为高度选择性的严重 COVID-19 患者队列进行低覆盖率全基因组测序。

IF 1.2
GigaByte (Hong Kong, China) Pub Date : 2024-06-20 eCollection Date: 2024-01-01 DOI:10.46471/gigabyte.127
Renato Santos, Víctor Moreno-Torres, Ilduara Pintos, Octavio Corral, Carmen de Mendoza, Vicente Soriano, Manuel Corpas
{"title":"为高度选择性的严重 COVID-19 患者队列进行低覆盖率全基因组测序。","authors":"Renato Santos, Víctor Moreno-Torres, Ilduara Pintos, Octavio Corral, Carmen de Mendoza, Vicente Soriano, Manuel Corpas","doi":"10.46471/gigabyte.127","DOIUrl":null,"url":null,"abstract":"<p><p>Despite the advances in genetic marker identification associated with severe COVID-19, the full genetic characterisation of the disease remains elusive. This study explores imputation in low-coverage whole genome sequencing for a severe COVID-19 patient cohort. We generated a dataset of 79 imputed variant call format files using the GLIMPSE1 tool, each containing an average of 9.5 million single nucleotide variants. Validation revealed a high imputation accuracy (squared Pearson correlation ≍0.97) across sequencing platforms, showcasing GLIMPSE1's ability to confidently impute variants with minor allele frequencies as low as 2% in individuals with Spanish ancestry. We carried out a comprehensive analysis of the patient cohort, examining hospitalisation and intensive care utilisation, sex and age-based differences, and clinical phenotypes using a standardised set of medical terms developed to characterise severe COVID-19 symptoms. The methods and findings presented here can be leveraged for future genomic projects to gain vital insights into health challenges like COVID-19.</p>","PeriodicalId":73157,"journal":{"name":"GigaByte (Hong Kong, China)","volume":"2024 ","pages":"gigabyte127"},"PeriodicalIF":1.2000,"publicationDate":"2024-06-20","publicationTypes":"Journal Article","fieldsOfStudy":null,"isOpenAccess":false,"openAccessPdf":"https://www.ncbi.nlm.nih.gov/pmc/articles/PMC11211761/pdf/","citationCount":"0","resultStr":"{\"title\":\"Low-coverage whole genome sequencing for a highly selective cohort of severe COVID-19 patients.\",\"authors\":\"Renato Santos, Víctor Moreno-Torres, Ilduara Pintos, Octavio Corral, Carmen de Mendoza, Vicente Soriano, Manuel Corpas\",\"doi\":\"10.46471/gigabyte.127\",\"DOIUrl\":null,\"url\":null,\"abstract\":\"<p><p>Despite the advances in genetic marker identification associated with severe COVID-19, the full genetic characterisation of the disease remains elusive. This study explores imputation in low-coverage whole genome sequencing for a severe COVID-19 patient cohort. We generated a dataset of 79 imputed variant call format files using the GLIMPSE1 tool, each containing an average of 9.5 million single nucleotide variants. Validation revealed a high imputation accuracy (squared Pearson correlation ≍0.97) across sequencing platforms, showcasing GLIMPSE1's ability to confidently impute variants with minor allele frequencies as low as 2% in individuals with Spanish ancestry. We carried out a comprehensive analysis of the patient cohort, examining hospitalisation and intensive care utilisation, sex and age-based differences, and clinical phenotypes using a standardised set of medical terms developed to characterise severe COVID-19 symptoms. The methods and findings presented here can be leveraged for future genomic projects to gain vital insights into health challenges like COVID-19.</p>\",\"PeriodicalId\":73157,\"journal\":{\"name\":\"GigaByte (Hong Kong, China)\",\"volume\":\"2024 \",\"pages\":\"gigabyte127\"},\"PeriodicalIF\":1.2000,\"publicationDate\":\"2024-06-20\",\"publicationTypes\":\"Journal Article\",\"fieldsOfStudy\":null,\"isOpenAccess\":false,\"openAccessPdf\":\"https://www.ncbi.nlm.nih.gov/pmc/articles/PMC11211761/pdf/\",\"citationCount\":\"0\",\"resultStr\":null,\"platform\":\"Semanticscholar\",\"paperid\":null,\"PeriodicalName\":\"GigaByte (Hong Kong, China)\",\"FirstCategoryId\":\"1085\",\"ListUrlMain\":\"https://doi.org/10.46471/gigabyte.127\",\"RegionNum\":0,\"RegionCategory\":null,\"ArticlePicture\":[],\"TitleCN\":null,\"AbstractTextCN\":null,\"PMCID\":null,\"EPubDate\":\"2024/1/1 0:00:00\",\"PubModel\":\"eCollection\",\"JCR\":\"\",\"JCRName\":\"\",\"Score\":null,\"Total\":0}","platform":"Semanticscholar","paperid":null,"PeriodicalName":"GigaByte (Hong Kong, China)","FirstCategoryId":"1085","ListUrlMain":"https://doi.org/10.46471/gigabyte.127","RegionNum":0,"RegionCategory":null,"ArticlePicture":[],"TitleCN":null,"AbstractTextCN":null,"PMCID":null,"EPubDate":"2024/1/1 0:00:00","PubModel":"eCollection","JCR":"","JCRName":"","Score":null,"Total":0}
引用次数: 0

摘要

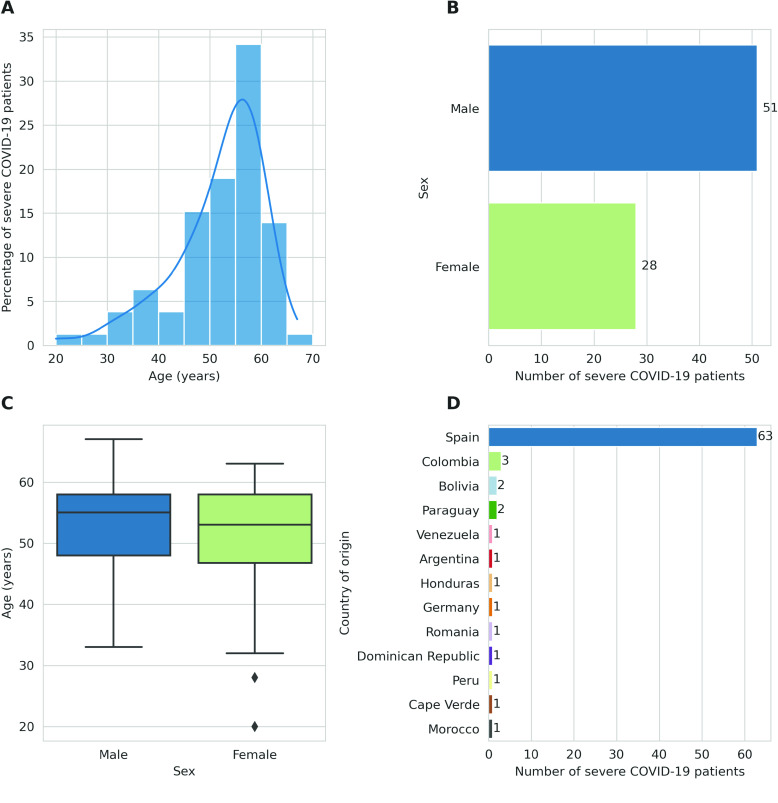
尽管在与重度 COVID-19 相关的遗传标记鉴定方面取得了进展,但该疾病的全部遗传特征仍然难以确定。本研究探讨了在低覆盖率全基因组测序中对重症 COVID-19 患者队列的估算。我们使用 GLIMPSE1 工具生成了一个包含 79 个估算变异调用格式文件的数据集,每个文件平均包含 950 万个单核苷酸变异。验证结果显示,GLIMPSE1 在各种测序平台上都具有很高的估算准确性(平方皮尔逊相关性 ≍0.97),展示了 GLIMPSE1 在西班牙血统个体中对小等位基因频率低至 2% 的变异进行可靠估算的能力。我们对患者队列进行了全面分析,使用一套为描述严重 COVID-19 症状而开发的标准化医学术语,检查了住院和重症监护使用情况、性别和年龄差异以及临床表型。本文介绍的方法和研究结果可用于未来的基因组项目,以深入了解 COVID-19 等健康挑战。
本文章由计算机程序翻译,如有差异,请以英文原文为准。

Low-coverage whole genome sequencing for a highly selective cohort of severe COVID-19 patients.

Low-coverage whole genome sequencing for a highly selective cohort of severe COVID-19 patients.

Low-coverage whole genome sequencing for a highly selective cohort of severe COVID-19 patients.

Low-coverage whole genome sequencing for a highly selective cohort of severe COVID-19 patients.

Despite the advances in genetic marker identification associated with severe COVID-19, the full genetic characterisation of the disease remains elusive. This study explores imputation in low-coverage whole genome sequencing for a severe COVID-19 patient cohort. We generated a dataset of 79 imputed variant call format files using the GLIMPSE1 tool, each containing an average of 9.5 million single nucleotide variants. Validation revealed a high imputation accuracy (squared Pearson correlation ≍0.97) across sequencing platforms, showcasing GLIMPSE1's ability to confidently impute variants with minor allele frequencies as low as 2% in individuals with Spanish ancestry. We carried out a comprehensive analysis of the patient cohort, examining hospitalisation and intensive care utilisation, sex and age-based differences, and clinical phenotypes using a standardised set of medical terms developed to characterise severe COVID-19 symptoms. The methods and findings presented here can be leveraged for future genomic projects to gain vital insights into health challenges like COVID-19.

求助全文
通过发布文献求助,成功后即可免费获取论文全文。 去求助
来源期刊
CiteScore
2.60
自引率
0.00%
发文量
0
审稿时长
5 weeks
×
引用
GB/T 7714-2015
复制
MLA
复制
APA
复制
导出至
BibTeX EndNote RefMan NoteFirst NoteExpress
×
提示
您的信息不完整,为了账户安全,请先补充。
现在去补充
×
提示
您因"违规操作"
具体请查看互助需知
我知道了
×
提示
确定
请完成安全验证×
copy
已复制链接
快去分享给好友吧!
我知道了
右上角分享
点击右上角分享
0
联系我们:info@booksci.cn Book学术提供免费学术资源搜索服务,方便国内外学者检索中英文文献。致力于提供最便捷和优质的服务体验。 Copyright © 2023 布克学术 All rights reserved.
京ICP备2023020795号-1
ghs 京公网安备 11010802042870号
Book学术文献互助
Book学术文献互助群
群 号:604180095
Book学术官方微信