急性肺栓塞后的年度医疗成本估算:一项前瞻性多中心队列研究的结果。

IF 4.6 2区 医学 Q1 CARDIAC & CARDIOVASCULAR SYSTEMS
Katharina Mohr, Philipp Mildenberger, Thomas Neusius, Konstantinos C Christodoulou, Ioannis T Farmakis, Klaus Kaier, Stefano Barco, Frederikus A Klok, Lukas Hobohm, Karsten Keller, Dorothea Becker, Christina Abele, Leonhard Bruch, Ralf Ewert, Irene Schmidtmann, Philipp S Wild, Stephan Rosenkranz, Stavros V Konstantinides, Harald Binder, Luca Valerio
{"title":"急性肺栓塞后的年度医疗成本估算:一项前瞻性多中心队列研究的结果。","authors":"Katharina Mohr, Philipp Mildenberger, Thomas Neusius, Konstantinos C Christodoulou, Ioannis T Farmakis, Klaus Kaier, Stefano Barco, Frederikus A Klok, Lukas Hobohm, Karsten Keller, Dorothea Becker, Christina Abele, Leonhard Bruch, Ralf Ewert, Irene Schmidtmann, Philipp S Wild, Stephan Rosenkranz, Stavros V Konstantinides, Harald Binder, Luca Valerio","doi":"10.1093/ehjqcco/qcae050","DOIUrl":null,"url":null,"abstract":"<p><strong>Aims: </strong>Patients surviving acute pulmonary embolism (PE) necessitate long-term treatment and follow-up. We estimated, the chronic economic impact of PE on the German healthcare system.</p><p><strong>Methods and results: </strong>We calculated the direct cost of illness during the first year after discharge for the index PE, analysing data from a multicentre prospective cohort study in Germany. Main and accompanying readmission diagnoses were used to calculate DRG-based hospital reimbursements; anticoagulation costs were estimated from the exact treatment duration and each drug's unique national identifier; and outpatient post-PE care costs from guidelines-recommended algorithms and national reimbursement catalogues. Of 1017 patients enrolled at 17 centres, 958 (94%) completed ≥3-month follow-up; of those, 24% were rehospitalized (0.34 [95% CI 0.30-0.39] readmissions per PE survivor). Age, coronary artery, pulmonary and kidney disease, diabetes, and (in the sensitivity analysis of 837 patients with complete 12-month follow-up) cancer, but not recurrent PE, were independent cost predictors by hurdle gamma regression accounting for zero readmissions. The estimated rehospitalization cost was €1138 (95% CI 896-1420) per patient. Anticoagulation duration was 329 (IQR 142-365) days, with estimated average per-patient costs of €1050 (median 972; IQR 458-1197); costs of scheduled ambulatory follow-up visits amounted to €181. Total estimated direct per-patient costs during the first year after PE ranged from €2369 (primary analysis) to €2542 (sensitivity analysis).</p><p><strong>Conclusion: </strong>By estimating per-patient costs and identifying cost drivers of post-PE care, our study may inform decisions concerning implementation and reimbursement of follow-up programmes aiming at improved cardiovascular prevention.</p>","PeriodicalId":11869,"journal":{"name":"European Heart Journal - Quality of Care and Clinical Outcomes","volume":" ","pages":"334-342"},"PeriodicalIF":4.6000,"publicationDate":"2025-05-01","publicationTypes":"Journal Article","fieldsOfStudy":null,"isOpenAccess":false,"openAccessPdf":"https://www.ncbi.nlm.nih.gov/pmc/articles/PMC12045087/pdf/","citationCount":"0","resultStr":"{\"title\":\"Estimated annual healthcare costs after acute pulmonary embolism: results from a prospective multicentre cohort study.\",\"authors\":\"Katharina Mohr, Philipp Mildenberger, Thomas Neusius, Konstantinos C Christodoulou, Ioannis T Farmakis, Klaus Kaier, Stefano Barco, Frederikus A Klok, Lukas Hobohm, Karsten Keller, Dorothea Becker, Christina Abele, Leonhard Bruch, Ralf Ewert, Irene Schmidtmann, Philipp S Wild, Stephan Rosenkranz, Stavros V Konstantinides, Harald Binder, Luca Valerio\",\"doi\":\"10.1093/ehjqcco/qcae050\",\"DOIUrl\":null,\"url\":null,\"abstract\":\"<p><strong>Aims: </strong>Patients surviving acute pulmonary embolism (PE) necessitate long-term treatment and follow-up. We estimated, the chronic economic impact of PE on the German healthcare system.</p><p><strong>Methods and results: </strong>We calculated the direct cost of illness during the first year after discharge for the index PE, analysing data from a multicentre prospective cohort study in Germany. Main and accompanying readmission diagnoses were used to calculate DRG-based hospital reimbursements; anticoagulation costs were estimated from the exact treatment duration and each drug's unique national identifier; and outpatient post-PE care costs from guidelines-recommended algorithms and national reimbursement catalogues. Of 1017 patients enrolled at 17 centres, 958 (94%) completed ≥3-month follow-up; of those, 24% were rehospitalized (0.34 [95% CI 0.30-0.39] readmissions per PE survivor). Age, coronary artery, pulmonary and kidney disease, diabetes, and (in the sensitivity analysis of 837 patients with complete 12-month follow-up) cancer, but not recurrent PE, were independent cost predictors by hurdle gamma regression accounting for zero readmissions. The estimated rehospitalization cost was €1138 (95% CI 896-1420) per patient. Anticoagulation duration was 329 (IQR 142-365) days, with estimated average per-patient costs of €1050 (median 972; IQR 458-1197); costs of scheduled ambulatory follow-up visits amounted to €181. Total estimated direct per-patient costs during the first year after PE ranged from €2369 (primary analysis) to €2542 (sensitivity analysis).</p><p><strong>Conclusion: </strong>By estimating per-patient costs and identifying cost drivers of post-PE care, our study may inform decisions concerning implementation and reimbursement of follow-up programmes aiming at improved cardiovascular prevention.</p>\",\"PeriodicalId\":11869,\"journal\":{\"name\":\"European Heart Journal - Quality of Care and Clinical Outcomes\",\"volume\":\" \",\"pages\":\"334-342\"},\"PeriodicalIF\":4.6000,\"publicationDate\":\"2025-05-01\",\"publicationTypes\":\"Journal Article\",\"fieldsOfStudy\":null,\"isOpenAccess\":false,\"openAccessPdf\":\"https://www.ncbi.nlm.nih.gov/pmc/articles/PMC12045087/pdf/\",\"citationCount\":\"0\",\"resultStr\":null,\"platform\":\"Semanticscholar\",\"paperid\":null,\"PeriodicalName\":\"European Heart Journal - Quality of Care and Clinical Outcomes\",\"FirstCategoryId\":\"3\",\"ListUrlMain\":\"https://doi.org/10.1093/ehjqcco/qcae050\",\"RegionNum\":2,\"RegionCategory\":\"医学\",\"ArticlePicture\":[],\"TitleCN\":null,\"AbstractTextCN\":null,\"PMCID\":null,\"EPubDate\":\"\",\"PubModel\":\"\",\"JCR\":\"Q1\",\"JCRName\":\"CARDIAC & CARDIOVASCULAR SYSTEMS\",\"Score\":null,\"Total\":0}","platform":"Semanticscholar","paperid":null,"PeriodicalName":"European Heart Journal - Quality of Care and Clinical Outcomes","FirstCategoryId":"3","ListUrlMain":"https://doi.org/10.1093/ehjqcco/qcae050","RegionNum":2,"RegionCategory":"医学","ArticlePicture":[],"TitleCN":null,"AbstractTextCN":null,"PMCID":null,"EPubDate":"","PubModel":"","JCR":"Q1","JCRName":"CARDIAC & CARDIOVASCULAR SYSTEMS","Score":null,"Total":0}
引用次数: 0

摘要

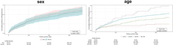
目的:急性肺栓塞(PE)幸存者需要长期治疗和随访。然而,PE 对欧洲医疗系统的长期经济影响仍有待确定:我们通过分析德国一项多中心前瞻性队列研究的数据,计算了指数肺栓塞患者出院后第一年的直接医疗费用。主要诊断和伴随的再入院诊断用于计算基于 DRG 的医院报销费用;抗凝费用根据确切的治疗时间和每种药物的唯一国家标识符进行估算;PE 后的门诊护理费用根据指南推荐的算法和国家报销目录进行估算。在 17 个中心登记的 1017 名患者中,958 人(94%)完成了≥ 3 个月的随访;其中 24% 的患者再次入院(每名 PE 幸存者的再入院率为 0.34 [95% CI 0.30-0.39])。年龄、冠状动脉疾病、肺病和肾病、糖尿病以及癌症(在对 837 名完成 12 个月随访的患者进行的敏感性分析中),但不是复发性 PE,都是通过阶跃伽玛回归(考虑零再入院率)预测成本的独立因素。每位患者的估计再住院费用为 1138 欧元(95% CI 896-1420)。抗凝持续时间为 329 天(IQR 142-365 天),估计每位患者的平均费用为 1050 欧元(中位数为 972 欧元;IQR 458-1197 欧元);预约门诊随访费用为 181 欧元。PE术后第一年每位患者的估计直接费用总额从2369欧元(主要分析)到2542欧元(敏感性分析)不等:通过估算每位患者的成本并确定 PE 后护理的成本驱动因素,我们的研究可为旨在改善心血管预防的随访计划的实施和报销决策提供参考。(试验注册号:DRKS00005939)。
本文章由计算机程序翻译,如有差异,请以英文原文为准。

Estimated annual healthcare costs after acute pulmonary embolism: results from a prospective multicentre cohort study.

Estimated annual healthcare costs after acute pulmonary embolism: results from a prospective multicentre cohort study.

Estimated annual healthcare costs after acute pulmonary embolism: results from a prospective multicentre cohort study.

Estimated annual healthcare costs after acute pulmonary embolism: results from a prospective multicentre cohort study.

Aims: Patients surviving acute pulmonary embolism (PE) necessitate long-term treatment and follow-up. We estimated, the chronic economic impact of PE on the German healthcare system.

Methods and results: We calculated the direct cost of illness during the first year after discharge for the index PE, analysing data from a multicentre prospective cohort study in Germany. Main and accompanying readmission diagnoses were used to calculate DRG-based hospital reimbursements; anticoagulation costs were estimated from the exact treatment duration and each drug's unique national identifier; and outpatient post-PE care costs from guidelines-recommended algorithms and national reimbursement catalogues. Of 1017 patients enrolled at 17 centres, 958 (94%) completed ≥3-month follow-up; of those, 24% were rehospitalized (0.34 [95% CI 0.30-0.39] readmissions per PE survivor). Age, coronary artery, pulmonary and kidney disease, diabetes, and (in the sensitivity analysis of 837 patients with complete 12-month follow-up) cancer, but not recurrent PE, were independent cost predictors by hurdle gamma regression accounting for zero readmissions. The estimated rehospitalization cost was €1138 (95% CI 896-1420) per patient. Anticoagulation duration was 329 (IQR 142-365) days, with estimated average per-patient costs of €1050 (median 972; IQR 458-1197); costs of scheduled ambulatory follow-up visits amounted to €181. Total estimated direct per-patient costs during the first year after PE ranged from €2369 (primary analysis) to €2542 (sensitivity analysis).

Conclusion: By estimating per-patient costs and identifying cost drivers of post-PE care, our study may inform decisions concerning implementation and reimbursement of follow-up programmes aiming at improved cardiovascular prevention.

求助全文
通过发布文献求助,成功后即可免费获取论文全文。 去求助
来源期刊
CiteScore
9.40
自引率
3.80%
发文量
76
期刊介绍: European Heart Journal - Quality of Care & Clinical Outcomes is an English language, peer-reviewed journal dedicated to publishing cardiovascular outcomes research. It serves as an official journal of the European Society of Cardiology and maintains a close alliance with the European Heart Health Institute. The journal disseminates original research and topical reviews contributed by health scientists globally, with a focus on the quality of care and its impact on cardiovascular outcomes at the hospital, national, and international levels. It provides a platform for presenting the most outstanding cardiovascular outcomes research to influence cardiovascular public health policy on a global scale. Additionally, the journal aims to motivate young investigators and foster the growth of the outcomes research community.
×
引用
GB/T 7714-2015
复制
MLA
复制
APA
复制
导出至
BibTeX EndNote RefMan NoteFirst NoteExpress
×
提示
您的信息不完整,为了账户安全,请先补充。
现在去补充
×
提示
您因"违规操作"
具体请查看互助需知
我知道了
×
提示
确定
请完成安全验证×
copy
已复制链接
快去分享给好友吧!
我知道了
右上角分享
点击右上角分享
0
联系我们:info@booksci.cn Book学术提供免费学术资源搜索服务,方便国内外学者检索中英文文献。致力于提供最便捷和优质的服务体验。 Copyright © 2023 布克学术 All rights reserved.
京ICP备2023020795号-1
ghs 京公网安备 11010802042870号
Book学术文献互助
Book学术文献互助群
群 号:604180095
Book学术官方微信