单侧外周前庭功能障碍患者的主观视觉垂直度不对称。

IF 1.4 Q3 OTORHINOLARYNGOLOGY
Journal of Audiology and Otology Pub Date : 2024-07-01 Epub Date: 2024-07-02 DOI:10.7874/jao.2023.00346
Souad Haijoub, Michel Lacour
{"title":"单侧外周前庭功能障碍患者的主观视觉垂直度不对称。","authors":"Souad Haijoub, Michel Lacour","doi":"10.7874/jao.2023.00346","DOIUrl":null,"url":null,"abstract":"<p><strong>Background and objectives: </strong>Perception of verticality is clinically assessed using the subjective visual vertical (SVV), a test of the otolith system that consists of aligning a bar on the gravitational vertical in darkness. Patients with acute unilateral vestibulopathy (AUVP) show a systematic SVV bias toward the affected side, whichever the side of line orientation. Whether SVV estimates are symmetrical has not been investigated.</p><p><strong>Subjects and methods: </strong>This study included 10 patients with AUVP (vestibular neuritis) and 10 with BPPV (posterior semicircular canal). SVV measurements were made at two preset angles of line orientation (15° and 30°) toward the ipsilateral and contralateral sides, relative to the affected side.</p><p><strong>Results: </strong>The results showed asymmetrical SVV estimates in the AUVP group, with significantly greater SVV errors for ipsilateral than contralateral line orientation, as well as for the preset angle of 30° compared to 15°. SVV estimates were significantly lower in patients with BPPV who also exhibited SVV asymmetry. SVV estimates remained unchanged just after the maneuver and were normalized some days later or after supplementary maneuvers.</p><p><strong>Conclusions: </strong>SVV asymmetry should be routinely considered in the clinic. We recommend individually assessing ipsilateral and contralateral SVV and using at least two preset angles. This allows for a better assessment and diagnosis of otolith organ imbalance that can trigger chronic instability and dizziness. The contribution of neck afferents related to head position in space seems to be the main source of SVV asymmetry.</p>","PeriodicalId":44886,"journal":{"name":"Journal of Audiology and Otology","volume":" ","pages":"213-220"},"PeriodicalIF":1.4000,"publicationDate":"2024-07-01","publicationTypes":"Journal Article","fieldsOfStudy":null,"isOpenAccess":false,"openAccessPdf":"https://www.ncbi.nlm.nih.gov/pmc/articles/PMC11273183/pdf/","citationCount":"0","resultStr":"{\"title\":\"Asymmetry of the Subjective Visual Vertical in Patients With Unilateral Peripheral Vestibular Deficit.\",\"authors\":\"Souad Haijoub, Michel Lacour\",\"doi\":\"10.7874/jao.2023.00346\",\"DOIUrl\":null,\"url\":null,\"abstract\":\"<p><strong>Background and objectives: </strong>Perception of verticality is clinically assessed using the subjective visual vertical (SVV), a test of the otolith system that consists of aligning a bar on the gravitational vertical in darkness. Patients with acute unilateral vestibulopathy (AUVP) show a systematic SVV bias toward the affected side, whichever the side of line orientation. Whether SVV estimates are symmetrical has not been investigated.</p><p><strong>Subjects and methods: </strong>This study included 10 patients with AUVP (vestibular neuritis) and 10 with BPPV (posterior semicircular canal). SVV measurements were made at two preset angles of line orientation (15° and 30°) toward the ipsilateral and contralateral sides, relative to the affected side.</p><p><strong>Results: </strong>The results showed asymmetrical SVV estimates in the AUVP group, with significantly greater SVV errors for ipsilateral than contralateral line orientation, as well as for the preset angle of 30° compared to 15°. SVV estimates were significantly lower in patients with BPPV who also exhibited SVV asymmetry. SVV estimates remained unchanged just after the maneuver and were normalized some days later or after supplementary maneuvers.</p><p><strong>Conclusions: </strong>SVV asymmetry should be routinely considered in the clinic. We recommend individually assessing ipsilateral and contralateral SVV and using at least two preset angles. This allows for a better assessment and diagnosis of otolith organ imbalance that can trigger chronic instability and dizziness. The contribution of neck afferents related to head position in space seems to be the main source of SVV asymmetry.</p>\",\"PeriodicalId\":44886,\"journal\":{\"name\":\"Journal of Audiology and Otology\",\"volume\":\" \",\"pages\":\"213-220\"},\"PeriodicalIF\":1.4000,\"publicationDate\":\"2024-07-01\",\"publicationTypes\":\"Journal Article\",\"fieldsOfStudy\":null,\"isOpenAccess\":false,\"openAccessPdf\":\"https://www.ncbi.nlm.nih.gov/pmc/articles/PMC11273183/pdf/\",\"citationCount\":\"0\",\"resultStr\":null,\"platform\":\"Semanticscholar\",\"paperid\":null,\"PeriodicalName\":\"Journal of Audiology and Otology\",\"FirstCategoryId\":\"1085\",\"ListUrlMain\":\"https://doi.org/10.7874/jao.2023.00346\",\"RegionNum\":0,\"RegionCategory\":null,\"ArticlePicture\":[],\"TitleCN\":null,\"AbstractTextCN\":null,\"PMCID\":null,\"EPubDate\":\"2024/7/2 0:00:00\",\"PubModel\":\"Epub\",\"JCR\":\"Q3\",\"JCRName\":\"OTORHINOLARYNGOLOGY\",\"Score\":null,\"Total\":0}","platform":"Semanticscholar","paperid":null,"PeriodicalName":"Journal of Audiology and Otology","FirstCategoryId":"1085","ListUrlMain":"https://doi.org/10.7874/jao.2023.00346","RegionNum":0,"RegionCategory":null,"ArticlePicture":[],"TitleCN":null,"AbstractTextCN":null,"PMCID":null,"EPubDate":"2024/7/2 0:00:00","PubModel":"Epub","JCR":"Q3","JCRName":"OTORHINOLARYNGOLOGY","Score":null,"Total":0}
引用次数: 0

摘要

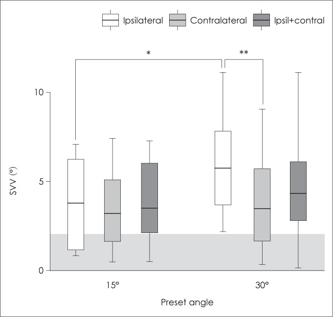
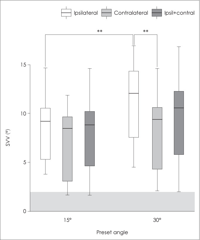
背景和目的: :临床上使用主观视觉垂直(SVV)来评估垂直感知,这是一项耳石系统测试,包括在黑暗中将一根横杆对准重力垂直线。急性单侧前庭大腺病(AUVP)患者表现出系统性的SVV偏向患侧,不管是哪一侧的线定向。SVV 估计值是否对称尚未得到研究:本研究包括 10 名 AUVP(前庭神经炎)患者和 10 名 BPPV(后半规管)患者。SVV 测量是在同侧和对侧相对于患侧的两个预设线方向角(15° 和 30°)进行的:结果显示,AUVP 组的 SVV 估计值不对称,同侧线方向的 SVV 误差明显大于对侧,预设角度 30° 的 SVV 误差也明显大于 15°。同样表现出 SVV 不对称的 BPPV 患者的 SVV 估计值明显较低。SVV 估计值在操作后保持不变,几天后或在补充操作后恢复正常:SVV 不对称在临床上应被常规考虑。我们建议单独评估同侧和对侧 SVV,并至少使用两个预设角度。这样可以更好地评估和诊断可能引发慢性不稳定和头晕的耳石器官失衡。与头部空间位置相关的颈部传入似乎是 SVV 不对称的主要原因。
本文章由计算机程序翻译,如有差异,请以英文原文为准。

Asymmetry of the Subjective Visual Vertical in Patients With Unilateral Peripheral Vestibular Deficit.

Asymmetry of the Subjective Visual Vertical in Patients With Unilateral Peripheral Vestibular Deficit.

Asymmetry of the Subjective Visual Vertical in Patients With Unilateral Peripheral Vestibular Deficit.

Asymmetry of the Subjective Visual Vertical in Patients With Unilateral Peripheral Vestibular Deficit.

Background and objectives: Perception of verticality is clinically assessed using the subjective visual vertical (SVV), a test of the otolith system that consists of aligning a bar on the gravitational vertical in darkness. Patients with acute unilateral vestibulopathy (AUVP) show a systematic SVV bias toward the affected side, whichever the side of line orientation. Whether SVV estimates are symmetrical has not been investigated.

Subjects and methods: This study included 10 patients with AUVP (vestibular neuritis) and 10 with BPPV (posterior semicircular canal). SVV measurements were made at two preset angles of line orientation (15° and 30°) toward the ipsilateral and contralateral sides, relative to the affected side.

Results: The results showed asymmetrical SVV estimates in the AUVP group, with significantly greater SVV errors for ipsilateral than contralateral line orientation, as well as for the preset angle of 30° compared to 15°. SVV estimates were significantly lower in patients with BPPV who also exhibited SVV asymmetry. SVV estimates remained unchanged just after the maneuver and were normalized some days later or after supplementary maneuvers.

Conclusions: SVV asymmetry should be routinely considered in the clinic. We recommend individually assessing ipsilateral and contralateral SVV and using at least two preset angles. This allows for a better assessment and diagnosis of otolith organ imbalance that can trigger chronic instability and dizziness. The contribution of neck afferents related to head position in space seems to be the main source of SVV asymmetry.

求助全文
通过发布文献求助,成功后即可免费获取论文全文。 去求助
来源期刊
Journal of Audiology and Otology
Journal of Audiology and Otology OTORHINOLARYNGOLOGY-
CiteScore
1.90
自引率
9.10%
发文量
20
期刊介绍: Journal of Audiology and Otology (JAO) (formerly known as Korean Journal of Audiology) aims to publish the most advanced findings for all aspects of the auditory and vestibular system and diseases of the ear using state-of-the-art techniques and analyses. The journal covers recent trends related to the topics of audiology, otology, and neurotology conducted by professionals, with the goal of providing better possible treatment to people of all ages, from infants to the elderly, who suffer from auditory and/or vestibular disorders and thus, improving their quality of life. This journal encourages the submission of review papers about current professional issues, research papers presenting a scientific base and clinical application, and case papers with unique reports or clinical trials. We also invite letters to the editor and papers related to the manufacture and distribution of medical devices. This journal provides integrated views from otologists, audiologists, and other healthcare practitioners, offering readers high quality scientific and clinical information. This peer-reviewed and open access journal has been the official journal of the Korean Audiological Society since 1997 and of both the Korean Audiological Society and the Korean Otological Society since 2017. It is published in English four times a year in January, April, July, and October.
×
引用
GB/T 7714-2015
复制
MLA
复制
APA
复制
导出至
BibTeX EndNote RefMan NoteFirst NoteExpress
×
提示
您的信息不完整,为了账户安全,请先补充。
现在去补充
×
提示
您因"违规操作"
具体请查看互助需知
我知道了
×
提示
确定
请完成安全验证×
copy
已复制链接
快去分享给好友吧!
我知道了
右上角分享
点击右上角分享
0
联系我们:info@booksci.cn Book学术提供免费学术资源搜索服务,方便国内外学者检索中英文文献。致力于提供最便捷和优质的服务体验。 Copyright © 2023 布克学术 All rights reserved.
京ICP备2023020795号-1
ghs 京公网安备 11010802042870号
Book学术文献互助
Book学术文献互助群
群 号:604180095
Book学术官方微信