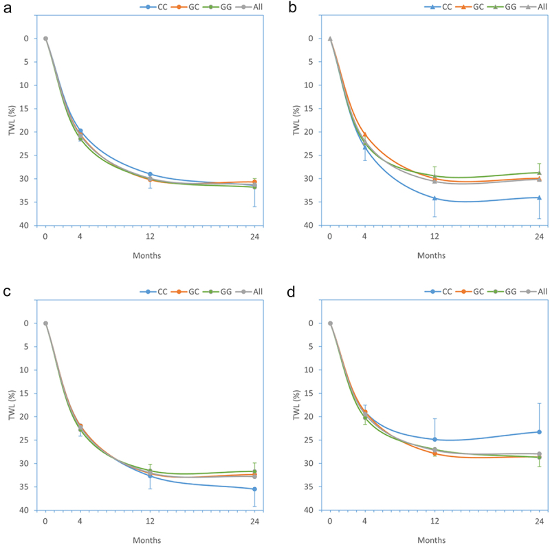
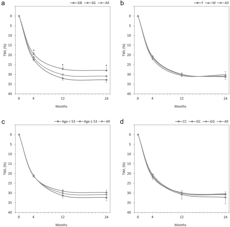
背景:减肥手术是治疗严重肥胖症最有效的方法。减肥手术后体重的减轻程度可能存在差异。糖皮质激素受体位点(GRL)的单核苷酸多态性(SNPs)是否会影响术后体重减轻和代谢结果,目前尚不清楚:我们研究了在接受减肥手术的重度肥胖患者中选定的候选 SNP 与术后体重减轻和代谢结果之间的关系。分析了多态性 rs41423247(Bcl1)、rs56149945(N363S)和 rs6189/rs6190(ER22/23EK):139 名参与者中有 95 名女性(68.3%),年龄中位数(四分位数间距)为 53.0(46.0-60.0)岁,平均(标清)体重为 140.8(28.8)公斤,体重指数为 50.3(8.6)公斤/平方米。基线时,59 名患者患有 2 型糖尿病(T2D),60 名患者患有高血压,35 名患者患有阻塞性睡眠呼吸暂停综合征,并接受了持续气道正压(CPAP)治疗。84 名患者(60.4%)接受了胃旁路手术,55 名患者(39.6%)接受了袖状胃切除术。按基因型状态、性别或年龄中位数分类,体重减轻、糖化血红蛋白(HbA1c)或血脂概况无明显差异。减肥手术后体重明显降低,术后 24 个月的体重指数为 34.1 (6.8) kg/m2(p 结论:GRL 多态性与体重指数之间的关系并不明显:虽然已知对脂肪组织质量和功能有有害影响的 GRL 多态性可能对人群中肥胖和相关代谢紊乱的患病率有微小的叠加效应,但我们认为减肥手术很容易克服这些 SNPs 相对较弱的生物学影响。
本文章由计算机程序翻译,如有差异,请以英文原文为准。

Are weight loss and metabolic outcomes of bariatric surgery influenced by candidate glucocorticoid receptor gene polymorphisms? A prospective study.

Are weight loss and metabolic outcomes of bariatric surgery influenced by candidate glucocorticoid receptor gene polymorphisms? A prospective study.

Are weight loss and metabolic outcomes of bariatric surgery influenced by candidate glucocorticoid receptor gene polymorphisms? A prospective study.

Are weight loss and metabolic outcomes of bariatric surgery influenced by candidate glucocorticoid receptor gene polymorphisms? A prospective study.

Background: Bariatric surgery is the most effective treatment for severe obesity. There can be variation in the degree of weight reduction following bariatric surgery. It is unknown whether single nucleotide polymorphisms (SNPs) in the glucocorticoid receptor locus (GRL) affect postoperative weight loss and metabolic outcomes.

Materials/methods: We studied the association between selected candidate SNPs and postoperative weight loss and metabolic outcomes in patients with severe obesity undergoing bariatric surgery. The polymorphisms rs41423247 (Bcl1), rs56149945 (N363S) and rs6189/rs6190 (ER22/23EK) were analysed.

Results: The 139 participants included 95 women (68.3%) and had a median (interquartile range) age of 53.0 (46.0-60.0) years and mean (SD) weight of 140.8 (28.8) kg and body mass index of 50.3 (8.6) kg/m2. At baseline, 59 patients had type 2 diabetes (T2D), 60 had hypertension and 35 had obstructive sleep apnoea syndrome treated with continuous positive airway pressure (CPAP). 84 patients (60.4%) underwent gastric bypass and 55 (39.6%) underwent sleeve gastrectomy. There were no significant differences in weight loss, glycated haemoglobin (HbA1c) or lipid profile categorized by genotype status, sex or median age. There was significant weight reduction after bariatric surgery with a postoperative BMI of 34.1 (6.8) kg/m2 at 24 months (p < 0.001).

Conclusion: While GRL polymorphisms with a known deleterious effect on adipose tissue mass and function may have a small, additive effect on the prevalence of obesity and related metabolic disorders in the population, we suggest that the relatively weak biological influence of these SNPs is readily overcome by bariatric surgery.

求助全文
通过发布文献求助,成功后即可免费获取论文全文。 去求助
来源期刊
Adipocyte
Adipocyte Medicine-Histology
CiteScore
6.50
自引率
3.00%
发文量
46
审稿时长
32 weeks
期刊介绍: Adipocyte recognizes that the adipose tissue is the largest endocrine organ in the body, and explores the link between dysfunctional adipose tissue and the growing number of chronic diseases including diabetes, hypertension, cardiovascular disease and cancer. Historically, the primary function of the adipose tissue was limited to energy storage and thermoregulation. However, a plethora of research over the past 3 decades has recognized the dynamic role of the adipose tissue and its contribution to a variety of physiological processes including reproduction, angiogenesis, apoptosis, inflammation, blood pressure, coagulation, fibrinolysis, immunity and general metabolic homeostasis. The field of Adipose Tissue research has grown tremendously, and Adipocyte is the first international peer-reviewed journal of its kind providing a multi-disciplinary forum for research focusing exclusively on all aspects of adipose tissue physiology and pathophysiology. Adipocyte accepts high-profile submissions in basic, translational and clinical research.
×
引用
GB/T 7714-2015
复制
MLA
复制
APA
复制
导出至
BibTeX EndNote RefMan NoteFirst NoteExpress
×
提示
您的信息不完整,为了账户安全,请先补充。
现在去补充
×
提示
您因"违规操作"
具体请查看互助需知
我知道了
×
提示
确定
请完成安全验证×
copy
已复制链接
快去分享给好友吧!
我知道了
右上角分享
点击右上角分享
0
联系我们:info@booksci.cn Book学术提供免费学术资源搜索服务,方便国内外学者检索中英文文献。致力于提供最便捷和优质的服务体验。 Copyright © 2023 布克学术 All rights reserved.
京ICP备2023020795号-1
ghs 京公网安备 11010802042870号
Book学术文献互助
Book学术文献互助群
群 号:604180095
Book学术官方微信