鳞状非小细胞肺癌化疗相关的 cfDNA 水平变化:与症状评分和放射学反应的相关性。

Q3 Medicine
Exploration of targeted anti-tumor therapy Pub Date : 2024-01-01 Epub Date: 2024-05-28 DOI:10.37349/etat.2024.00232
Nithiyanandan Ravi, Parul Gupta, Amanjit Bal, Kuruswamy Thurai Prasad, Mandeep Garg, Rakesh Kapoor, Navneet Singh
{"title":"鳞状非小细胞肺癌化疗相关的 cfDNA 水平变化:与症状评分和放射学反应的相关性。","authors":"Nithiyanandan Ravi, Parul Gupta, Amanjit Bal, Kuruswamy Thurai Prasad, Mandeep Garg, Rakesh Kapoor, Navneet Singh","doi":"10.37349/etat.2024.00232","DOIUrl":null,"url":null,"abstract":"<p><strong>Aim: </strong>There is limited data on prognostic value of baseline plasma cell free DNA (cfDNA) in advanced squamous non-small cell lung cancer (sq-NSCLC). This prospective observational study aimed to assess change in plasma cfDNA levels in locally-advanced/metastatic sq-NSCLC with chemotherapy and its correlation with symptom-scores and radiological-responses.</p><p><strong>Methods: </strong>Chemotherapy-naive patients with stages-IIIB/IIIC/IV sq-NSCLC (<i>n</i> = 59), smokers with chronic obstructive pulmonary disease [COPD, COPD-controls (CC); <i>n</i> = 27] and healthy-controls (<i>n</i> = 25) were enrolled. Respiratory symptom burden (RSB) and total symptom burden (TSB) were calculated from mean visual-analog-scores (VAS) of dyspnoea, cough, chest pain, hemoptysis RSB, anorexia and fatigue (all six for TSB). cfDNA was isolated from peripheral blood. All patients received platinum-doublet chemotherapy. RSB/TSB/cfDNA assessment and contrast-enhanced computed tomography (CECT)-thorax scans were done at baseline and post-chemotherapy.</p><p><strong>Results: </strong>At baseline, 13/59 (22%) sq-NSCLC, 3/27 (11%) CC and none (0%) healthy-controls had detectable cfDNA. All three CC were heavy smokers with no evidence of malignancy and undetectable cfDNA levels on repeat testing. In sq-NSCLC group, majority were males (95%), current-smokers (88%), heavy-smokers (70%), had metastatic disease (59%) with median age of 65 years. Eastern Co-operative Oncology Group (ECOG) performance status (PS) was 0-1 (56%) and 2 (42%). Median RSB- and TSB-scores were 9 [interquartile range (IQR) = 5-14] and 16 (IQR = 9-23), respectively. Of the 59 patients, 54 received ≥ 1 cycle while 27 underwent post-C4 evaluation with detectable cfDNA levels in 18/27 (66.7%). No baseline characteristic correlated with cfDNA detectability. Median overall survival (OS) and progression-free survival (PFS) were 262 days and 167 days, respectively. ECOG PS ≥ 2, RSB-score > 9 and TSB-score > 16 were all associated with worse OS and PFS as was cfDNA detectability [median OS = 97 days <i>vs.</i> 298 days and median PFS = 97 days <i>vs.</i> 197 days; <i>P</i> = 0.025; hazard ratio (HR) = 2.17].</p><p><strong>Conclusions: </strong>Baseline cfDNA detectability is independently associated with poor OS and PFS in patients with advanced sq-NSCLC on chemotherapy.</p>","PeriodicalId":73002,"journal":{"name":"Exploration of targeted anti-tumor therapy","volume":"5 3","pages":"508-521"},"PeriodicalIF":0.0000,"publicationDate":"2024-01-01","publicationTypes":"Journal Article","fieldsOfStudy":null,"isOpenAccess":false,"openAccessPdf":"https://www.ncbi.nlm.nih.gov/pmc/articles/PMC11222716/pdf/","citationCount":"0","resultStr":"{\"title\":\"Chemotherapy related changes in cfDNA levels in squamous non-small cell lung cancer: correlation with symptom scores and radiological responses.\",\"authors\":\"Nithiyanandan Ravi, Parul Gupta, Amanjit Bal, Kuruswamy Thurai Prasad, Mandeep Garg, Rakesh Kapoor, Navneet Singh\",\"doi\":\"10.37349/etat.2024.00232\",\"DOIUrl\":null,\"url\":null,\"abstract\":\"<p><strong>Aim: </strong>There is limited data on prognostic value of baseline plasma cell free DNA (cfDNA) in advanced squamous non-small cell lung cancer (sq-NSCLC). This prospective observational study aimed to assess change in plasma cfDNA levels in locally-advanced/metastatic sq-NSCLC with chemotherapy and its correlation with symptom-scores and radiological-responses.</p><p><strong>Methods: </strong>Chemotherapy-naive patients with stages-IIIB/IIIC/IV sq-NSCLC (<i>n</i> = 59), smokers with chronic obstructive pulmonary disease [COPD, COPD-controls (CC); <i>n</i> = 27] and healthy-controls (<i>n</i> = 25) were enrolled. Respiratory symptom burden (RSB) and total symptom burden (TSB) were calculated from mean visual-analog-scores (VAS) of dyspnoea, cough, chest pain, hemoptysis RSB, anorexia and fatigue (all six for TSB). cfDNA was isolated from peripheral blood. All patients received platinum-doublet chemotherapy. RSB/TSB/cfDNA assessment and contrast-enhanced computed tomography (CECT)-thorax scans were done at baseline and post-chemotherapy.</p><p><strong>Results: </strong>At baseline, 13/59 (22%) sq-NSCLC, 3/27 (11%) CC and none (0%) healthy-controls had detectable cfDNA. All three CC were heavy smokers with no evidence of malignancy and undetectable cfDNA levels on repeat testing. In sq-NSCLC group, majority were males (95%), current-smokers (88%), heavy-smokers (70%), had metastatic disease (59%) with median age of 65 years. Eastern Co-operative Oncology Group (ECOG) performance status (PS) was 0-1 (56%) and 2 (42%). Median RSB- and TSB-scores were 9 [interquartile range (IQR) = 5-14] and 16 (IQR = 9-23), respectively. Of the 59 patients, 54 received ≥ 1 cycle while 27 underwent post-C4 evaluation with detectable cfDNA levels in 18/27 (66.7%). No baseline characteristic correlated with cfDNA detectability. Median overall survival (OS) and progression-free survival (PFS) were 262 days and 167 days, respectively. ECOG PS ≥ 2, RSB-score > 9 and TSB-score > 16 were all associated with worse OS and PFS as was cfDNA detectability [median OS = 97 days <i>vs.</i> 298 days and median PFS = 97 days <i>vs.</i> 197 days; <i>P</i> = 0.025; hazard ratio (HR) = 2.17].</p><p><strong>Conclusions: </strong>Baseline cfDNA detectability is independently associated with poor OS and PFS in patients with advanced sq-NSCLC on chemotherapy.</p>\",\"PeriodicalId\":73002,\"journal\":{\"name\":\"Exploration of targeted anti-tumor therapy\",\"volume\":\"5 3\",\"pages\":\"508-521\"},\"PeriodicalIF\":0.0000,\"publicationDate\":\"2024-01-01\",\"publicationTypes\":\"Journal Article\",\"fieldsOfStudy\":null,\"isOpenAccess\":false,\"openAccessPdf\":\"https://www.ncbi.nlm.nih.gov/pmc/articles/PMC11222716/pdf/\",\"citationCount\":\"0\",\"resultStr\":null,\"platform\":\"Semanticscholar\",\"paperid\":null,\"PeriodicalName\":\"Exploration of targeted anti-tumor therapy\",\"FirstCategoryId\":\"1085\",\"ListUrlMain\":\"https://doi.org/10.37349/etat.2024.00232\",\"RegionNum\":0,\"RegionCategory\":null,\"ArticlePicture\":[],\"TitleCN\":null,\"AbstractTextCN\":null,\"PMCID\":null,\"EPubDate\":\"2024/5/28 0:00:00\",\"PubModel\":\"Epub\",\"JCR\":\"Q3\",\"JCRName\":\"Medicine\",\"Score\":null,\"Total\":0}","platform":"Semanticscholar","paperid":null,"PeriodicalName":"Exploration of targeted anti-tumor therapy","FirstCategoryId":"1085","ListUrlMain":"https://doi.org/10.37349/etat.2024.00232","RegionNum":0,"RegionCategory":null,"ArticlePicture":[],"TitleCN":null,"AbstractTextCN":null,"PMCID":null,"EPubDate":"2024/5/28 0:00:00","PubModel":"Epub","JCR":"Q3","JCRName":"Medicine","Score":null,"Total":0}
引用次数: 0

摘要

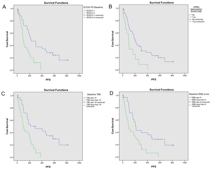
目的:有关晚期鳞状非小细胞肺癌(sq-NSCLC)基线血浆游离细胞 DNA(cfDNA)预后价值的数据有限。这项前瞻性观察研究旨在评估化疗后局部晚期/转移性 sq-NSCLC 患者血浆 cfDNA 水平的变化及其与症状评分和放射学反应的相关性:方法: 研究人员招募了未经化疗的 IIIB/IIIC/IV 期 sq-NSCLC 患者(n = 59)、患有慢性阻塞性肺病[COPD,COPD 对照组(CC);n = 27]的吸烟者和健康对照组(n = 25)。呼吸道症状负担(RSB)和总症状负担(TSB)根据呼吸困难、咳嗽、胸痛、咯血RSB、厌食和疲劳(TSB为全部六项)的平均视觉模拟评分(VAS)计算得出。所有患者均接受了铂类双联化疗。在基线和化疗后进行了RSB/TSB/cfDNA评估和对比增强计算机断层扫描(CECT)-胸部扫描:基线时,13/59(22%)例sq-NSCLC、3/27(11%)例CC和无(0%)例健康对照者可检测到cfDNA。这三名CC均为重度吸烟者,无恶性肿瘤迹象,重复检测时未检测到cfDNA水平。在sq-NSCLC组中,大多数为男性(95%)、目前吸烟者(88%)、重度吸烟者(70%)、转移性疾病患者(59%),中位年龄为65岁。东部合作肿瘤学组(ECOG)表现状态(PS)分别为0-1(56%)和2(42%)。RSB和TSB评分中位数分别为9[四分位距(IQR)=5-14]和16(IQR=9-23)。59 名患者中,54 人接受了≥ 1 个周期的治疗,27 人接受了 C4 后评估,其中 18/27 人(66.7%)可检测到 cfDNA 水平。没有基线特征与 cfDNA 可检测性相关。中位总生存期(OS)和无进展生存期(PFS)分别为262天和167天。ECOG PS ≥ 2、RSB 评分 > 9 和 TSB 评分 > 16 与 cfDNA 可检测性一样,都与较差的 OS 和 PFS 相关[中位 OS = 97 天 vs. 298 天,中位 PFS = 97 天 vs. 197 天;P = 0.025;危险比 (HR) = 2.17]:在接受化疗的晚期sq-NSCLC患者中,基线cfDNA可检测性与较差的OS和PFS独立相关。
本文章由计算机程序翻译,如有差异,请以英文原文为准。

Chemotherapy related changes in cfDNA levels in squamous non-small cell lung cancer: correlation with symptom scores and radiological responses.

Chemotherapy related changes in cfDNA levels in squamous non-small cell lung cancer: correlation with symptom scores and radiological responses.

Chemotherapy related changes in cfDNA levels in squamous non-small cell lung cancer: correlation with symptom scores and radiological responses.

Aim: There is limited data on prognostic value of baseline plasma cell free DNA (cfDNA) in advanced squamous non-small cell lung cancer (sq-NSCLC). This prospective observational study aimed to assess change in plasma cfDNA levels in locally-advanced/metastatic sq-NSCLC with chemotherapy and its correlation with symptom-scores and radiological-responses.

Methods: Chemotherapy-naive patients with stages-IIIB/IIIC/IV sq-NSCLC (n = 59), smokers with chronic obstructive pulmonary disease [COPD, COPD-controls (CC); n = 27] and healthy-controls (n = 25) were enrolled. Respiratory symptom burden (RSB) and total symptom burden (TSB) were calculated from mean visual-analog-scores (VAS) of dyspnoea, cough, chest pain, hemoptysis RSB, anorexia and fatigue (all six for TSB). cfDNA was isolated from peripheral blood. All patients received platinum-doublet chemotherapy. RSB/TSB/cfDNA assessment and contrast-enhanced computed tomography (CECT)-thorax scans were done at baseline and post-chemotherapy.

Results: At baseline, 13/59 (22%) sq-NSCLC, 3/27 (11%) CC and none (0%) healthy-controls had detectable cfDNA. All three CC were heavy smokers with no evidence of malignancy and undetectable cfDNA levels on repeat testing. In sq-NSCLC group, majority were males (95%), current-smokers (88%), heavy-smokers (70%), had metastatic disease (59%) with median age of 65 years. Eastern Co-operative Oncology Group (ECOG) performance status (PS) was 0-1 (56%) and 2 (42%). Median RSB- and TSB-scores were 9 [interquartile range (IQR) = 5-14] and 16 (IQR = 9-23), respectively. Of the 59 patients, 54 received ≥ 1 cycle while 27 underwent post-C4 evaluation with detectable cfDNA levels in 18/27 (66.7%). No baseline characteristic correlated with cfDNA detectability. Median overall survival (OS) and progression-free survival (PFS) were 262 days and 167 days, respectively. ECOG PS ≥ 2, RSB-score > 9 and TSB-score > 16 were all associated with worse OS and PFS as was cfDNA detectability [median OS = 97 days vs. 298 days and median PFS = 97 days vs. 197 days; P = 0.025; hazard ratio (HR) = 2.17].

Conclusions: Baseline cfDNA detectability is independently associated with poor OS and PFS in patients with advanced sq-NSCLC on chemotherapy.

求助全文
通过发布文献求助,成功后即可免费获取论文全文。 去求助
来源期刊
CiteScore
2.80
自引率
0.00%
发文量
0
审稿时长
13 weeks
×
引用
GB/T 7714-2015
复制
MLA
复制
APA
复制
导出至
BibTeX EndNote RefMan NoteFirst NoteExpress
×
提示
您的信息不完整,为了账户安全,请先补充。
现在去补充
×
提示
您因"违规操作"
具体请查看互助需知
我知道了
×
提示
确定
请完成安全验证×
copy
已复制链接
快去分享给好友吧!
我知道了
右上角分享
点击右上角分享
0
联系我们:info@booksci.cn Book学术提供免费学术资源搜索服务,方便国内外学者检索中英文文献。致力于提供最便捷和优质的服务体验。 Copyright © 2023 布克学术 All rights reserved.
京ICP备2023020795号-1
ghs 京公网安备 11010802042870号
Book学术文献互助
Book学术文献互助群
群 号:604180095
Book学术官方微信