反运动深度对垂直跳跃神经力学的影响

IF 1.9 Q3 SPORT SCIENCES
Translational sports medicine Pub Date : 2024-06-06 eCollection Date: 2024-01-01 DOI:10.1155/2024/7113900
Malachy P McHugh, Josef Alexander Cohen, Karl F Orishimo, Ian J Kremenic
{"title":"反运动深度对垂直跳跃神经力学的影响","authors":"Malachy P McHugh, Josef Alexander Cohen, Karl F Orishimo, Ian J Kremenic","doi":"10.1155/2024/7113900","DOIUrl":null,"url":null,"abstract":"<p><p>The purpose of this study was to examine kinematic, kinetic, and muscle activation metrics during countermovement jumps (CMJs) with varying countermovement depths. The hypothesis was that a shallow countermovement depth would compromise jump height by disrupting neuromechanical control. Ten healthy men (age 26 ± 8 yr, height 1.81 ± 0.08 m, mass 83.5 ± 9.0 kg) performed maximal CMJs at self-selected countermovement depth (self-selected CMJ), at reduced countermovement depth (shallow CMJ), and at increased countermovement depth (deep CMJ). Three jumps were performed in each condition on force plates with ankle, knee, and hip motion recorded and electromyograms (EMG) recorded from the gluteus maximus (GM), vastus lateralis (VL), and medial gastrocnemius (MG) muscles. During CMJs, the knee flexion angle was recorded with an electrogoniometer. Jumpers were instructed to flex at least 15% less (shallow CMJ) and at least 15% more (deep CMJ) than the self-selected CMJs. Kinematic, kinetic, and EMG metrics were compared between the different CMJ depths using repeated measures ANOVA. Compared with self-selected CMJs, shallow CMJs had 26% less countermovement depth (<i>P</i> < 0.001, effect size 1.74) and the deep CMJs had 28% greater countermovement depth (<i>P</i> < 0.001, effect size 1.56). Jump height was 8% less for the shallow vs. self-selected CMJs (<i>P</i> = 0.007, effect size 1.09) but not different between self-selected and deep CMJs (<i>P</i> = 0.254). Shallow CMJs differed from self-selected CMJs at the initiation of the countermovement (unweighting). For self-selected CMJs, force dropped to 43% of body weight during unweighting but only to 58% for shallow CMJs (<i>P</i> = 0.015, effect size 0.95). During unweighting, VL EMG averaged 5.5% of MVC during self-selected CMJs versus 8.1% for shallow CMJs (<i>P</i> = 0.014, effect size 0.97). Percent decline in jump height with shallow versus self-selected CMJs was correlated with the difference in VL EMG during unweighting between shallow and self-selected CMJs (<i>r</i> = 0.651, <i>P</i> = 0.041). A deep countermovement prolonged the time to execute the jump by 38% (<i>P</i> < 0.010, effect size 1.04) but did not impair CMJ force metrics. In conclusion, self-selected countermovement depth represents a tradeoff between dropping the center of mass sufficiently far and executing the jump quickly. Unweighting at the initiation of a CMJ appears to be a critical element in the neuromechanics of the CMJ.</p>","PeriodicalId":75247,"journal":{"name":"Translational sports medicine","volume":"2024 ","pages":"7113900"},"PeriodicalIF":1.9000,"publicationDate":"2024-06-06","publicationTypes":"Journal Article","fieldsOfStudy":null,"isOpenAccess":false,"openAccessPdf":"https://www.ncbi.nlm.nih.gov/pmc/articles/PMC11208864/pdf/","citationCount":"0","resultStr":"{\"title\":\"Effect of Countermovement Depth on the Neuromechanics of a Vertical Jump.\",\"authors\":\"Malachy P McHugh, Josef Alexander Cohen, Karl F Orishimo, Ian J Kremenic\",\"doi\":\"10.1155/2024/7113900\",\"DOIUrl\":null,\"url\":null,\"abstract\":\"<p><p>The purpose of this study was to examine kinematic, kinetic, and muscle activation metrics during countermovement jumps (CMJs) with varying countermovement depths. The hypothesis was that a shallow countermovement depth would compromise jump height by disrupting neuromechanical control. Ten healthy men (age 26 ± 8 yr, height 1.81 ± 0.08 m, mass 83.5 ± 9.0 kg) performed maximal CMJs at self-selected countermovement depth (self-selected CMJ), at reduced countermovement depth (shallow CMJ), and at increased countermovement depth (deep CMJ). Three jumps were performed in each condition on force plates with ankle, knee, and hip motion recorded and electromyograms (EMG) recorded from the gluteus maximus (GM), vastus lateralis (VL), and medial gastrocnemius (MG) muscles. During CMJs, the knee flexion angle was recorded with an electrogoniometer. Jumpers were instructed to flex at least 15% less (shallow CMJ) and at least 15% more (deep CMJ) than the self-selected CMJs. Kinematic, kinetic, and EMG metrics were compared between the different CMJ depths using repeated measures ANOVA. Compared with self-selected CMJs, shallow CMJs had 26% less countermovement depth (<i>P</i> < 0.001, effect size 1.74) and the deep CMJs had 28% greater countermovement depth (<i>P</i> < 0.001, effect size 1.56). Jump height was 8% less for the shallow vs. self-selected CMJs (<i>P</i> = 0.007, effect size 1.09) but not different between self-selected and deep CMJs (<i>P</i> = 0.254). Shallow CMJs differed from self-selected CMJs at the initiation of the countermovement (unweighting). For self-selected CMJs, force dropped to 43% of body weight during unweighting but only to 58% for shallow CMJs (<i>P</i> = 0.015, effect size 0.95). During unweighting, VL EMG averaged 5.5% of MVC during self-selected CMJs versus 8.1% for shallow CMJs (<i>P</i> = 0.014, effect size 0.97). Percent decline in jump height with shallow versus self-selected CMJs was correlated with the difference in VL EMG during unweighting between shallow and self-selected CMJs (<i>r</i> = 0.651, <i>P</i> = 0.041). A deep countermovement prolonged the time to execute the jump by 38% (<i>P</i> < 0.010, effect size 1.04) but did not impair CMJ force metrics. In conclusion, self-selected countermovement depth represents a tradeoff between dropping the center of mass sufficiently far and executing the jump quickly. Unweighting at the initiation of a CMJ appears to be a critical element in the neuromechanics of the CMJ.</p>\",\"PeriodicalId\":75247,\"journal\":{\"name\":\"Translational sports medicine\",\"volume\":\"2024 \",\"pages\":\"7113900\"},\"PeriodicalIF\":1.9000,\"publicationDate\":\"2024-06-06\",\"publicationTypes\":\"Journal Article\",\"fieldsOfStudy\":null,\"isOpenAccess\":false,\"openAccessPdf\":\"https://www.ncbi.nlm.nih.gov/pmc/articles/PMC11208864/pdf/\",\"citationCount\":\"0\",\"resultStr\":null,\"platform\":\"Semanticscholar\",\"paperid\":null,\"PeriodicalName\":\"Translational sports medicine\",\"FirstCategoryId\":\"1085\",\"ListUrlMain\":\"https://doi.org/10.1155/2024/7113900\",\"RegionNum\":0,\"RegionCategory\":null,\"ArticlePicture\":[],\"TitleCN\":null,\"AbstractTextCN\":null,\"PMCID\":null,\"EPubDate\":\"2024/1/1 0:00:00\",\"PubModel\":\"eCollection\",\"JCR\":\"Q3\",\"JCRName\":\"SPORT SCIENCES\",\"Score\":null,\"Total\":0}","platform":"Semanticscholar","paperid":null,"PeriodicalName":"Translational sports medicine","FirstCategoryId":"1085","ListUrlMain":"https://doi.org/10.1155/2024/7113900","RegionNum":0,"RegionCategory":null,"ArticlePicture":[],"TitleCN":null,"AbstractTextCN":null,"PMCID":null,"EPubDate":"2024/1/1 0:00:00","PubModel":"eCollection","JCR":"Q3","JCRName":"SPORT SCIENCES","Score":null,"Total":0}
引用次数: 0

摘要

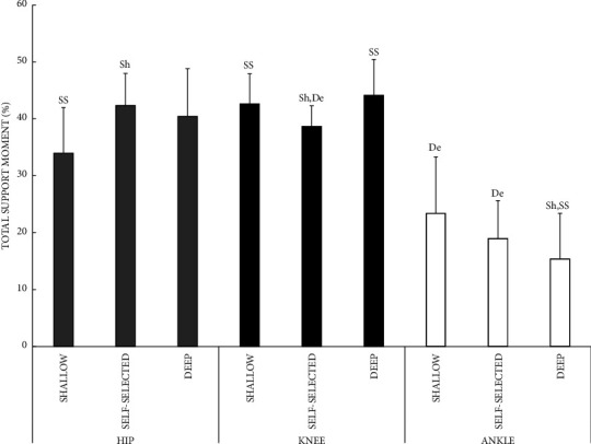
本研究的目的是研究不同反向运动深度的反向运动跳跃(CMJ)过程中的运动学、动力学和肌肉激活指标。假设是,较浅的反向运动深度会破坏神经机械控制,从而影响跳跃高度。十名健康男性(年龄 26 ± 8 岁,身高 1.81 ± 0.08 米,体重 83.5 ± 9.0 千克)分别在自选反运动深度(自选 CMJ)、降低反运动深度(浅 CMJ)和增加反运动深度(深 CMJ)的条件下进行了最大 CMJ。在每种条件下,在测力板上进行三次跳跃,记录踝关节、膝关节和髋关节的运动,并记录臀大肌(GM)、外侧阔肌(VL)和内侧腓肠肌(MG)的肌电图(EMG)。在 CMJ 过程中,用电动量角器记录膝关节屈曲角度。跳远者被要求比自选的 CMJ 屈曲至少少 15%(浅 CMJ)和至少多 15%(深 CMJ)。使用重复测量方差分析比较了不同 CMJ 深度的运动学、动力学和肌电图指标。与自选 CMJ 相比,浅 CMJ 的反运动深度减少了 26%(P < 0.001,效应大小为 1.74),而深 CMJ 的反运动深度增加了 28%(P < 0.001,效应大小为 1.56)。浅层 CMJ 与自选 CMJ 相比,跳跃高度降低了 8%(P = 0.007,效应大小为 1.09),但自选 CMJ 与深层 CMJ 之间没有差异(P = 0.254)。浅CMJs与自选CMJs在反运动开始时(失重)不同。对自选 CMJ 而言,在失重期间,力量下降到体重的 43%,但对浅 CMJ 而言,力量仅下降到体重的 58%(P = 0.015,效应大小为 0.95)。失重时,自选 CMJ 的 VL EMG 平均为 MVC 的 5.5%,而浅 CMJ 为 8.1%(P = 0.014,效应大小为 0.97)。浅层 CMJ 与自选 CMJ 相比,跳高下降百分比与浅层 CMJ 和自选 CMJ 解除负重时 VL EMG 的差异相关(r = 0.651,P = 0.041)。深度反向运动使执行跳跃的时间延长了 38%(P < 0.010,效应大小为 1.04),但并不影响 CMJ 力量指标。总之,自我选择的反向移动深度代表了在充分降低质心和快速执行跳跃之间的权衡。在 CMJ 开始时减轻重量似乎是 CMJ 神经力学中的一个关键因素。
本文章由计算机程序翻译,如有差异,请以英文原文为准。

Effect of Countermovement Depth on the Neuromechanics of a Vertical Jump.

Effect of Countermovement Depth on the Neuromechanics of a Vertical Jump.

Effect of Countermovement Depth on the Neuromechanics of a Vertical Jump.

Effect of Countermovement Depth on the Neuromechanics of a Vertical Jump.

The purpose of this study was to examine kinematic, kinetic, and muscle activation metrics during countermovement jumps (CMJs) with varying countermovement depths. The hypothesis was that a shallow countermovement depth would compromise jump height by disrupting neuromechanical control. Ten healthy men (age 26 ± 8 yr, height 1.81 ± 0.08 m, mass 83.5 ± 9.0 kg) performed maximal CMJs at self-selected countermovement depth (self-selected CMJ), at reduced countermovement depth (shallow CMJ), and at increased countermovement depth (deep CMJ). Three jumps were performed in each condition on force plates with ankle, knee, and hip motion recorded and electromyograms (EMG) recorded from the gluteus maximus (GM), vastus lateralis (VL), and medial gastrocnemius (MG) muscles. During CMJs, the knee flexion angle was recorded with an electrogoniometer. Jumpers were instructed to flex at least 15% less (shallow CMJ) and at least 15% more (deep CMJ) than the self-selected CMJs. Kinematic, kinetic, and EMG metrics were compared between the different CMJ depths using repeated measures ANOVA. Compared with self-selected CMJs, shallow CMJs had 26% less countermovement depth (P < 0.001, effect size 1.74) and the deep CMJs had 28% greater countermovement depth (P < 0.001, effect size 1.56). Jump height was 8% less for the shallow vs. self-selected CMJs (P = 0.007, effect size 1.09) but not different between self-selected and deep CMJs (P = 0.254). Shallow CMJs differed from self-selected CMJs at the initiation of the countermovement (unweighting). For self-selected CMJs, force dropped to 43% of body weight during unweighting but only to 58% for shallow CMJs (P = 0.015, effect size 0.95). During unweighting, VL EMG averaged 5.5% of MVC during self-selected CMJs versus 8.1% for shallow CMJs (P = 0.014, effect size 0.97). Percent decline in jump height with shallow versus self-selected CMJs was correlated with the difference in VL EMG during unweighting between shallow and self-selected CMJs (r = 0.651, P = 0.041). A deep countermovement prolonged the time to execute the jump by 38% (P < 0.010, effect size 1.04) but did not impair CMJ force metrics. In conclusion, self-selected countermovement depth represents a tradeoff between dropping the center of mass sufficiently far and executing the jump quickly. Unweighting at the initiation of a CMJ appears to be a critical element in the neuromechanics of the CMJ.

求助全文
通过发布文献求助,成功后即可免费获取论文全文。 去求助
来源期刊
CiteScore
3.00
自引率
0.00%
发文量
0
×
引用
GB/T 7714-2015
复制
MLA
复制
APA
复制
导出至
BibTeX EndNote RefMan NoteFirst NoteExpress
×
提示
您的信息不完整,为了账户安全,请先补充。
现在去补充
×
提示
您因"违规操作"
具体请查看互助需知
我知道了
×
提示
确定
请完成安全验证×
copy
已复制链接
快去分享给好友吧!
我知道了
右上角分享
点击右上角分享
0
联系我们:info@booksci.cn Book学术提供免费学术资源搜索服务,方便国内外学者检索中英文文献。致力于提供最便捷和优质的服务体验。 Copyright © 2023 布克学术 All rights reserved.
京ICP备2023020795号-1
ghs 京公网安备 11010802042870号
Book学术文献互助
Book学术文献互助群
群 号:604180095
Book学术官方微信