利用羊膜提取物负载水凝胶体外培养小鼠前胚泡

IF 2.2 Q2 OBSTETRICS & GYNECOLOGY
Fatemeh Amjad, Hamid Keshvari, Azam Dalman, Leila Montazeri
{"title":"利用羊膜提取物负载水凝胶体外培养小鼠前胚泡","authors":"Fatemeh Amjad, Hamid Keshvari, Azam Dalman, Leila Montazeri","doi":"10.22074/ijfs.2023.1990652.1443","DOIUrl":null,"url":null,"abstract":"<p><p>An artificial ovary based on the alginate (ALG) hydrogel has been widely implemented to preserve prepubertal female fertility. However, this platform is not fully capable of successful an ovary microenvironment simulation for follicle development, holding great potential for its improvement. Therefore, this experimental study aimed to evaluate the effect of an amniotic membrane extract (AME) -loaded hydrogel on the mouse preantral follicles <i>in vitro</i> development. In order to have better follicle development, first, the impact of different concentrations of follicle-stimulating hormone (FSH) was evaluated on the mouse preantral follicles encapsulated in ALG. Later, the appropriate dose was adjusted for the follicles encapsulated in the ALG-AME hydrogel. Results demonstrated that 100 mIU/ml FSH showed a significant follicle survival rate compared with 10 mIU/ml FSH (P=0.005). According to MTT assay finding, the rate of weight loss, and rheology evaluations, ALG containing 1 mg/ml AME was identified as an optimal sample of follicle culture instead of other AME concentrations. Follicle diameter significantly increased in the ALG-AME 1 hydrogel compared with the ALG control group without AME (P=0.027). The storage modulus of ALG-AME 1 was 773 Pa and retained the follicle morphology for 13 days. No statistically substantial difference was seen in survival, antrum cavity formation, and competent oocyte in terms of the normal chromosomal arrangement and meiotic spindle rate in comparison with the control group. It can be concluded that ALG-AME 1 could not significantly impact the mouse preantral follicle.</p>","PeriodicalId":14080,"journal":{"name":"International Journal of Fertility & Sterility","volume":"18 3","pages":"286-292"},"PeriodicalIF":2.2000,"publicationDate":"2024-06-09","publicationTypes":"Journal Article","fieldsOfStudy":null,"isOpenAccess":false,"openAccessPdf":"https://www.ncbi.nlm.nih.gov/pmc/articles/PMC11245589/pdf/","citationCount":"0","resultStr":"{\"title\":\"<i>In Vitro</i> Development of Mouse Preantral Follicle with Using Amniotic Membrane Extract-Loaded Hydrogels.\",\"authors\":\"Fatemeh Amjad, Hamid Keshvari, Azam Dalman, Leila Montazeri\",\"doi\":\"10.22074/ijfs.2023.1990652.1443\",\"DOIUrl\":null,\"url\":null,\"abstract\":\"<p><p>An artificial ovary based on the alginate (ALG) hydrogel has been widely implemented to preserve prepubertal female fertility. However, this platform is not fully capable of successful an ovary microenvironment simulation for follicle development, holding great potential for its improvement. Therefore, this experimental study aimed to evaluate the effect of an amniotic membrane extract (AME) -loaded hydrogel on the mouse preantral follicles <i>in vitro</i> development. In order to have better follicle development, first, the impact of different concentrations of follicle-stimulating hormone (FSH) was evaluated on the mouse preantral follicles encapsulated in ALG. Later, the appropriate dose was adjusted for the follicles encapsulated in the ALG-AME hydrogel. Results demonstrated that 100 mIU/ml FSH showed a significant follicle survival rate compared with 10 mIU/ml FSH (P=0.005). According to MTT assay finding, the rate of weight loss, and rheology evaluations, ALG containing 1 mg/ml AME was identified as an optimal sample of follicle culture instead of other AME concentrations. Follicle diameter significantly increased in the ALG-AME 1 hydrogel compared with the ALG control group without AME (P=0.027). The storage modulus of ALG-AME 1 was 773 Pa and retained the follicle morphology for 13 days. No statistically substantial difference was seen in survival, antrum cavity formation, and competent oocyte in terms of the normal chromosomal arrangement and meiotic spindle rate in comparison with the control group. It can be concluded that ALG-AME 1 could not significantly impact the mouse preantral follicle.</p>\",\"PeriodicalId\":14080,\"journal\":{\"name\":\"International Journal of Fertility & Sterility\",\"volume\":\"18 3\",\"pages\":\"286-292\"},\"PeriodicalIF\":2.2000,\"publicationDate\":\"2024-06-09\",\"publicationTypes\":\"Journal Article\",\"fieldsOfStudy\":null,\"isOpenAccess\":false,\"openAccessPdf\":\"https://www.ncbi.nlm.nih.gov/pmc/articles/PMC11245589/pdf/\",\"citationCount\":\"0\",\"resultStr\":null,\"platform\":\"Semanticscholar\",\"paperid\":null,\"PeriodicalName\":\"International Journal of Fertility & Sterility\",\"FirstCategoryId\":\"1085\",\"ListUrlMain\":\"https://doi.org/10.22074/ijfs.2023.1990652.1443\",\"RegionNum\":0,\"RegionCategory\":null,\"ArticlePicture\":[],\"TitleCN\":null,\"AbstractTextCN\":null,\"PMCID\":null,\"EPubDate\":\"\",\"PubModel\":\"\",\"JCR\":\"Q2\",\"JCRName\":\"OBSTETRICS & GYNECOLOGY\",\"Score\":null,\"Total\":0}","platform":"Semanticscholar","paperid":null,"PeriodicalName":"International Journal of Fertility & Sterility","FirstCategoryId":"1085","ListUrlMain":"https://doi.org/10.22074/ijfs.2023.1990652.1443","RegionNum":0,"RegionCategory":null,"ArticlePicture":[],"TitleCN":null,"AbstractTextCN":null,"PMCID":null,"EPubDate":"","PubModel":"","JCR":"Q2","JCRName":"OBSTETRICS & GYNECOLOGY","Score":null,"Total":0}
引用次数: 0

摘要

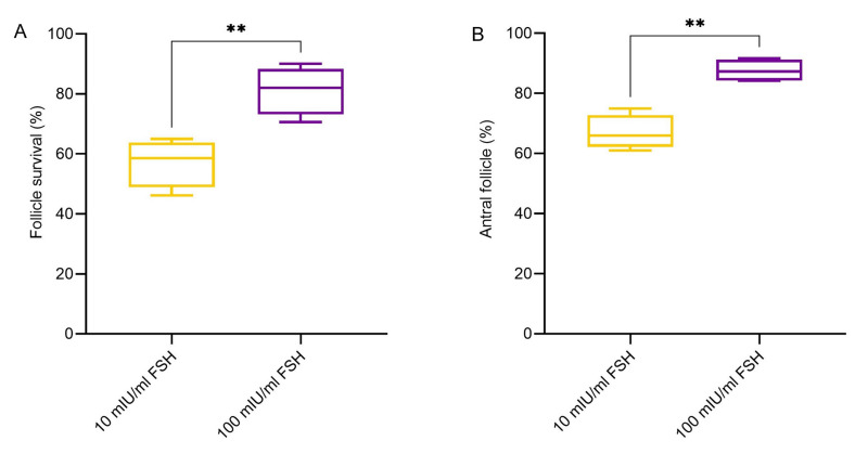
基于藻酸盐(ALG)水凝胶的人工卵巢已被广泛应用于保留青春期前女性的生育能力。然而,这一平台并不能完全成功地模拟卵泡发育的卵巢微环境,因此有很大的改进潜力。因此,本实验研究旨在评估羊膜提取物(AME)水凝胶对小鼠前胚乳卵泡体外发育的影响。为了使卵泡发育得更好,首先评估了不同浓度的促卵泡激素(FSH)对包裹在羊膜水凝胶中的小鼠前胚乳卵泡的影响。随后,对封装在 ALG-AME 水凝胶中的卵泡调整了适当的剂量。结果表明,与 10 mIU/ml FSH 相比,100 mIU/ml FSH 的卵泡存活率显著提高(P=0.005)。根据 MTT 检测结果、失重率和流变学评估,含有 1 毫克/毫升 AME 的 ALG 被确定为卵泡培养的最佳样本,而不是其他浓度的 AME。与不含AME的ALG对照组相比,ALG-AME 1水凝胶的卵泡直径明显增大(P=0.027)。ALG-AME 1的储存模量为773帕,卵泡形态保持了13天。与对照组相比,ALG-AME 1 的存活率、窦腔形成率和染色体排列正常的合格卵母细胞以及减数分裂纺锤体率在统计学上没有实质性差异。由此可以得出结论,ALG-AME 1 对小鼠前胚乳卵泡的影响不大。
本文章由计算机程序翻译,如有差异,请以英文原文为准。

<i>In Vitro</i> Development of Mouse Preantral Follicle with Using Amniotic Membrane Extract-Loaded Hydrogels.

<i>In Vitro</i> Development of Mouse Preantral Follicle with Using Amniotic Membrane Extract-Loaded Hydrogels.

<i>In Vitro</i> Development of Mouse Preantral Follicle with Using Amniotic Membrane Extract-Loaded Hydrogels.

In Vitro Development of Mouse Preantral Follicle with Using Amniotic Membrane Extract-Loaded Hydrogels.

An artificial ovary based on the alginate (ALG) hydrogel has been widely implemented to preserve prepubertal female fertility. However, this platform is not fully capable of successful an ovary microenvironment simulation for follicle development, holding great potential for its improvement. Therefore, this experimental study aimed to evaluate the effect of an amniotic membrane extract (AME) -loaded hydrogel on the mouse preantral follicles in vitro development. In order to have better follicle development, first, the impact of different concentrations of follicle-stimulating hormone (FSH) was evaluated on the mouse preantral follicles encapsulated in ALG. Later, the appropriate dose was adjusted for the follicles encapsulated in the ALG-AME hydrogel. Results demonstrated that 100 mIU/ml FSH showed a significant follicle survival rate compared with 10 mIU/ml FSH (P=0.005). According to MTT assay finding, the rate of weight loss, and rheology evaluations, ALG containing 1 mg/ml AME was identified as an optimal sample of follicle culture instead of other AME concentrations. Follicle diameter significantly increased in the ALG-AME 1 hydrogel compared with the ALG control group without AME (P=0.027). The storage modulus of ALG-AME 1 was 773 Pa and retained the follicle morphology for 13 days. No statistically substantial difference was seen in survival, antrum cavity formation, and competent oocyte in terms of the normal chromosomal arrangement and meiotic spindle rate in comparison with the control group. It can be concluded that ALG-AME 1 could not significantly impact the mouse preantral follicle.

求助全文
通过发布文献求助,成功后即可免费获取论文全文。 去求助
来源期刊
CiteScore
4.20
自引率
0.00%
发文量
68
审稿时长
>12 weeks
期刊介绍: International Journal of Fertility & Sterility is a quarterly English publication of Royan Institute . The aim of the journal is to disseminate information through publishing the most recent scientific research studies on Fertility and Sterility and other related topics. Int J Fertil Steril has been certified by Ministry of Culture and Islamic Guidance in 2007 and was accredited as a scientific and research journal by HBI (Health and Biomedical Information) Journal Accreditation Commission in 2008. Int J Fertil Steril is an Open Access journal.
×
引用
GB/T 7714-2015
复制
MLA
复制
APA
复制
导出至
BibTeX EndNote RefMan NoteFirst NoteExpress
×
提示
您的信息不完整,为了账户安全,请先补充。
现在去补充
×
提示
您因"违规操作"
具体请查看互助需知
我知道了
×
提示
确定
请完成安全验证×
copy
已复制链接
快去分享给好友吧!
我知道了
右上角分享
点击右上角分享
0
联系我们:info@booksci.cn Book学术提供免费学术资源搜索服务,方便国内外学者检索中英文文献。致力于提供最便捷和优质的服务体验。 Copyright © 2023 布克学术 All rights reserved.
京ICP备2023020795号-1
ghs 京公网安备 11010802042870号
Book学术文献互助
Book学术文献互助群
群 号:604180095
Book学术官方微信