北卡罗来纳州棕榈苋种群对草铵膦抗性的确认和遗传。

Q3 Agricultural and Biological Sciences
Plant-environment interactions (Hoboken, N.J.) Pub Date : 2024-06-25 eCollection Date: 2024-06-01 DOI:10.1002/pei3.10154
Eric A L Jones, Jeffrey C Dunne, Charles W Cahoon, Katherine M Jennings, Ramon G Leon, Wesley J Everman
{"title":"北卡罗来纳州棕榈苋种群对草铵膦抗性的确认和遗传。","authors":"Eric A L Jones, Jeffrey C Dunne, Charles W Cahoon, Katherine M Jennings, Ramon G Leon, Wesley J Everman","doi":"10.1002/pei3.10154","DOIUrl":null,"url":null,"abstract":"<p><p>A putative glufosinate-resistant <i>Amaranthus palmeri</i> population was reported in 2015 in Anson County, North Carolina. The results from dose-response assays conducted in the field suggested plants were surviving lethal rates of glufosinate. Dose-response assays conducted in the glasshouse determined the Anson County accession exhibited reduced susceptibility to glufosinate compared to three glufosinate-susceptible populations. The LD<sub>50</sub> values (210-316 g ai ha<sup>-1</sup>) for the Anson County population were always higher than the LD<sub>50</sub> values (118-158 g ai ha<sup>-1</sup>) for the tested susceptible populations from the dose-response assays. Anson County plants that survived lethal glufosinate rates were reciprocally crossed with susceptible plants to create F<sub>1</sub> genotypes and treated with a lethal rate of glufosinate (267 g ai ha<sup>-1</sup>; ascertained from glasshouse dose-response assay) to determine the distribution of injury and survival for each cross compared to a cross of susceptible parents. The distribution of injury was non-normal for the crosses containing an Anson County plant compared to the cross with a susceptible parent. Survival was 68%-84% for crosses containing an Anson County plant, whereas the survival was significantly reduced to 35% for the susceptible plant cross. Chi-square goodness of fit tests were used to test inheritance models to describe the responses of the genotypes. The resistant × susceptible crosses were best described with a heterozygous two loci with incomplete dominance model compared to the resistant × resistant cross that was best described with a heterozygous single locus with incomplete dominance model. The Anson County population has evolved resistance to glufosinate that is heritable and likely conferred by an oligogenic mechanism with incomplete dominance.</p>","PeriodicalId":74457,"journal":{"name":"Plant-environment interactions (Hoboken, N.J.)","volume":"5 3","pages":"e10154"},"PeriodicalIF":0.0000,"publicationDate":"2024-06-25","publicationTypes":"Journal Article","fieldsOfStudy":null,"isOpenAccess":false,"openAccessPdf":"https://www.ncbi.nlm.nih.gov/pmc/articles/PMC11199332/pdf/","citationCount":"0","resultStr":"{\"title\":\"Confirmation and inheritance of glufosinate resistance in an <i>Amaranthus palmeri</i> population from North Carolina.\",\"authors\":\"Eric A L Jones, Jeffrey C Dunne, Charles W Cahoon, Katherine M Jennings, Ramon G Leon, Wesley J Everman\",\"doi\":\"10.1002/pei3.10154\",\"DOIUrl\":null,\"url\":null,\"abstract\":\"<p><p>A putative glufosinate-resistant <i>Amaranthus palmeri</i> population was reported in 2015 in Anson County, North Carolina. The results from dose-response assays conducted in the field suggested plants were surviving lethal rates of glufosinate. Dose-response assays conducted in the glasshouse determined the Anson County accession exhibited reduced susceptibility to glufosinate compared to three glufosinate-susceptible populations. The LD<sub>50</sub> values (210-316 g ai ha<sup>-1</sup>) for the Anson County population were always higher than the LD<sub>50</sub> values (118-158 g ai ha<sup>-1</sup>) for the tested susceptible populations from the dose-response assays. Anson County plants that survived lethal glufosinate rates were reciprocally crossed with susceptible plants to create F<sub>1</sub> genotypes and treated with a lethal rate of glufosinate (267 g ai ha<sup>-1</sup>; ascertained from glasshouse dose-response assay) to determine the distribution of injury and survival for each cross compared to a cross of susceptible parents. The distribution of injury was non-normal for the crosses containing an Anson County plant compared to the cross with a susceptible parent. Survival was 68%-84% for crosses containing an Anson County plant, whereas the survival was significantly reduced to 35% for the susceptible plant cross. Chi-square goodness of fit tests were used to test inheritance models to describe the responses of the genotypes. The resistant × susceptible crosses were best described with a heterozygous two loci with incomplete dominance model compared to the resistant × resistant cross that was best described with a heterozygous single locus with incomplete dominance model. The Anson County population has evolved resistance to glufosinate that is heritable and likely conferred by an oligogenic mechanism with incomplete dominance.</p>\",\"PeriodicalId\":74457,\"journal\":{\"name\":\"Plant-environment interactions (Hoboken, N.J.)\",\"volume\":\"5 3\",\"pages\":\"e10154\"},\"PeriodicalIF\":0.0000,\"publicationDate\":\"2024-06-25\",\"publicationTypes\":\"Journal Article\",\"fieldsOfStudy\":null,\"isOpenAccess\":false,\"openAccessPdf\":\"https://www.ncbi.nlm.nih.gov/pmc/articles/PMC11199332/pdf/\",\"citationCount\":\"0\",\"resultStr\":null,\"platform\":\"Semanticscholar\",\"paperid\":null,\"PeriodicalName\":\"Plant-environment interactions (Hoboken, N.J.)\",\"FirstCategoryId\":\"1085\",\"ListUrlMain\":\"https://doi.org/10.1002/pei3.10154\",\"RegionNum\":0,\"RegionCategory\":null,\"ArticlePicture\":[],\"TitleCN\":null,\"AbstractTextCN\":null,\"PMCID\":null,\"EPubDate\":\"2024/6/1 0:00:00\",\"PubModel\":\"eCollection\",\"JCR\":\"Q3\",\"JCRName\":\"Agricultural and Biological Sciences\",\"Score\":null,\"Total\":0}","platform":"Semanticscholar","paperid":null,"PeriodicalName":"Plant-environment interactions (Hoboken, N.J.)","FirstCategoryId":"1085","ListUrlMain":"https://doi.org/10.1002/pei3.10154","RegionNum":0,"RegionCategory":null,"ArticlePicture":[],"TitleCN":null,"AbstractTextCN":null,"PMCID":null,"EPubDate":"2024/6/1 0:00:00","PubModel":"eCollection","JCR":"Q3","JCRName":"Agricultural and Biological Sciences","Score":null,"Total":0}
引用次数: 0

摘要

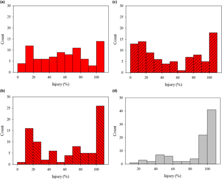
2015 年,北卡罗来纳州安森县报告了一个可能对草铵膦具有抗性的棕榈苋种群。在田间进行的剂量反应测定结果表明,植物在草铵膦的致死率下仍能存活。在玻璃温室中进行的剂量反应测定结果表明,与三个对草铵膦敏感的种群相比,安森县的种群对草铵膦的敏感性有所降低。安森县种群的半数致死剂量值(210-316 g ai ha-1)始终高于剂量反应试验中易感种群的半数致死剂量值(118-158 g ai ha-1)。安森县幸存下来的草铵膦致死率植物与易感植物进行互交,产生 F1 基因型,并用草铵膦致死率(267 g ai ha-1;由玻璃温室剂量反应试验确定)处理,以确定每个杂交种与易感亲本杂交种相比的伤害和存活率分布。与含有易感亲本的杂交相比,含有安森县植物的杂交的伤害分布是非正态分布。含有安森县植株的杂交种的存活率为 68%-84%,而易感植株杂交种的存活率明显降低到 35%。利用卡方拟合优度检验来测试描述基因型反应的遗传模型。抗性×易感杂交与抗性×抗性杂交相比,抗性×易感杂交以杂合双基因座不完全显性模式描述最佳,而抗性×抗性杂交则以杂合单基因座不完全显性模式描述最佳。安森县种群已进化出对草铵膦的抗性,这种抗性是可遗传的,而且很可能是通过不完全显性的寡显机制赋予的。
本文章由计算机程序翻译,如有差异,请以英文原文为准。

Confirmation and inheritance of glufosinate resistance in an <i>Amaranthus palmeri</i> population from North Carolina.

Confirmation and inheritance of glufosinate resistance in an <i>Amaranthus palmeri</i> population from North Carolina.

Confirmation and inheritance of glufosinate resistance in an <i>Amaranthus palmeri</i> population from North Carolina.

Confirmation and inheritance of glufosinate resistance in an Amaranthus palmeri population from North Carolina.

A putative glufosinate-resistant Amaranthus palmeri population was reported in 2015 in Anson County, North Carolina. The results from dose-response assays conducted in the field suggested plants were surviving lethal rates of glufosinate. Dose-response assays conducted in the glasshouse determined the Anson County accession exhibited reduced susceptibility to glufosinate compared to three glufosinate-susceptible populations. The LD50 values (210-316 g ai ha-1) for the Anson County population were always higher than the LD50 values (118-158 g ai ha-1) for the tested susceptible populations from the dose-response assays. Anson County plants that survived lethal glufosinate rates were reciprocally crossed with susceptible plants to create F1 genotypes and treated with a lethal rate of glufosinate (267 g ai ha-1; ascertained from glasshouse dose-response assay) to determine the distribution of injury and survival for each cross compared to a cross of susceptible parents. The distribution of injury was non-normal for the crosses containing an Anson County plant compared to the cross with a susceptible parent. Survival was 68%-84% for crosses containing an Anson County plant, whereas the survival was significantly reduced to 35% for the susceptible plant cross. Chi-square goodness of fit tests were used to test inheritance models to describe the responses of the genotypes. The resistant × susceptible crosses were best described with a heterozygous two loci with incomplete dominance model compared to the resistant × resistant cross that was best described with a heterozygous single locus with incomplete dominance model. The Anson County population has evolved resistance to glufosinate that is heritable and likely conferred by an oligogenic mechanism with incomplete dominance.

求助全文
通过发布文献求助,成功后即可免费获取论文全文。 去求助
来源期刊
CiteScore
2.70
自引率
0.00%
发文量
0
审稿时长
15 weeks
×
引用
GB/T 7714-2015
复制
MLA
复制
APA
复制
导出至
BibTeX EndNote RefMan NoteFirst NoteExpress
×
提示
您的信息不完整,为了账户安全,请先补充。
现在去补充
×
提示
您因"违规操作"
具体请查看互助需知
我知道了
×
提示
确定
请完成安全验证×
copy
已复制链接
快去分享给好友吧!
我知道了
右上角分享
点击右上角分享
0
联系我们:info@booksci.cn Book学术提供免费学术资源搜索服务,方便国内外学者检索中英文文献。致力于提供最便捷和优质的服务体验。 Copyright © 2023 布克学术 All rights reserved.
京ICP备2023020795号-1
ghs 京公网安备 11010802042870号
Book学术文献互助
Book学术文献互助群
群 号:604180095
Book学术官方微信