接受 VATS 肺部手术的老年患者围手术期心房颤动的风险因素和预后:回顾性队列研究

IF 2.8 Q2 PERIPHERAL VASCULAR DISEASE
Vascular Health and Risk Management Pub Date : 2024-07-03 eCollection Date: 2024-01-01 DOI:10.2147/VHRM.S463648
Yue Han, Chao Guo, Qianmei Zhu, Zijia Liu, Yuelun Zhang, Shanqing Li, Le Shen
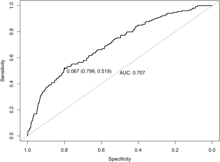
{"title":"接受 VATS 肺部手术的老年患者围手术期心房颤动的风险因素和预后:回顾性队列研究","authors":"Yue Han, Chao Guo, Qianmei Zhu, Zijia Liu, Yuelun Zhang, Shanqing Li, Le Shen","doi":"10.2147/VHRM.S463648","DOIUrl":null,"url":null,"abstract":"<p><strong>Background: </strong>Atrial fibrillation (AF) has become the most common postoperative arrhythmia of thoracic surgery. This study aimed to investigate the risk factors and complications of perioperative atrial fibrillation (PoAF) in elderly patients who underwent video-assisted thoracoscopic surgery (VATS).</p><p><strong>Methods: </strong>Data were collected from patients who underwent VATS between January 2013 and December 2022 at Peking Union Medical College Hospital (PUMCH). Univariable analyses and multivariable logistic regression analyses were used to determine the factors correlated with PoAF. Receiver operating characteristic (ROC) curve was used to evaluate the discrimination of the indicators to predict PoAF.</p><p><strong>Results: </strong>The study enrolled 2920 patients, with a PoAF incidence of 5.2% (95% CI 4.4%-6.0%). In the logistic regression analyses, male sex (OR=1.496, 95% CI 1.056-2.129, <i>P</i>=0.024), left atrial anteroposterior dimension (LAD) ≥40 mm (OR=2.154, 95% CI 1.235-3.578, <i>P</i>=0.004), hypertension (HTN) without regular treatment (OR=2.044, 95% CI 0.961-3.921, <i>P</i>=0.044), a history of hyperthyroidism (OR=4.443, 95% CI 0.947-15.306, <i>P</i>=0.030), surgery of the left upper lobe (compared to other lung lobes) (OR=1.625, 95% CI 1.139-2.297, <i>P</i>=0.007), postoperative high blood glucose (BG) (OR=2.482, 95% CI 0.912-5.688, <i>P</i>=0.048), and the time of chest tube removal (per day postoperatively) (OR=1.116, 95% CI 1.038-1.195, <i>P</i>=0.002) were found to be significantly associated with PoAF. The area under the ROC curve was 0.707 (95% CI 0.519-0.799). 86.9% patients were successfully converted to sinus rhythm. Compared with the non-PoAF group, the PoAF group had significantly greater risks of prolonged air leakage, postoperative acute coronary syndrome, longer ICU stays, and longer hospital stays.</p><p><strong>Conclusion: </strong>Male sex, LAD≥40 mm, HTN without regular treatment, a history of hyperthyroidism, surgery of the left upper lobe, postoperative BG, and the time of chest tube removal were associated with PoAF. These findings may help clinicians identify high-risk patients and take preventive measures to minimize the incidence and adverse prognosis of PoAF.</p>","PeriodicalId":23597,"journal":{"name":"Vascular Health and Risk Management","volume":"20 ","pages":"289-299"},"PeriodicalIF":2.8000,"publicationDate":"2024-07-03","publicationTypes":"Journal Article","fieldsOfStudy":null,"isOpenAccess":false,"openAccessPdf":"https://www.ncbi.nlm.nih.gov/pmc/articles/PMC11230124/pdf/","citationCount":"0","resultStr":"{\"title\":\"Risk Factors and Prognosis of Perioperative Atrial Fibrillation in Elderly Patients Undergoing VATS Lung Surgery: A Retrospective Cohort Study.\",\"authors\":\"Yue Han, Chao Guo, Qianmei Zhu, Zijia Liu, Yuelun Zhang, Shanqing Li, Le Shen\",\"doi\":\"10.2147/VHRM.S463648\",\"DOIUrl\":null,\"url\":null,\"abstract\":\"<p><strong>Background: </strong>Atrial fibrillation (AF) has become the most common postoperative arrhythmia of thoracic surgery. This study aimed to investigate the risk factors and complications of perioperative atrial fibrillation (PoAF) in elderly patients who underwent video-assisted thoracoscopic surgery (VATS).</p><p><strong>Methods: </strong>Data were collected from patients who underwent VATS between January 2013 and December 2022 at Peking Union Medical College Hospital (PUMCH). Univariable analyses and multivariable logistic regression analyses were used to determine the factors correlated with PoAF. Receiver operating characteristic (ROC) curve was used to evaluate the discrimination of the indicators to predict PoAF.</p><p><strong>Results: </strong>The study enrolled 2920 patients, with a PoAF incidence of 5.2% (95% CI 4.4%-6.0%). In the logistic regression analyses, male sex (OR=1.496, 95% CI 1.056-2.129, <i>P</i>=0.024), left atrial anteroposterior dimension (LAD) ≥40 mm (OR=2.154, 95% CI 1.235-3.578, <i>P</i>=0.004), hypertension (HTN) without regular treatment (OR=2.044, 95% CI 0.961-3.921, <i>P</i>=0.044), a history of hyperthyroidism (OR=4.443, 95% CI 0.947-15.306, <i>P</i>=0.030), surgery of the left upper lobe (compared to other lung lobes) (OR=1.625, 95% CI 1.139-2.297, <i>P</i>=0.007), postoperative high blood glucose (BG) (OR=2.482, 95% CI 0.912-5.688, <i>P</i>=0.048), and the time of chest tube removal (per day postoperatively) (OR=1.116, 95% CI 1.038-1.195, <i>P</i>=0.002) were found to be significantly associated with PoAF. The area under the ROC curve was 0.707 (95% CI 0.519-0.799). 86.9% patients were successfully converted to sinus rhythm. Compared with the non-PoAF group, the PoAF group had significantly greater risks of prolonged air leakage, postoperative acute coronary syndrome, longer ICU stays, and longer hospital stays.</p><p><strong>Conclusion: </strong>Male sex, LAD≥40 mm, HTN without regular treatment, a history of hyperthyroidism, surgery of the left upper lobe, postoperative BG, and the time of chest tube removal were associated with PoAF. These findings may help clinicians identify high-risk patients and take preventive measures to minimize the incidence and adverse prognosis of PoAF.</p>\",\"PeriodicalId\":23597,\"journal\":{\"name\":\"Vascular Health and Risk Management\",\"volume\":\"20 \",\"pages\":\"289-299\"},\"PeriodicalIF\":2.8000,\"publicationDate\":\"2024-07-03\",\"publicationTypes\":\"Journal Article\",\"fieldsOfStudy\":null,\"isOpenAccess\":false,\"openAccessPdf\":\"https://www.ncbi.nlm.nih.gov/pmc/articles/PMC11230124/pdf/\",\"citationCount\":\"0\",\"resultStr\":null,\"platform\":\"Semanticscholar\",\"paperid\":null,\"PeriodicalName\":\"Vascular Health and Risk Management\",\"FirstCategoryId\":\"1085\",\"ListUrlMain\":\"https://doi.org/10.2147/VHRM.S463648\",\"RegionNum\":0,\"RegionCategory\":null,\"ArticlePicture\":[],\"TitleCN\":null,\"AbstractTextCN\":null,\"PMCID\":null,\"EPubDate\":\"2024/1/1 0:00:00\",\"PubModel\":\"eCollection\",\"JCR\":\"Q2\",\"JCRName\":\"PERIPHERAL VASCULAR DISEASE\",\"Score\":null,\"Total\":0}","platform":"Semanticscholar","paperid":null,"PeriodicalName":"Vascular Health and Risk Management","FirstCategoryId":"1085","ListUrlMain":"https://doi.org/10.2147/VHRM.S463648","RegionNum":0,"RegionCategory":null,"ArticlePicture":[],"TitleCN":null,"AbstractTextCN":null,"PMCID":null,"EPubDate":"2024/1/1 0:00:00","PubModel":"eCollection","JCR":"Q2","JCRName":"PERIPHERAL VASCULAR DISEASE","Score":null,"Total":0}
引用次数: 0

摘要

背景:心房颤动(AF)已成为胸腔镜手术最常见的术后心律失常。本研究旨在调查接受视频辅助胸腔镜手术(VATS)的老年患者围手术期心房颤动(PoAF)的风险因素和并发症:收集2013年1月至2022年12月期间在北京协和医院(PUMCH)接受VATS手术的患者数据。采用单变量分析和多变量逻辑回归分析确定与 PoAF 相关的因素。采用接收者操作特征曲线(ROC)评估预测PoAF指标的区分度:该研究共纳入 2920 名患者,PoAF 发生率为 5.2%(95% CI 4.4%-6.0%)。在逻辑回归分析中,男性(OR=1.496,95% CI 1.056-2.129,P=0.024)、左心房前后径(LAD)≥40 mm(OR=2.154,95% CI 1.235-3。578,P=0.004)、未经正规治疗的高血压(HTN)(OR=2.044,95% CI 0.961-3.921,P=0.044)、甲状腺功能亢进病史(OR=4.443,95% CI 0.947-15.306,P=0.030)、左上叶手术(与其他肺叶相比)(OR=1.625,95% CI 1.139-2.297,P=0.007)、术后高血糖(BG)(OR=2.482,95% CI 0.912-5.688,P=0.048)和拔除胸管时间(术后每天)(OR=1.116,95% CI 1.038-1.195,P=0.002)与 PoAF 显著相关。ROC 曲线下面积为 0.707(95% CI 0.519-0.799)。86.9%的患者成功转为窦性心律。与非PoAF组相比,PoAF组发生漏气时间延长、术后急性冠脉综合征、ICU住院时间延长和住院时间延长的风险明显更高:结论:男性性别、LAD≥40 毫米、高血压(未定期治疗)、甲状腺功能亢进症病史、左上叶手术、术后 BG 和拔除胸管的时间与 PoAF 相关。这些发现有助于临床医生识别高危患者并采取预防措施,以尽量减少 PoAF 的发生率和不良预后。
本文章由计算机程序翻译,如有差异,请以英文原文为准。

Risk Factors and Prognosis of Perioperative Atrial Fibrillation in Elderly Patients Undergoing VATS Lung Surgery: A Retrospective Cohort Study.

Risk Factors and Prognosis of Perioperative Atrial Fibrillation in Elderly Patients Undergoing VATS Lung Surgery: A Retrospective Cohort Study.

Risk Factors and Prognosis of Perioperative Atrial Fibrillation in Elderly Patients Undergoing VATS Lung Surgery: A Retrospective Cohort Study.

Background: Atrial fibrillation (AF) has become the most common postoperative arrhythmia of thoracic surgery. This study aimed to investigate the risk factors and complications of perioperative atrial fibrillation (PoAF) in elderly patients who underwent video-assisted thoracoscopic surgery (VATS).

Methods: Data were collected from patients who underwent VATS between January 2013 and December 2022 at Peking Union Medical College Hospital (PUMCH). Univariable analyses and multivariable logistic regression analyses were used to determine the factors correlated with PoAF. Receiver operating characteristic (ROC) curve was used to evaluate the discrimination of the indicators to predict PoAF.

Results: The study enrolled 2920 patients, with a PoAF incidence of 5.2% (95% CI 4.4%-6.0%). In the logistic regression analyses, male sex (OR=1.496, 95% CI 1.056-2.129, P=0.024), left atrial anteroposterior dimension (LAD) ≥40 mm (OR=2.154, 95% CI 1.235-3.578, P=0.004), hypertension (HTN) without regular treatment (OR=2.044, 95% CI 0.961-3.921, P=0.044), a history of hyperthyroidism (OR=4.443, 95% CI 0.947-15.306, P=0.030), surgery of the left upper lobe (compared to other lung lobes) (OR=1.625, 95% CI 1.139-2.297, P=0.007), postoperative high blood glucose (BG) (OR=2.482, 95% CI 0.912-5.688, P=0.048), and the time of chest tube removal (per day postoperatively) (OR=1.116, 95% CI 1.038-1.195, P=0.002) were found to be significantly associated with PoAF. The area under the ROC curve was 0.707 (95% CI 0.519-0.799). 86.9% patients were successfully converted to sinus rhythm. Compared with the non-PoAF group, the PoAF group had significantly greater risks of prolonged air leakage, postoperative acute coronary syndrome, longer ICU stays, and longer hospital stays.

Conclusion: Male sex, LAD≥40 mm, HTN without regular treatment, a history of hyperthyroidism, surgery of the left upper lobe, postoperative BG, and the time of chest tube removal were associated with PoAF. These findings may help clinicians identify high-risk patients and take preventive measures to minimize the incidence and adverse prognosis of PoAF.

求助全文
通过发布文献求助,成功后即可免费获取论文全文。 去求助
来源期刊
Vascular Health and Risk Management
Vascular Health and Risk Management PERIPHERAL VASCULAR DISEASE-
CiteScore
4.20
自引率
3.40%
发文量
109
审稿时长
16 weeks
期刊介绍: An international, peer-reviewed journal of therapeutics and risk management, focusing on concise rapid reporting of clinical studies on the processes involved in the maintenance of vascular health; the monitoring, prevention, and treatment of vascular disease and its sequelae; and the involvement of metabolic disorders, particularly diabetes. In addition, the journal will also seek to define drug usage in terms of ultimate uptake and acceptance by the patient and healthcare professional.
×
引用
GB/T 7714-2015
复制
MLA
复制
APA
复制
导出至
BibTeX EndNote RefMan NoteFirst NoteExpress
×
提示
您的信息不完整,为了账户安全,请先补充。
现在去补充
×
提示
您因"违规操作"
具体请查看互助需知
我知道了
×
提示
确定
请完成安全验证×
copy
已复制链接
快去分享给好友吧!
我知道了
右上角分享
点击右上角分享
0
联系我们:info@booksci.cn Book学术提供免费学术资源搜索服务,方便国内外学者检索中英文文献。致力于提供最便捷和优质的服务体验。 Copyright © 2023 布克学术 All rights reserved.
京ICP备2023020795号-1
ghs 京公网安备 11010802042870号
Book学术文献互助
Book学术文献互助群
群 号:604180095
Book学术官方微信