南美锥虫病的药物筛选和开发流程:体外和体内实验模型的更新。

IF 2.5 4区 医学 Q2 PARASITOLOGY
Memorias do Instituto Oswaldo Cruz Pub Date : 2024-07-01 eCollection Date: 2024-01-01 DOI:10.1590/0074-02760240057
Maria de Nazaré Correia Soeiro, Policarpo Ademar Sales-Junior, Valeria Rêgo Alves Pereira, Marcos André Vannier-Santos, Silvane Maria Fonseca Murta, Andrea Silvestre de Sousa, Luiz Henrique Conde Sangenis, Alejandro Marcel Hasslocher Moreno, Núbia Boechat, Frederico Silva Castelo Branco, Fabíola Barbieri Holetz, Andrea Rodrigues Ávila, Mirian Claudia de Souza Pereira
{"title":"南美锥虫病的药物筛选和开发流程:体外和体内实验模型的更新。","authors":"Maria de Nazaré Correia Soeiro, Policarpo Ademar Sales-Junior, Valeria Rêgo Alves Pereira, Marcos André Vannier-Santos, Silvane Maria Fonseca Murta, Andrea Silvestre de Sousa, Luiz Henrique Conde Sangenis, Alejandro Marcel Hasslocher Moreno, Núbia Boechat, Frederico Silva Castelo Branco, Fabíola Barbieri Holetz, Andrea Rodrigues Ávila, Mirian Claudia de Souza Pereira","doi":"10.1590/0074-02760240057","DOIUrl":null,"url":null,"abstract":"<p><p>Chagas disease is a tropical neglected disease that affects millions of people worldwide, still demanding a more effective and safer therapy, especially in its chronic phase which lacks a treatment that promotes substantial parasitological cure. The technical note of Romanha and collaborators published in 2010 aimed establish a guideline with the set of minimum criteria and decision gates for the development of new agents against Trypanosoma cruzi with the focus on developing new antichagasic drugs. In this sense, the present review aims to update this technical note, bringing the state of the art and new advances on this topic in recent years.</p>","PeriodicalId":18469,"journal":{"name":"Memorias do Instituto Oswaldo Cruz","volume":"119 ","pages":"e240057"},"PeriodicalIF":2.5000,"publicationDate":"2024-07-01","publicationTypes":"Journal Article","fieldsOfStudy":null,"isOpenAccess":false,"openAccessPdf":"https://www.ncbi.nlm.nih.gov/pmc/articles/PMC11218046/pdf/","citationCount":"0","resultStr":"{\"title\":\"Drug screening and development cascade for Chagas disease: an update of in vitro and in vivo experimental models.\",\"authors\":\"Maria de Nazaré Correia Soeiro, Policarpo Ademar Sales-Junior, Valeria Rêgo Alves Pereira, Marcos André Vannier-Santos, Silvane Maria Fonseca Murta, Andrea Silvestre de Sousa, Luiz Henrique Conde Sangenis, Alejandro Marcel Hasslocher Moreno, Núbia Boechat, Frederico Silva Castelo Branco, Fabíola Barbieri Holetz, Andrea Rodrigues Ávila, Mirian Claudia de Souza Pereira\",\"doi\":\"10.1590/0074-02760240057\",\"DOIUrl\":null,\"url\":null,\"abstract\":\"<p><p>Chagas disease is a tropical neglected disease that affects millions of people worldwide, still demanding a more effective and safer therapy, especially in its chronic phase which lacks a treatment that promotes substantial parasitological cure. The technical note of Romanha and collaborators published in 2010 aimed establish a guideline with the set of minimum criteria and decision gates for the development of new agents against Trypanosoma cruzi with the focus on developing new antichagasic drugs. In this sense, the present review aims to update this technical note, bringing the state of the art and new advances on this topic in recent years.</p>\",\"PeriodicalId\":18469,\"journal\":{\"name\":\"Memorias do Instituto Oswaldo Cruz\",\"volume\":\"119 \",\"pages\":\"e240057\"},\"PeriodicalIF\":2.5000,\"publicationDate\":\"2024-07-01\",\"publicationTypes\":\"Journal Article\",\"fieldsOfStudy\":null,\"isOpenAccess\":false,\"openAccessPdf\":\"https://www.ncbi.nlm.nih.gov/pmc/articles/PMC11218046/pdf/\",\"citationCount\":\"0\",\"resultStr\":null,\"platform\":\"Semanticscholar\",\"paperid\":null,\"PeriodicalName\":\"Memorias do Instituto Oswaldo Cruz\",\"FirstCategoryId\":\"3\",\"ListUrlMain\":\"https://doi.org/10.1590/0074-02760240057\",\"RegionNum\":4,\"RegionCategory\":\"医学\",\"ArticlePicture\":[],\"TitleCN\":null,\"AbstractTextCN\":null,\"PMCID\":null,\"EPubDate\":\"2024/1/1 0:00:00\",\"PubModel\":\"eCollection\",\"JCR\":\"Q2\",\"JCRName\":\"PARASITOLOGY\",\"Score\":null,\"Total\":0}","platform":"Semanticscholar","paperid":null,"PeriodicalName":"Memorias do Instituto Oswaldo Cruz","FirstCategoryId":"3","ListUrlMain":"https://doi.org/10.1590/0074-02760240057","RegionNum":4,"RegionCategory":"医学","ArticlePicture":[],"TitleCN":null,"AbstractTextCN":null,"PMCID":null,"EPubDate":"2024/1/1 0:00:00","PubModel":"eCollection","JCR":"Q2","JCRName":"PARASITOLOGY","Score":null,"Total":0}
引用次数: 0

摘要

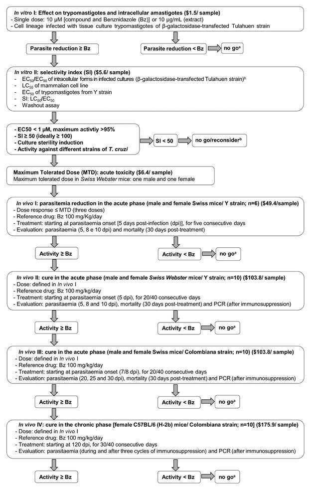
南美锥虫病是一种被忽视的热带疾病,影响着全球数百万人,目前仍需要一种更有效、更安全的治疗方法,尤其是在慢性期,因为慢性期缺乏一种能促进寄生虫学治愈的治疗方法。罗曼哈与合作者于 2010 年发表的技术说明旨在为开发克罗恩锥虫新药制定一套最低标准和决策门径,重点是开发新的抗卡地那氏病药物。从这个意义上讲,本综述旨在更新这份技术说明,介绍近年来该主题的最新进展。
本文章由计算机程序翻译,如有差异,请以英文原文为准。

Drug screening and development cascade for Chagas disease: an update of in vitro and in vivo experimental models.

Drug screening and development cascade for Chagas disease: an update of in vitro and in vivo experimental models.

Chagas disease is a tropical neglected disease that affects millions of people worldwide, still demanding a more effective and safer therapy, especially in its chronic phase which lacks a treatment that promotes substantial parasitological cure. The technical note of Romanha and collaborators published in 2010 aimed establish a guideline with the set of minimum criteria and decision gates for the development of new agents against Trypanosoma cruzi with the focus on developing new antichagasic drugs. In this sense, the present review aims to update this technical note, bringing the state of the art and new advances on this topic in recent years.

求助全文
通过发布文献求助,成功后即可免费获取论文全文。 去求助
来源期刊
CiteScore
5.00
自引率
3.60%
发文量
91
审稿时长
3-8 weeks
期刊介绍: Memórias do Instituto Oswaldo Cruz is a journal specialized in microbes & their vectors causing human infections. This means that we accept manuscripts covering multidisciplinary approaches and findings in the basic aspects of infectious diseases, e.g. basic in research in prokariotes, eukaryotes, and/or virus. Articles must clearly show what is the main question to be answered, the hypothesis raised, and the contribution given by the study. Priority is given to manuscripts reporting novel mechanisms and general findings concerning the biology of human infectious prokariotes, eukariotes or virus. Papers reporting innovative methods for diagnostics or that advance the basic research with these infectious agents are also welcome. It is important to mention what we do not publish: veterinary infectious agents research, taxonomic analysis and re-description of species, epidemiological studies or surveys or case reports and data re-analysis. Manuscripts that fall in these cases or that are considered of low priority by the journal editorial board, will be returned to the author(s) for submission to another journal.
×
引用
GB/T 7714-2015
复制
MLA
复制
APA
复制
导出至
BibTeX EndNote RefMan NoteFirst NoteExpress
×
提示
您的信息不完整,为了账户安全,请先补充。
现在去补充
×
提示
您因"违规操作"
具体请查看互助需知
我知道了
×
提示
确定
请完成安全验证×
copy
已复制链接
快去分享给好友吧!
我知道了
右上角分享
点击右上角分享
0
联系我们:info@booksci.cn Book学术提供免费学术资源搜索服务,方便国内外学者检索中英文文献。致力于提供最便捷和优质的服务体验。 Copyright © 2023 布克学术 All rights reserved.
京ICP备2023020795号-1
ghs 京公网安备 11010802042870号
Book学术文献互助
Book学术文献互助群
群 号:604180095
Book学术官方微信