露兜树(Pandanus amaryllifoius Roxb.叶乙醇提取物可改善大鼠血脂异常模型中的血脂和前炎性细胞因子谱。

IF 1.8 Q3 INTEGRATIVE & COMPLEMENTARY MEDICINE
Martohap Parotua Lumbanraja, Kusnandar Anggadiredja, Neng Fisheri Kurniati, Hubbi Nashrullah Muhammad
{"title":"露兜树(Pandanus amaryllifoius Roxb.叶乙醇提取物可改善大鼠血脂异常模型中的血脂和前炎性细胞因子谱。","authors":"Martohap Parotua Lumbanraja, Kusnandar Anggadiredja, Neng Fisheri Kurniati, Hubbi Nashrullah Muhammad","doi":"10.3831/KPI.2024.27.2.101","DOIUrl":null,"url":null,"abstract":"<p><strong>Objectives: </strong>Dyslipidemia has currently become a major health challenge that still opens for safer and more effective modes of treatment. The plant <i>Pandanus amaryllifolius</i> Roxb. (pandan) has been indicated to contain active ingredients that interfere with the pathological pathway of dyslipidemia. The aim of the study was to test the effects of pandan leaves ethanol extract on lipid and proinflammatory profiles in a rat dyslipidemic model.</p><p><strong>Methods: </strong>Dyslipidemia was induced by administration of high-fat feed for 8 weeks. Treatments (vehicle, the reference drug simvastatin at 1.8 mg/kg, and extract at 200, 300 or 600 mg/kg) were given for 4 weeks following the completion of induction.</p><p><strong>Results: </strong>Significant post-treatment decreases in total cholesterol, low density lipoprotein (LDL), and triglyceride levels in groups receiving all doses of extract and simvastatin were observed. Similar results were also found in regards to proinflammatory cytokines levels. Pandan extracts significantly lowered the concentrations of IL-6, TNF-α, and NFκB p65. Characterization of metabolite contents of the extract confirmed the presence of the previously suggested active alkaloids pandamarilactonine-A and B.</p><p><strong>Conclusion: </strong>Taken together, results of the present study implied the ameliorating effects of pandan leaves ethanol extract in dyslipidemic condition which is potential for opening an avenue in combating this essential component of metabolic disorder.</p>","PeriodicalId":16769,"journal":{"name":"Journal of Pharmacopuncture","volume":"27 2","pages":"101-109"},"PeriodicalIF":1.8000,"publicationDate":"2024-06-30","publicationTypes":"Journal Article","fieldsOfStudy":null,"isOpenAccess":false,"openAccessPdf":"https://www.ncbi.nlm.nih.gov/pmc/articles/PMC11194525/pdf/","citationCount":"0","resultStr":"{\"title\":\"<i>Pandanus amaryllifoius</i> Roxb. Leaves Ethanol Extract Ameliorates Lipid and Proinflammatory Cytokines Profiles in a Rat Model of Dyslipidemia.\",\"authors\":\"Martohap Parotua Lumbanraja, Kusnandar Anggadiredja, Neng Fisheri Kurniati, Hubbi Nashrullah Muhammad\",\"doi\":\"10.3831/KPI.2024.27.2.101\",\"DOIUrl\":null,\"url\":null,\"abstract\":\"<p><strong>Objectives: </strong>Dyslipidemia has currently become a major health challenge that still opens for safer and more effective modes of treatment. The plant <i>Pandanus amaryllifolius</i> Roxb. (pandan) has been indicated to contain active ingredients that interfere with the pathological pathway of dyslipidemia. The aim of the study was to test the effects of pandan leaves ethanol extract on lipid and proinflammatory profiles in a rat dyslipidemic model.</p><p><strong>Methods: </strong>Dyslipidemia was induced by administration of high-fat feed for 8 weeks. Treatments (vehicle, the reference drug simvastatin at 1.8 mg/kg, and extract at 200, 300 or 600 mg/kg) were given for 4 weeks following the completion of induction.</p><p><strong>Results: </strong>Significant post-treatment decreases in total cholesterol, low density lipoprotein (LDL), and triglyceride levels in groups receiving all doses of extract and simvastatin were observed. Similar results were also found in regards to proinflammatory cytokines levels. Pandan extracts significantly lowered the concentrations of IL-6, TNF-α, and NFκB p65. Characterization of metabolite contents of the extract confirmed the presence of the previously suggested active alkaloids pandamarilactonine-A and B.</p><p><strong>Conclusion: </strong>Taken together, results of the present study implied the ameliorating effects of pandan leaves ethanol extract in dyslipidemic condition which is potential for opening an avenue in combating this essential component of metabolic disorder.</p>\",\"PeriodicalId\":16769,\"journal\":{\"name\":\"Journal of Pharmacopuncture\",\"volume\":\"27 2\",\"pages\":\"101-109\"},\"PeriodicalIF\":1.8000,\"publicationDate\":\"2024-06-30\",\"publicationTypes\":\"Journal Article\",\"fieldsOfStudy\":null,\"isOpenAccess\":false,\"openAccessPdf\":\"https://www.ncbi.nlm.nih.gov/pmc/articles/PMC11194525/pdf/\",\"citationCount\":\"0\",\"resultStr\":null,\"platform\":\"Semanticscholar\",\"paperid\":null,\"PeriodicalName\":\"Journal of Pharmacopuncture\",\"FirstCategoryId\":\"1085\",\"ListUrlMain\":\"https://doi.org/10.3831/KPI.2024.27.2.101\",\"RegionNum\":0,\"RegionCategory\":null,\"ArticlePicture\":[],\"TitleCN\":null,\"AbstractTextCN\":null,\"PMCID\":null,\"EPubDate\":\"\",\"PubModel\":\"\",\"JCR\":\"Q3\",\"JCRName\":\"INTEGRATIVE & COMPLEMENTARY MEDICINE\",\"Score\":null,\"Total\":0}","platform":"Semanticscholar","paperid":null,"PeriodicalName":"Journal of Pharmacopuncture","FirstCategoryId":"1085","ListUrlMain":"https://doi.org/10.3831/KPI.2024.27.2.101","RegionNum":0,"RegionCategory":null,"ArticlePicture":[],"TitleCN":null,"AbstractTextCN":null,"PMCID":null,"EPubDate":"","PubModel":"","JCR":"Q3","JCRName":"INTEGRATIVE & COMPLEMENTARY MEDICINE","Score":null,"Total":0}
引用次数: 0

摘要

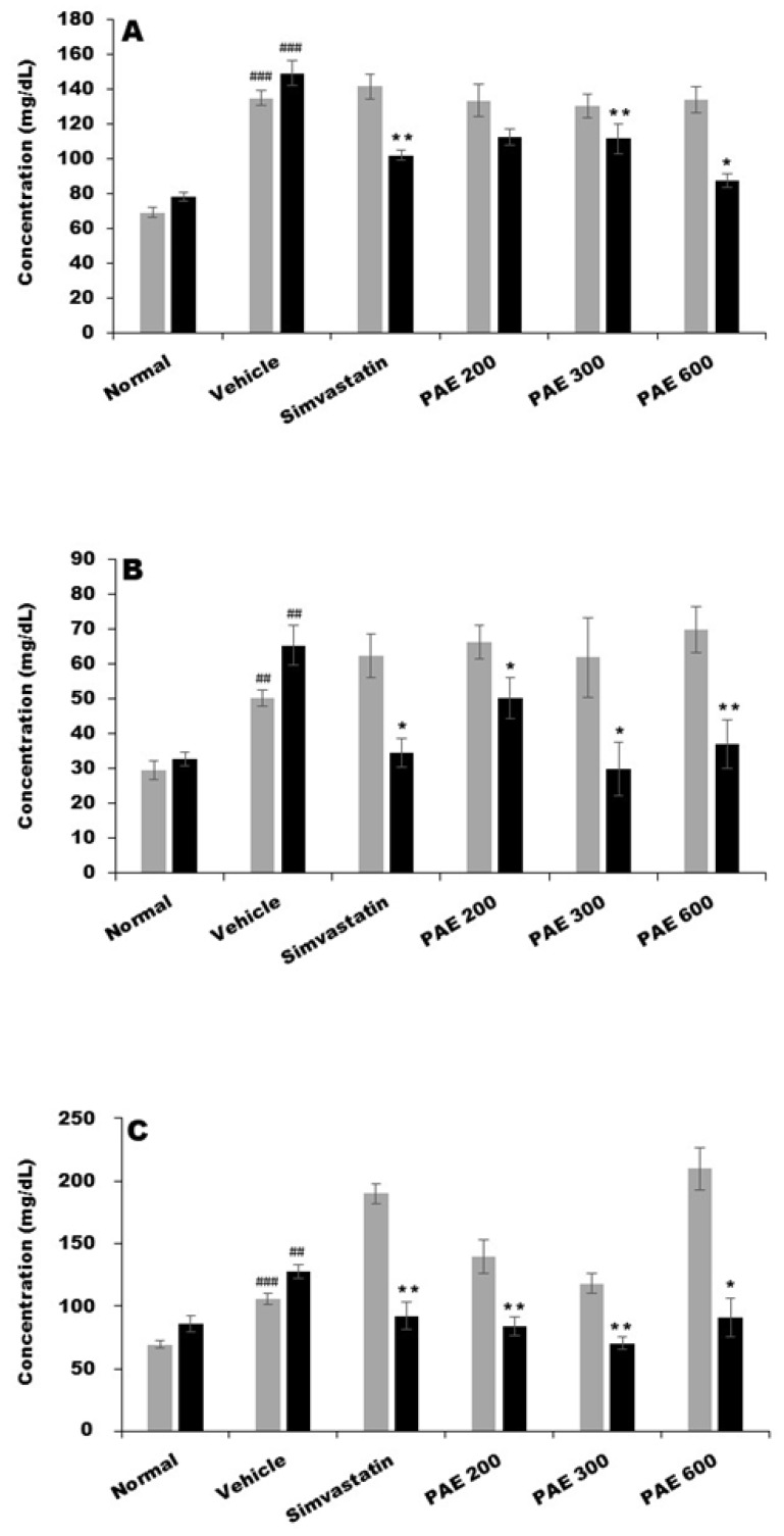
目的:目前,血脂异常已成为一项重大的健康挑战,仍然需要更安全、更有效的治疗方法。植物 Pandanus amaryllifolius Roxb.(蒲丹)已被证实含有干扰血脂异常病理途径的活性成分。本研究的目的是测试蒲公英叶乙醇提取物对大鼠血脂异常模型中血脂和促炎特征的影响:方法:给大鼠喂食高脂饲料 8 周,诱发血脂异常。诱导结束后,对大鼠进行为期 4 周的治疗(载体、参考药物辛伐他汀(1.8 毫克/千克)和提取物(200、300 或 600 毫克/千克)):结果:在接受所有剂量提取物和辛伐他汀治疗的组别中,总胆固醇、低密度脂蛋白(LDL)和甘油三酯水平在治疗后都有显著下降。在促炎细胞因子水平方面也发现了类似的结果。丹皮提取物能明显降低 IL-6、TNF-α 和 NFκB p65 的浓度。对提取物中代谢物含量的分析证实了之前提出的活性生物碱 pandamarilactonine-A 和 B 的存在:综上所述,本研究的结果表明,蒲丹叶乙醇提取物对血脂异常有改善作用,有望为防治这种代谢紊乱的重要组成部分开辟一条途径。
本文章由计算机程序翻译,如有差异,请以英文原文为准。

<i>Pandanus amaryllifoius</i> Roxb. Leaves Ethanol Extract Ameliorates Lipid and Proinflammatory Cytokines Profiles in a Rat Model of Dyslipidemia.

<i>Pandanus amaryllifoius</i> Roxb. Leaves Ethanol Extract Ameliorates Lipid and Proinflammatory Cytokines Profiles in a Rat Model of Dyslipidemia.

<i>Pandanus amaryllifoius</i> Roxb. Leaves Ethanol Extract Ameliorates Lipid and Proinflammatory Cytokines Profiles in a Rat Model of Dyslipidemia.

Pandanus amaryllifoius Roxb. Leaves Ethanol Extract Ameliorates Lipid and Proinflammatory Cytokines Profiles in a Rat Model of Dyslipidemia.

Objectives: Dyslipidemia has currently become a major health challenge that still opens for safer and more effective modes of treatment. The plant Pandanus amaryllifolius Roxb. (pandan) has been indicated to contain active ingredients that interfere with the pathological pathway of dyslipidemia. The aim of the study was to test the effects of pandan leaves ethanol extract on lipid and proinflammatory profiles in a rat dyslipidemic model.

Methods: Dyslipidemia was induced by administration of high-fat feed for 8 weeks. Treatments (vehicle, the reference drug simvastatin at 1.8 mg/kg, and extract at 200, 300 or 600 mg/kg) were given for 4 weeks following the completion of induction.

Results: Significant post-treatment decreases in total cholesterol, low density lipoprotein (LDL), and triglyceride levels in groups receiving all doses of extract and simvastatin were observed. Similar results were also found in regards to proinflammatory cytokines levels. Pandan extracts significantly lowered the concentrations of IL-6, TNF-α, and NFκB p65. Characterization of metabolite contents of the extract confirmed the presence of the previously suggested active alkaloids pandamarilactonine-A and B.

Conclusion: Taken together, results of the present study implied the ameliorating effects of pandan leaves ethanol extract in dyslipidemic condition which is potential for opening an avenue in combating this essential component of metabolic disorder.

求助全文
通过发布文献求助,成功后即可免费获取论文全文。 去求助
来源期刊
Journal of Pharmacopuncture
Journal of Pharmacopuncture INTEGRATIVE & COMPLEMENTARY MEDICINE-
CiteScore
2.10
自引率
7.10%
发文量
42
审稿时长
10 weeks
期刊介绍: The Journal of Pharmacopuncture covers a wide range of basic and clinical science research relevant to all aspects of the biotechnology of integrated approaches using both pharmacology and acupuncture therapeutics, including research involving pharmacology, acupuncture studies and pharmacopuncture studies. The subjects are mainly divided into three categories: pharmacology (applied phytomedicine, plant sciences, pharmacology, toxicology, medicinal plants, traditional medicines, herbal medicine, Sasang constitutional medicine, herbal formulae, foods, agricultural technologies, naturopathy, etc.), acupuncture (acupressure, electroacupuncture, laser acupuncture, moxibustion, cupping, etc.), and pharmacopuncture (aqua-acupuncture, meridian pharmacopuncture, eight-principles pharmacopuncture, animal-based pharmacopuncture, mountain ginseng pharmacopuncture, bee venom therapy, needle embedding therapy, implant therapy, etc.). Other categories include chuna treatment, veterinary acupuncture and related animal studies, alternative medicines for treating cancer and cancer-related symptoms, etc. Broader topical coverage on the effects of acupuncture, the medical plants used in traditional and alternative medicine, pharmacological action and other related modalities, such as anthroposophy, homeopathy, ayurveda, bioelectromagnetic therapy, chiropractic, neural therapy and meditation, can be considered to be within the journal’s scope if based on acupoints and meridians. Submissions of original articles, review articles, systematic reviews, case reports, brief reports, opinions, commentaries, medical lectures, letters to the editor, photo-essays, technical notes, and book reviews are encouraged. Providing free access to the full text of all current and archived articles on its website (www.journal.ac), also searchable through a Google Scholar search.
×
引用
GB/T 7714-2015
复制
MLA
复制
APA
复制
导出至
BibTeX EndNote RefMan NoteFirst NoteExpress
×
提示
您的信息不完整,为了账户安全,请先补充。
现在去补充
×
提示
您因"违规操作"
具体请查看互助需知
我知道了
×
提示
确定
请完成安全验证×
copy
已复制链接
快去分享给好友吧!
我知道了
右上角分享
点击右上角分享
0
联系我们:info@booksci.cn Book学术提供免费学术资源搜索服务,方便国内外学者检索中英文文献。致力于提供最便捷和优质的服务体验。 Copyright © 2023 布克学术 All rights reserved.
京ICP备2023020795号-1
ghs 京公网安备 11010802042870号
Book学术文献互助
Book学术文献互助群
群 号:604180095
Book学术官方微信