肢端肥大症患者阻塞性睡眠呼吸暂停筛查和手术效果:一项前瞻性研究

IF 4.2 3区 医学 Q2 ENDOCRINOLOGY & METABOLISM
Endocrinology and Metabolism Pub Date : 2024-08-01 Epub Date: 2024-06-26 DOI:10.3803/EnM.2024.1933
Jaeyoung Cho, Jung Hee Kim, Yong Hwy Kim, Jinwoo Lee
{"title":"肢端肥大症患者阻塞性睡眠呼吸暂停筛查和手术效果:一项前瞻性研究","authors":"Jaeyoung Cho, Jung Hee Kim, Yong Hwy Kim, Jinwoo Lee","doi":"10.3803/EnM.2024.1933","DOIUrl":null,"url":null,"abstract":"<p><strong>Backgruound: </strong>To identify a screening tool for obstructive sleep apnea (OSA) and evaluate the effects of endoscopic transsphenoidal surgery on improving OSA in patients with acromegaly.</p><p><strong>Methods: </strong>We prospectively enrolled adults with acromegaly scheduled for endoscopic transsphenoidal surgery. All measurements were conducted when participants were admitted for a baseline work-up for acromegaly before surgery and surveillance approximately 3 to 6 months after surgery. Respiratory event index (REI) was used as a surrogate for apnea-hypopnea index (Trial Registration: NCT03526016).</p><p><strong>Results: </strong>Of the 35 patients with acromegaly (median age, 47 years; 40% men; median body mass index, 24.4 kg/m2), 24 (68.6%) had OSA (REI ≥5/hour), 15 (42.9%) had moderate-to-severe OSA (REI ≥15/hour). At baseline, serum insulin-like growth factor 1 (IGF-1) levels were positively correlated with the REI (ρ=0.53, P=0.001). The sensitivity and negative predictive value of a Snoring, Tiredness, Observed apnea, high blood Pressure-Body mass index, age, Neck circumference, and Gender (STOP-Bang) score ≥ 3 were 93.3% and 87.5%, respectively, detecting moderate-to-severe OSA. Biochemical acromegaly remission was achieved in 32 (91.4%) patients. The median difference in the REI was -9.5/hour (95% confidence interval, -13.3 to -5.3). Half of the 24 patients diagnosed with OSA preoperatively had REI <5/hour postoperatively. In a linear mixed-effects model, changes in the REI across surgery were related to changes in IGF-1 levels.</p><p><strong>Conclusion: </strong>The STOP-Bang questionnaire is a reliable tool for OSA among patients with acromegaly. Improvement in OSA severity after surgery is related to decreased IGF-1 levels.</p>","PeriodicalId":11636,"journal":{"name":"Endocrinology and Metabolism","volume":" ","pages":"641-652"},"PeriodicalIF":4.2000,"publicationDate":"2024-08-01","publicationTypes":"Journal Article","fieldsOfStudy":null,"isOpenAccess":false,"openAccessPdf":"https://www.ncbi.nlm.nih.gov/pmc/articles/PMC11375303/pdf/","citationCount":"0","resultStr":"{\"title\":\"Obstructive Sleep Apnea Screening and Effects of Surgery in Acromegaly: A Prospective Study.\",\"authors\":\"Jaeyoung Cho, Jung Hee Kim, Yong Hwy Kim, Jinwoo Lee\",\"doi\":\"10.3803/EnM.2024.1933\",\"DOIUrl\":null,\"url\":null,\"abstract\":\"<p><strong>Backgruound: </strong>To identify a screening tool for obstructive sleep apnea (OSA) and evaluate the effects of endoscopic transsphenoidal surgery on improving OSA in patients with acromegaly.</p><p><strong>Methods: </strong>We prospectively enrolled adults with acromegaly scheduled for endoscopic transsphenoidal surgery. All measurements were conducted when participants were admitted for a baseline work-up for acromegaly before surgery and surveillance approximately 3 to 6 months after surgery. Respiratory event index (REI) was used as a surrogate for apnea-hypopnea index (Trial Registration: NCT03526016).</p><p><strong>Results: </strong>Of the 35 patients with acromegaly (median age, 47 years; 40% men; median body mass index, 24.4 kg/m2), 24 (68.6%) had OSA (REI ≥5/hour), 15 (42.9%) had moderate-to-severe OSA (REI ≥15/hour). At baseline, serum insulin-like growth factor 1 (IGF-1) levels were positively correlated with the REI (ρ=0.53, P=0.001). The sensitivity and negative predictive value of a Snoring, Tiredness, Observed apnea, high blood Pressure-Body mass index, age, Neck circumference, and Gender (STOP-Bang) score ≥ 3 were 93.3% and 87.5%, respectively, detecting moderate-to-severe OSA. Biochemical acromegaly remission was achieved in 32 (91.4%) patients. The median difference in the REI was -9.5/hour (95% confidence interval, -13.3 to -5.3). Half of the 24 patients diagnosed with OSA preoperatively had REI <5/hour postoperatively. In a linear mixed-effects model, changes in the REI across surgery were related to changes in IGF-1 levels.</p><p><strong>Conclusion: </strong>The STOP-Bang questionnaire is a reliable tool for OSA among patients with acromegaly. Improvement in OSA severity after surgery is related to decreased IGF-1 levels.</p>\",\"PeriodicalId\":11636,\"journal\":{\"name\":\"Endocrinology and Metabolism\",\"volume\":\" \",\"pages\":\"641-652\"},\"PeriodicalIF\":4.2000,\"publicationDate\":\"2024-08-01\",\"publicationTypes\":\"Journal Article\",\"fieldsOfStudy\":null,\"isOpenAccess\":false,\"openAccessPdf\":\"https://www.ncbi.nlm.nih.gov/pmc/articles/PMC11375303/pdf/\",\"citationCount\":\"0\",\"resultStr\":null,\"platform\":\"Semanticscholar\",\"paperid\":null,\"PeriodicalName\":\"Endocrinology and Metabolism\",\"FirstCategoryId\":\"3\",\"ListUrlMain\":\"https://doi.org/10.3803/EnM.2024.1933\",\"RegionNum\":3,\"RegionCategory\":\"医学\",\"ArticlePicture\":[],\"TitleCN\":null,\"AbstractTextCN\":null,\"PMCID\":null,\"EPubDate\":\"2024/6/26 0:00:00\",\"PubModel\":\"Epub\",\"JCR\":\"Q2\",\"JCRName\":\"ENDOCRINOLOGY & METABOLISM\",\"Score\":null,\"Total\":0}","platform":"Semanticscholar","paperid":null,"PeriodicalName":"Endocrinology and Metabolism","FirstCategoryId":"3","ListUrlMain":"https://doi.org/10.3803/EnM.2024.1933","RegionNum":3,"RegionCategory":"医学","ArticlePicture":[],"TitleCN":null,"AbstractTextCN":null,"PMCID":null,"EPubDate":"2024/6/26 0:00:00","PubModel":"Epub","JCR":"Q2","JCRName":"ENDOCRINOLOGY & METABOLISM","Score":null,"Total":0}
引用次数: 0

摘要

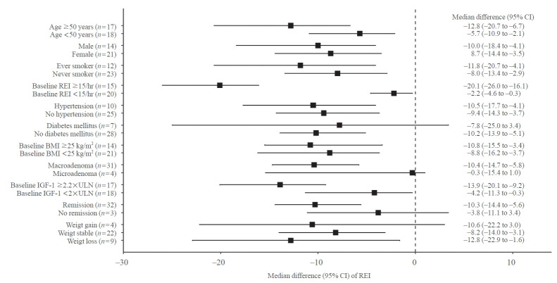
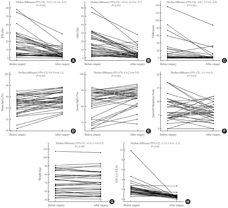
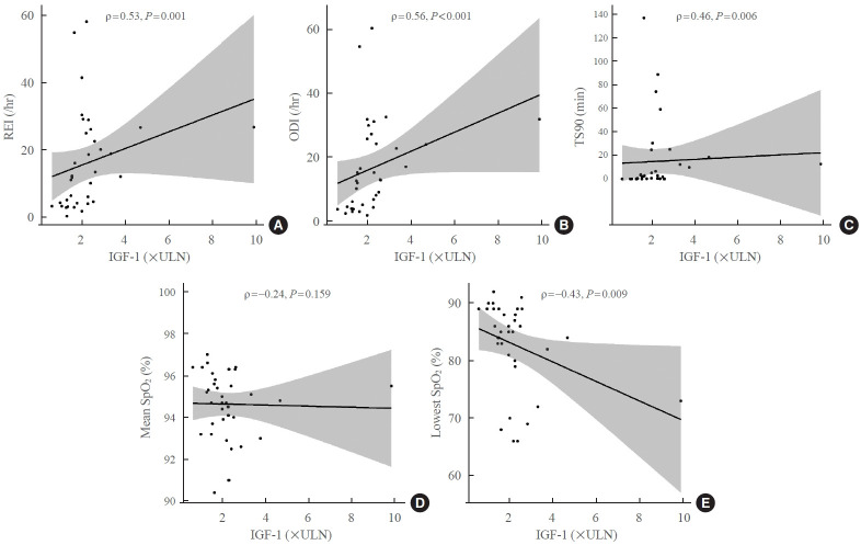
背景:确定阻塞性睡眠呼吸暂停(OSA)的筛查工具,评估内窥镜经蝶窦手术对改善肢端肥大症患者OSA的效果:目的:确定阻塞性睡眠呼吸暂停(OSA)的筛查工具,并评估内窥镜经蝶手术对改善肢端肥大症患者OSA的效果:我们对计划接受内窥镜经蝶窦手术的肢端肥大症成人患者进行了前瞻性登记。所有测量均在手术前入院进行肢端肥大症基线检查时进行,并在手术后约3至6个月进行监测。呼吸事件指数(REI)被用作呼吸暂停-低通气指数的替代指标(试验注册:NCT03526016):35名肢端肥大症患者(中位年龄47岁;40%为男性;中位体重指数24.4千克/平方米)中,24人(68.6%)患有OSA(REI≥5/小时),15人(42.9%)患有中重度OSA(REI≥15/小时)。基线时,血清胰岛素样生长因子1(IGF-1)水平与REI呈正相关(ρ=0.53,P=0.001)。鼾声、疲倦、观察到的呼吸暂停、高血压-体重指数、年龄、颈围和性别(STOP-Bang)评分≥3,其检测中重度 OSA 的灵敏度和阴性预测值分别为 93.3% 和 87.5%。32例(91.4%)患者的生化肢端肥大症得到缓解。REI的中位数差异为-9.5/小时(95%置信区间,-13.3至-5.3)。术前诊断为 OSA 的 24 名患者中,半数有 REI 结论:STOP-Bang 问卷是肢端肥大症患者治疗 OSA 的可靠工具。手术后 OSA 严重程度的改善与 IGF-1 水平的降低有关。
本文章由计算机程序翻译,如有差异,请以英文原文为准。

Obstructive Sleep Apnea Screening and Effects of Surgery in Acromegaly: A Prospective Study.

Obstructive Sleep Apnea Screening and Effects of Surgery in Acromegaly: A Prospective Study.

Obstructive Sleep Apnea Screening and Effects of Surgery in Acromegaly: A Prospective Study.

Obstructive Sleep Apnea Screening and Effects of Surgery in Acromegaly: A Prospective Study.

Backgruound: To identify a screening tool for obstructive sleep apnea (OSA) and evaluate the effects of endoscopic transsphenoidal surgery on improving OSA in patients with acromegaly.

Methods: We prospectively enrolled adults with acromegaly scheduled for endoscopic transsphenoidal surgery. All measurements were conducted when participants were admitted for a baseline work-up for acromegaly before surgery and surveillance approximately 3 to 6 months after surgery. Respiratory event index (REI) was used as a surrogate for apnea-hypopnea index (Trial Registration: NCT03526016).

Results: Of the 35 patients with acromegaly (median age, 47 years; 40% men; median body mass index, 24.4 kg/m2), 24 (68.6%) had OSA (REI ≥5/hour), 15 (42.9%) had moderate-to-severe OSA (REI ≥15/hour). At baseline, serum insulin-like growth factor 1 (IGF-1) levels were positively correlated with the REI (ρ=0.53, P=0.001). The sensitivity and negative predictive value of a Snoring, Tiredness, Observed apnea, high blood Pressure-Body mass index, age, Neck circumference, and Gender (STOP-Bang) score ≥ 3 were 93.3% and 87.5%, respectively, detecting moderate-to-severe OSA. Biochemical acromegaly remission was achieved in 32 (91.4%) patients. The median difference in the REI was -9.5/hour (95% confidence interval, -13.3 to -5.3). Half of the 24 patients diagnosed with OSA preoperatively had REI <5/hour postoperatively. In a linear mixed-effects model, changes in the REI across surgery were related to changes in IGF-1 levels.

Conclusion: The STOP-Bang questionnaire is a reliable tool for OSA among patients with acromegaly. Improvement in OSA severity after surgery is related to decreased IGF-1 levels.

求助全文
通过发布文献求助,成功后即可免费获取论文全文。 去求助
来源期刊
Endocrinology and Metabolism
Endocrinology and Metabolism Medicine-Endocrinology, Diabetes and Metabolism
CiteScore
6.60
自引率
5.90%
发文量
145
审稿时长
24 weeks
期刊介绍: The aim of this journal is to set high standards of medical care by providing a forum for discussion for basic, clinical, and translational researchers and clinicians on new findings in the fields of endocrinology and metabolism. Endocrinology and Metabolism reports new findings and developments in all aspects of endocrinology and metabolism. The topics covered by this journal include bone and mineral metabolism, cytokines, developmental endocrinology, diagnostic endocrinology, endocrine research, dyslipidemia, endocrine regulation, genetic endocrinology, growth factors, hormone receptors, hormone action and regulation, management of endocrine diseases, clinical trials, epidemiology, molecular endocrinology, neuroendocrinology, neuropeptides, neurotransmitters, obesity, pediatric endocrinology, reproductive endocrinology, signal transduction, the anatomy and physiology of endocrine organs (i.e., the pituitary, thyroid, parathyroid, and adrenal glands, and the gonads), and endocrine diseases (diabetes, nutrition, osteoporosis, etc.).
×
引用
GB/T 7714-2015
复制
MLA
复制
APA
复制
导出至
BibTeX EndNote RefMan NoteFirst NoteExpress
×
提示
您的信息不完整,为了账户安全,请先补充。
现在去补充
×
提示
您因"违规操作"
具体请查看互助需知
我知道了
×
提示
确定
请完成安全验证×
copy
已复制链接
快去分享给好友吧!
我知道了
右上角分享
点击右上角分享
0
联系我们:info@booksci.cn Book学术提供免费学术资源搜索服务,方便国内外学者检索中英文文献。致力于提供最便捷和优质的服务体验。 Copyright © 2023 布克学术 All rights reserved.
京ICP备2023020795号-1
ghs 京公网安备 11010802042870号
Book学术文献互助
Book学术文献互助群
群 号:604180095
Book学术官方微信