人参中原人参二醇型皂甙和原人参三醇型皂甙的结构特征和药理活性

IF 3 Q3 PHARMACOLOGY & PHARMACY
Advances in Pharmacological and Pharmaceutical Sciences Pub Date : 2024-06-24 eCollection Date: 2024-01-01 DOI:10.1155/2024/9096774
Lancao Zhang, Xiang Gao, Chunhui Yang, Zuguo Liang, Dongsong Guan, Tongyi Yuan, Wenxiu Qi, Daqing Zhao, Xiangyan Li, Haisi Dong, He Zhang
{"title":"人参中原人参二醇型皂甙和原人参三醇型皂甙的结构特征和药理活性","authors":"Lancao Zhang, Xiang Gao, Chunhui Yang, Zuguo Liang, Dongsong Guan, Tongyi Yuan, Wenxiu Qi, Daqing Zhao, Xiangyan Li, Haisi Dong, He Zhang","doi":"10.1155/2024/9096774","DOIUrl":null,"url":null,"abstract":"<p><p>Ginseng has a long history of drug application in China, which can treat various diseases and achieve significant efficacy. Ginsenosides have always been deemed important ingredients for pharmacological activities. Based on the structural characteristics of steroidal saponins, ginsenosides are mainly divided into protopanaxadiol-type saponins (PDS, mainly including Rb1, Rb2, Rd, Rc, Rh2, CK, and PPD) and protopanaxatriol-type saponins (PTS, mainly including Re, R1, Rg1, Rh1, Rf, and PPT). The structure differences between PDS and PTS result in the differences of pharmacological activities. This paper provides an overview of PDS and PTS, mainly focusing on their chemical profile, pharmacokinetics, hydrolytic metabolism, and pharmacological activities including antioxidant, antifatigue, antiaging, immunodulation, antitumor, cardiovascular protection, neuroprotection, and antidiabetes. It is intended to contribute to an in-depth study of the relationship between PDS and PTS.</p>","PeriodicalId":7369,"journal":{"name":"Advances in Pharmacological and Pharmaceutical Sciences","volume":"2024 ","pages":"9096774"},"PeriodicalIF":3.0000,"publicationDate":"2024-06-24","publicationTypes":"Journal Article","fieldsOfStudy":null,"isOpenAccess":false,"openAccessPdf":"https://www.ncbi.nlm.nih.gov/pmc/articles/PMC11217582/pdf/","citationCount":"0","resultStr":"{\"title\":\"Structural Characters and Pharmacological Activity of Protopanaxadiol-Type Saponins and Protopanaxatriol-Type Saponins from Ginseng.\",\"authors\":\"Lancao Zhang, Xiang Gao, Chunhui Yang, Zuguo Liang, Dongsong Guan, Tongyi Yuan, Wenxiu Qi, Daqing Zhao, Xiangyan Li, Haisi Dong, He Zhang\",\"doi\":\"10.1155/2024/9096774\",\"DOIUrl\":null,\"url\":null,\"abstract\":\"<p><p>Ginseng has a long history of drug application in China, which can treat various diseases and achieve significant efficacy. Ginsenosides have always been deemed important ingredients for pharmacological activities. Based on the structural characteristics of steroidal saponins, ginsenosides are mainly divided into protopanaxadiol-type saponins (PDS, mainly including Rb1, Rb2, Rd, Rc, Rh2, CK, and PPD) and protopanaxatriol-type saponins (PTS, mainly including Re, R1, Rg1, Rh1, Rf, and PPT). The structure differences between PDS and PTS result in the differences of pharmacological activities. This paper provides an overview of PDS and PTS, mainly focusing on their chemical profile, pharmacokinetics, hydrolytic metabolism, and pharmacological activities including antioxidant, antifatigue, antiaging, immunodulation, antitumor, cardiovascular protection, neuroprotection, and antidiabetes. It is intended to contribute to an in-depth study of the relationship between PDS and PTS.</p>\",\"PeriodicalId\":7369,\"journal\":{\"name\":\"Advances in Pharmacological and Pharmaceutical Sciences\",\"volume\":\"2024 \",\"pages\":\"9096774\"},\"PeriodicalIF\":3.0000,\"publicationDate\":\"2024-06-24\",\"publicationTypes\":\"Journal Article\",\"fieldsOfStudy\":null,\"isOpenAccess\":false,\"openAccessPdf\":\"https://www.ncbi.nlm.nih.gov/pmc/articles/PMC11217582/pdf/\",\"citationCount\":\"0\",\"resultStr\":null,\"platform\":\"Semanticscholar\",\"paperid\":null,\"PeriodicalName\":\"Advances in Pharmacological and Pharmaceutical Sciences\",\"FirstCategoryId\":\"1085\",\"ListUrlMain\":\"https://doi.org/10.1155/2024/9096774\",\"RegionNum\":0,\"RegionCategory\":null,\"ArticlePicture\":[],\"TitleCN\":null,\"AbstractTextCN\":null,\"PMCID\":null,\"EPubDate\":\"2024/1/1 0:00:00\",\"PubModel\":\"eCollection\",\"JCR\":\"Q3\",\"JCRName\":\"PHARMACOLOGY & PHARMACY\",\"Score\":null,\"Total\":0}","platform":"Semanticscholar","paperid":null,"PeriodicalName":"Advances in Pharmacological and Pharmaceutical Sciences","FirstCategoryId":"1085","ListUrlMain":"https://doi.org/10.1155/2024/9096774","RegionNum":0,"RegionCategory":null,"ArticlePicture":[],"TitleCN":null,"AbstractTextCN":null,"PMCID":null,"EPubDate":"2024/1/1 0:00:00","PubModel":"eCollection","JCR":"Q3","JCRName":"PHARMACOLOGY & PHARMACY","Score":null,"Total":0}
引用次数: 0

摘要

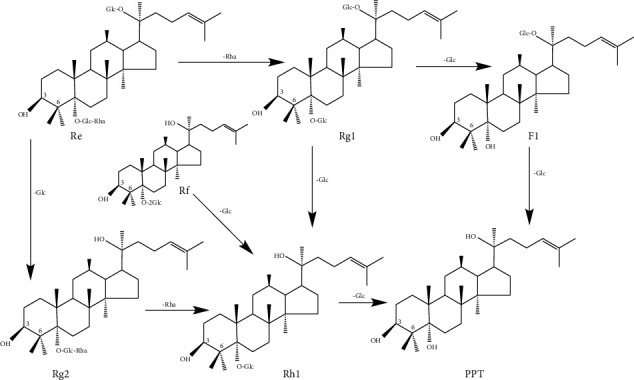
人参在中国的应用历史悠久,可治疗多种疾病,疗效显著。人参皂苷一直被认为是具有药理活性的重要成分。根据甾体皂苷的结构特点,人参皂苷主要分为原人参二醇型皂苷(PDS,主要包括 Rb1、Rb2、Rd、Rc、Rh2、CK 和 PPD)和原人参三醇型皂苷(PTS,主要包括 Re、R1、Rg1、Rh1、Rf 和 PPT)。PDS 和 PTS 的结构差异导致了其药理活性的不同。本文概述了 PDS 和 PTS,主要侧重于它们的化学特征、药代动力学、水解代谢和药理活性,包括抗氧化、抗疲劳、抗衰老、免疫调节、抗肿瘤、心血管保护、神经保护和抗糖尿病。该研究旨在为深入研究 PDS 与 PTS 之间的关系做出贡献。
本文章由计算机程序翻译,如有差异,请以英文原文为准。

Structural Characters and Pharmacological Activity of Protopanaxadiol-Type Saponins and Protopanaxatriol-Type Saponins from Ginseng.

Structural Characters and Pharmacological Activity of Protopanaxadiol-Type Saponins and Protopanaxatriol-Type Saponins from Ginseng.

Structural Characters and Pharmacological Activity of Protopanaxadiol-Type Saponins and Protopanaxatriol-Type Saponins from Ginseng.

Structural Characters and Pharmacological Activity of Protopanaxadiol-Type Saponins and Protopanaxatriol-Type Saponins from Ginseng.

Ginseng has a long history of drug application in China, which can treat various diseases and achieve significant efficacy. Ginsenosides have always been deemed important ingredients for pharmacological activities. Based on the structural characteristics of steroidal saponins, ginsenosides are mainly divided into protopanaxadiol-type saponins (PDS, mainly including Rb1, Rb2, Rd, Rc, Rh2, CK, and PPD) and protopanaxatriol-type saponins (PTS, mainly including Re, R1, Rg1, Rh1, Rf, and PPT). The structure differences between PDS and PTS result in the differences of pharmacological activities. This paper provides an overview of PDS and PTS, mainly focusing on their chemical profile, pharmacokinetics, hydrolytic metabolism, and pharmacological activities including antioxidant, antifatigue, antiaging, immunodulation, antitumor, cardiovascular protection, neuroprotection, and antidiabetes. It is intended to contribute to an in-depth study of the relationship between PDS and PTS.

求助全文
通过发布文献求助,成功后即可免费获取论文全文。 去求助
来源期刊
CiteScore
4.30
自引率
3.60%
发文量
0
审稿时长
17 weeks
×
引用
GB/T 7714-2015
复制
MLA
复制
APA
复制
导出至
BibTeX EndNote RefMan NoteFirst NoteExpress
×
提示
您的信息不完整,为了账户安全,请先补充。
现在去补充
×
提示
您因"违规操作"
具体请查看互助需知
我知道了
×
提示
确定
请完成安全验证×
copy
已复制链接
快去分享给好友吧!
我知道了
右上角分享
点击右上角分享
0
联系我们:info@booksci.cn Book学术提供免费学术资源搜索服务,方便国内外学者检索中英文文献。致力于提供最便捷和优质的服务体验。 Copyright © 2023 布克学术 All rights reserved.
京ICP备2023020795号-1
ghs 京公网安备 11010802042870号
Book学术文献互助
Book学术文献互助群
群 号:604180095
Book学术官方微信