从平衡到失衡:甲状腺微乳头状癌血浆谷胱甘肽浓度的紊乱。

IF 1.8 Q3 ENDOCRINOLOGY & METABOLISM
Fatemeh Eskandari, Mehdi Hedayati, S Mohammad Tavangar, Farnaz Rezaei, Afsaneh Khodagholipour, S Adeleh Razavi
{"title":"从平衡到失衡:甲状腺微乳头状癌血浆谷胱甘肽浓度的紊乱。","authors":"Fatemeh Eskandari, Mehdi Hedayati, S Mohammad Tavangar, Farnaz Rezaei, Afsaneh Khodagholipour, S Adeleh Razavi","doi":"10.1186/s13044-024-00204-9","DOIUrl":null,"url":null,"abstract":"<p><strong>Background: </strong>Despite the presence of evidence that establishes a strong correlation between oxidative stress and thyroid cancer, there exists a scarcity of research that investigates the specific role of glutathione as an important antioxidant in this particular context. The objective of this study was to assess the altered balance of oxidative stress in cases of thyroid cancer, which includes both papillary thyroid carcinoma (PTC) and micro PTC (mPTC), by examining and comparing the total antioxidant capacity (TAC), total oxidant status (TOS), oxidative stress index (OSI), reduced glutathione (GSH), oxidized glutathione (GSSG), and GSSG/GSH ratio with those of individuals diagnosed with multinodular goiter (MNG) as well as Healthy subjects.</p><p><strong>Materials and methods: </strong>Plasma samples were collected from 92 patients (23 mPTC, 23 PTC, 23 MNG, 23 Healthy). The levels of TAC, TOS, GSH, and GSSG were measured using a commercial assay kits, and the OSI and GSSG/GSH ratio were calculated for each sample. Statistical analyses were performed to compare the oxidative stress between the groups.</p><p><strong>Results: </strong>The plasma levels of TOS were significantly higher in the mPTC, PTC, and MNG groups compared to the Healthy individuals (p < 0.05). The OSI in the mPTC and PTC groups showed a significant increase compared to the Healthy group (p < 0.05). The levels of GSH in mPTC and PTC were markedly lower compared to the Healthy subjects (p < 0.01). Interestingly, the concentration of GSH in mPTC was found to be considerably lower than in PTC and MNG patients (p < 0.01).</p><p><strong>Conclusion: </strong>These findings indicate that GSH may be a useful biomarker for evaluating oxidative stress and antioxidant system status in patients with PTC, especially mPTC. Low levels of GSH may indicate increased levels of oxidative stress, which may contribute to the development and progression of mPTC to PTC.</p>","PeriodicalId":39048,"journal":{"name":"Thyroid Research","volume":"17 1","pages":"16"},"PeriodicalIF":1.8000,"publicationDate":"2024-07-01","publicationTypes":"Journal Article","fieldsOfStudy":null,"isOpenAccess":false,"openAccessPdf":"https://www.ncbi.nlm.nih.gov/pmc/articles/PMC11215827/pdf/","citationCount":"0","resultStr":"{\"title\":\"From balance to imbalance: disruption of plasma glutathione concentration in micropapillary thyroid carcinoma.\",\"authors\":\"Fatemeh Eskandari, Mehdi Hedayati, S Mohammad Tavangar, Farnaz Rezaei, Afsaneh Khodagholipour, S Adeleh Razavi\",\"doi\":\"10.1186/s13044-024-00204-9\",\"DOIUrl\":null,\"url\":null,\"abstract\":\"<p><strong>Background: </strong>Despite the presence of evidence that establishes a strong correlation between oxidative stress and thyroid cancer, there exists a scarcity of research that investigates the specific role of glutathione as an important antioxidant in this particular context. The objective of this study was to assess the altered balance of oxidative stress in cases of thyroid cancer, which includes both papillary thyroid carcinoma (PTC) and micro PTC (mPTC), by examining and comparing the total antioxidant capacity (TAC), total oxidant status (TOS), oxidative stress index (OSI), reduced glutathione (GSH), oxidized glutathione (GSSG), and GSSG/GSH ratio with those of individuals diagnosed with multinodular goiter (MNG) as well as Healthy subjects.</p><p><strong>Materials and methods: </strong>Plasma samples were collected from 92 patients (23 mPTC, 23 PTC, 23 MNG, 23 Healthy). The levels of TAC, TOS, GSH, and GSSG were measured using a commercial assay kits, and the OSI and GSSG/GSH ratio were calculated for each sample. Statistical analyses were performed to compare the oxidative stress between the groups.</p><p><strong>Results: </strong>The plasma levels of TOS were significantly higher in the mPTC, PTC, and MNG groups compared to the Healthy individuals (p < 0.05). The OSI in the mPTC and PTC groups showed a significant increase compared to the Healthy group (p < 0.05). The levels of GSH in mPTC and PTC were markedly lower compared to the Healthy subjects (p < 0.01). Interestingly, the concentration of GSH in mPTC was found to be considerably lower than in PTC and MNG patients (p < 0.01).</p><p><strong>Conclusion: </strong>These findings indicate that GSH may be a useful biomarker for evaluating oxidative stress and antioxidant system status in patients with PTC, especially mPTC. Low levels of GSH may indicate increased levels of oxidative stress, which may contribute to the development and progression of mPTC to PTC.</p>\",\"PeriodicalId\":39048,\"journal\":{\"name\":\"Thyroid Research\",\"volume\":\"17 1\",\"pages\":\"16\"},\"PeriodicalIF\":1.8000,\"publicationDate\":\"2024-07-01\",\"publicationTypes\":\"Journal Article\",\"fieldsOfStudy\":null,\"isOpenAccess\":false,\"openAccessPdf\":\"https://www.ncbi.nlm.nih.gov/pmc/articles/PMC11215827/pdf/\",\"citationCount\":\"0\",\"resultStr\":null,\"platform\":\"Semanticscholar\",\"paperid\":null,\"PeriodicalName\":\"Thyroid Research\",\"FirstCategoryId\":\"1085\",\"ListUrlMain\":\"https://doi.org/10.1186/s13044-024-00204-9\",\"RegionNum\":0,\"RegionCategory\":null,\"ArticlePicture\":[],\"TitleCN\":null,\"AbstractTextCN\":null,\"PMCID\":null,\"EPubDate\":\"\",\"PubModel\":\"\",\"JCR\":\"Q3\",\"JCRName\":\"ENDOCRINOLOGY & METABOLISM\",\"Score\":null,\"Total\":0}","platform":"Semanticscholar","paperid":null,"PeriodicalName":"Thyroid Research","FirstCategoryId":"1085","ListUrlMain":"https://doi.org/10.1186/s13044-024-00204-9","RegionNum":0,"RegionCategory":null,"ArticlePicture":[],"TitleCN":null,"AbstractTextCN":null,"PMCID":null,"EPubDate":"","PubModel":"","JCR":"Q3","JCRName":"ENDOCRINOLOGY & METABOLISM","Score":null,"Total":0}
引用次数: 0

摘要

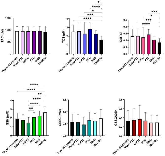
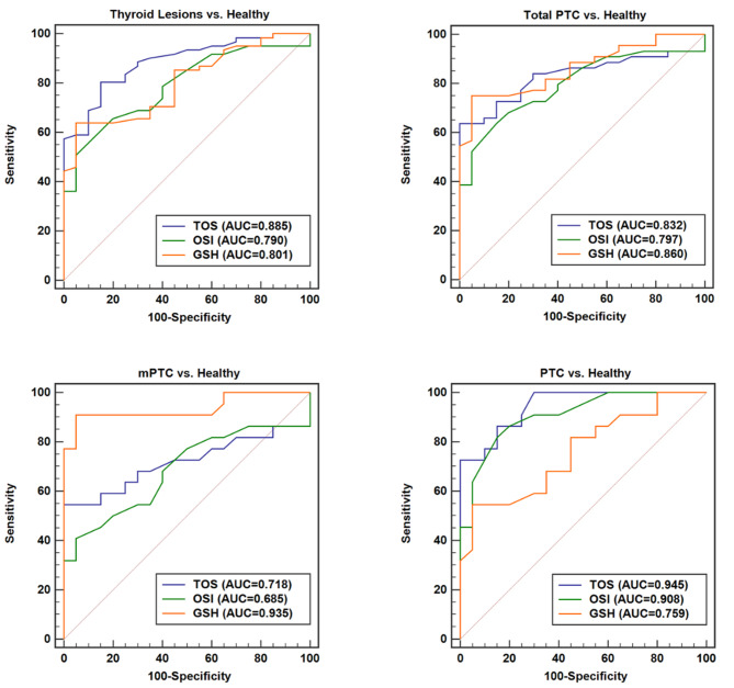
背景:尽管有证据表明氧化应激与甲状腺癌之间存在密切联系,但很少有研究调查谷胱甘肽作为一种重要的抗氧化剂在这种特殊情况下的具体作用。本研究的目的是通过检查和比较总抗氧化能力(TAC)、总氧化剂状态(TOS)和谷胱甘肽的抗氧化作用,评估甲状腺癌(包括甲状腺乳头状癌(PTC)和甲状腺微小癌(mPTC))病例中氧化应激平衡的改变、总氧化状态(TOS)、氧化应激指数(OSI)、还原型谷胱甘肽(GSH)、氧化型谷胱甘肽(GSSG)和 GSSG/GSH 比率,并将其与确诊为多结节性甲状腺肿(MNG)的患者和健康受试者进行比较。材料与方法收集了 92 名患者(23 名 mPTC、23 名 PTC、23 名 MNG、23 名健康人)的血浆样本。使用商业检测试剂盒测量 TAC、TOS、GSH 和 GSSG 的水平,并计算每个样本的 OSI 和 GSSG/GSH 比率。统计分析比较了各组之间的氧化应激情况:结果:与健康人相比,mPTC 组、PTC 组和 MNG 组血浆中的 TOS 水平明显更高(p 结论:这些结果表明,GSH 可能会影响血浆中的氧化应激:这些研究结果表明,GSH 可能是评估 PTC(尤其是 mPTC)患者氧化应激和抗氧化系统状态的有用生物标志物。低水平的 GSH 可能表明氧化应激水平升高,这可能会导致 mPTC 发展成为 PTC。
本文章由计算机程序翻译,如有差异,请以英文原文为准。

From balance to imbalance: disruption of plasma glutathione concentration in micropapillary thyroid carcinoma.

From balance to imbalance: disruption of plasma glutathione concentration in micropapillary thyroid carcinoma.

From balance to imbalance: disruption of plasma glutathione concentration in micropapillary thyroid carcinoma.

From balance to imbalance: disruption of plasma glutathione concentration in micropapillary thyroid carcinoma.

Background: Despite the presence of evidence that establishes a strong correlation between oxidative stress and thyroid cancer, there exists a scarcity of research that investigates the specific role of glutathione as an important antioxidant in this particular context. The objective of this study was to assess the altered balance of oxidative stress in cases of thyroid cancer, which includes both papillary thyroid carcinoma (PTC) and micro PTC (mPTC), by examining and comparing the total antioxidant capacity (TAC), total oxidant status (TOS), oxidative stress index (OSI), reduced glutathione (GSH), oxidized glutathione (GSSG), and GSSG/GSH ratio with those of individuals diagnosed with multinodular goiter (MNG) as well as Healthy subjects.

Materials and methods: Plasma samples were collected from 92 patients (23 mPTC, 23 PTC, 23 MNG, 23 Healthy). The levels of TAC, TOS, GSH, and GSSG were measured using a commercial assay kits, and the OSI and GSSG/GSH ratio were calculated for each sample. Statistical analyses were performed to compare the oxidative stress between the groups.

Results: The plasma levels of TOS were significantly higher in the mPTC, PTC, and MNG groups compared to the Healthy individuals (p < 0.05). The OSI in the mPTC and PTC groups showed a significant increase compared to the Healthy group (p < 0.05). The levels of GSH in mPTC and PTC were markedly lower compared to the Healthy subjects (p < 0.01). Interestingly, the concentration of GSH in mPTC was found to be considerably lower than in PTC and MNG patients (p < 0.01).

Conclusion: These findings indicate that GSH may be a useful biomarker for evaluating oxidative stress and antioxidant system status in patients with PTC, especially mPTC. Low levels of GSH may indicate increased levels of oxidative stress, which may contribute to the development and progression of mPTC to PTC.

求助全文
通过发布文献求助,成功后即可免费获取论文全文。 去求助
来源期刊
Thyroid Research
Thyroid Research Medicine-Endocrinology, Diabetes and Metabolism
CiteScore
3.10
自引率
4.50%
发文量
21
审稿时长
8 weeks
×
引用
GB/T 7714-2015
复制
MLA
复制
APA
复制
导出至
BibTeX EndNote RefMan NoteFirst NoteExpress
×
提示
您的信息不完整,为了账户安全,请先补充。
现在去补充
×
提示
您因"违规操作"
具体请查看互助需知
我知道了
×
提示
确定
请完成安全验证×
copy
已复制链接
快去分享给好友吧!
我知道了
右上角分享
点击右上角分享
0
联系我们:info@booksci.cn Book学术提供免费学术资源搜索服务,方便国内外学者检索中英文文献。致力于提供最便捷和优质的服务体验。 Copyright © 2023 布克学术 All rights reserved.
京ICP备2023020795号-1
ghs 京公网安备 11010802042870号
Book学术文献互助
Book学术文献互助群
群 号:604180095
Book学术官方微信