基于 MOFs 的锂金属电池准固转固电解质 (Q-SSE) 对锂传输的尺寸控制

IF 4.7 4区 材料科学 Q2 ELECTROCHEMISTRY
Dr. M. Salado, Dr. R. Fernández de Luis, Dr. T. H. Smith, Dr. M. Hasanpoor, Prof. S. Lanceros-Mendez, Prof. M. Forsyth
{"title":"基于 MOFs 的锂金属电池准固转固电解质 (Q-SSE) 对锂传输的尺寸控制","authors":"Dr. M. Salado,&nbsp;Dr. R. Fernández de Luis,&nbsp;Dr. T. H. Smith,&nbsp;Dr. M. Hasanpoor,&nbsp;Prof. S. Lanceros-Mendez,&nbsp;Prof. M. Forsyth","doi":"10.1002/batt.202400134","DOIUrl":null,"url":null,"abstract":"<p>Nowadays, lithium-ion batteries (LIBs) are widely used in all walks of life and play a very important role. As complex systems composed of multiple materials with diverse chemical compositions, where different electrochemical reactions take place, battery interfaces are essential for determining the operation, performance, durability and safety of the battery. This work, set out to study the incorporation of lithium bis(fluorosulfonyl)amide (LiFSI) doped 1-ethyl-3-methylimidazolium bis(trifluoromethylsulfonyl)imide ([EMIm][TFSI]) ionic liquid into an archetype Ti-based Metal Organic Framework (MOF) ((Ti) MIL125−NH<sub>2</sub>) to create a solid to quasi-solid (depending on the amount of IL in the system), and how it affects not only ionic transport but also the structural properties of the IL/MOF electrolyte. Remarkably high ionic conductivity values (2.13×10<sup>−3</sup> S ⋅ cm<sup>−1</sup> at room temperature) as well as a lithium transference number (t<sub>Li</sub>=0.58) were achieved, supported by pulsed field gradient (PFG) NMR experiments. Electrochemical characterization revealed reversible plating-stripping of lithium and lower overpotential after 750 h at 50 °C. Additionally, a proof-of-concept solid state battery was fabricated resulting in a discharge capacity of 160 mAh ⋅ g<sup>−1</sup> at 50 °C and 0.1 C rate after 50 cycles. This work presents a suitable strategy to dendrite suppression capability, allowing its implementation as interface modifiers in next-generation solid-state batteries.</p>","PeriodicalId":132,"journal":{"name":"Batteries & Supercaps","volume":"7 9","pages":""},"PeriodicalIF":4.7000,"publicationDate":"2024-06-07","publicationTypes":"Journal Article","fieldsOfStudy":null,"isOpenAccess":false,"openAccessPdf":"https://onlinelibrary.wiley.com/doi/epdf/10.1002/batt.202400134","citationCount":"0","resultStr":"{\"title\":\"Dimensionality Control of Li Transport by MOFs Based Quasi-Solid to Solid Electrolyte (Q-SSEs) for Li−Metal Batteries\",\"authors\":\"Dr. M. Salado,&nbsp;Dr. R. Fernández de Luis,&nbsp;Dr. T. H. Smith,&nbsp;Dr. M. Hasanpoor,&nbsp;Prof. S. Lanceros-Mendez,&nbsp;Prof. M. Forsyth\",\"doi\":\"10.1002/batt.202400134\",\"DOIUrl\":null,\"url\":null,\"abstract\":\"<p>Nowadays, lithium-ion batteries (LIBs) are widely used in all walks of life and play a very important role. As complex systems composed of multiple materials with diverse chemical compositions, where different electrochemical reactions take place, battery interfaces are essential for determining the operation, performance, durability and safety of the battery. This work, set out to study the incorporation of lithium bis(fluorosulfonyl)amide (LiFSI) doped 1-ethyl-3-methylimidazolium bis(trifluoromethylsulfonyl)imide ([EMIm][TFSI]) ionic liquid into an archetype Ti-based Metal Organic Framework (MOF) ((Ti) MIL125−NH<sub>2</sub>) to create a solid to quasi-solid (depending on the amount of IL in the system), and how it affects not only ionic transport but also the structural properties of the IL/MOF electrolyte. Remarkably high ionic conductivity values (2.13×10<sup>−3</sup> S ⋅ cm<sup>−1</sup> at room temperature) as well as a lithium transference number (t<sub>Li</sub>=0.58) were achieved, supported by pulsed field gradient (PFG) NMR experiments. Electrochemical characterization revealed reversible plating-stripping of lithium and lower overpotential after 750 h at 50 °C. Additionally, a proof-of-concept solid state battery was fabricated resulting in a discharge capacity of 160 mAh ⋅ g<sup>−1</sup> at 50 °C and 0.1 C rate after 50 cycles. This work presents a suitable strategy to dendrite suppression capability, allowing its implementation as interface modifiers in next-generation solid-state batteries.</p>\",\"PeriodicalId\":132,\"journal\":{\"name\":\"Batteries & Supercaps\",\"volume\":\"7 9\",\"pages\":\"\"},\"PeriodicalIF\":4.7000,\"publicationDate\":\"2024-06-07\",\"publicationTypes\":\"Journal Article\",\"fieldsOfStudy\":null,\"isOpenAccess\":false,\"openAccessPdf\":\"https://onlinelibrary.wiley.com/doi/epdf/10.1002/batt.202400134\",\"citationCount\":\"0\",\"resultStr\":null,\"platform\":\"Semanticscholar\",\"paperid\":null,\"PeriodicalName\":\"Batteries & Supercaps\",\"FirstCategoryId\":\"88\",\"ListUrlMain\":\"https://chemistry-europe.onlinelibrary.wiley.com/doi/10.1002/batt.202400134\",\"RegionNum\":4,\"RegionCategory\":\"材料科学\",\"ArticlePicture\":[],\"TitleCN\":null,\"AbstractTextCN\":null,\"PMCID\":null,\"EPubDate\":\"\",\"PubModel\":\"\",\"JCR\":\"Q2\",\"JCRName\":\"ELECTROCHEMISTRY\",\"Score\":null,\"Total\":0}","platform":"Semanticscholar","paperid":null,"PeriodicalName":"Batteries & Supercaps","FirstCategoryId":"88","ListUrlMain":"https://chemistry-europe.onlinelibrary.wiley.com/doi/10.1002/batt.202400134","RegionNum":4,"RegionCategory":"材料科学","ArticlePicture":[],"TitleCN":null,"AbstractTextCN":null,"PMCID":null,"EPubDate":"","PubModel":"","JCR":"Q2","JCRName":"ELECTROCHEMISTRY","Score":null,"Total":0}
引用次数: 0

摘要

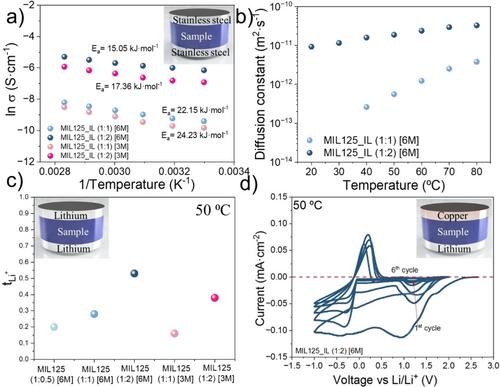
如今,锂离子电池(LIB)已广泛应用于各行各业,并发挥着重要作用。作为一个由多种材料组成的复杂系统,其化学成分各不相同,并在其中发生不同的电化学反应,电池界面对于决定电池的运行、性能、耐用性和安全性至关重要。在这项研究中,拟研究将掺杂了 1-ethyl-3- methylimidazolium bis(trifluoromethylsulfonyl)imide ([EMIm][TFSI])离子液体的双(氟磺酰)酰胺锂(LiFSI)掺入典型的钛基金属有机框架(MOF)((Ti) MIL125-NH2),以形成固体或准固体(取决于体系中的离子液体量)、以及它不仅如何影响离子传输,还如何影响 IL/MOF 电解质的结构特性。值得注意的是,在脉冲场梯度(PFG)核磁共振实验的支持下,这种电解质实现了较高的离子电导率值(室温下为 2.13 x 10-3 S-cm-1)和锂转移数(tLi=0.58)。电化学特性分析表明,在 50 ºC 温度下 750 小时后,锂的可逆电镀剥离和过电位降低。此外,还制造出了概念验证型固态电池,在 50 ºC 和 0.1C 放电速率下循环 50 次后,放电容量达到 160 mAh-g-1。这项研究提出了一种抑制枝晶能力的合适策略,可将其用作下一代电池的界面改性剂。
本文章由计算机程序翻译,如有差异,请以英文原文为准。

Dimensionality Control of Li Transport by MOFs Based Quasi-Solid to Solid Electrolyte (Q-SSEs) for Li−Metal Batteries

Dimensionality Control of Li Transport by MOFs Based Quasi-Solid to Solid Electrolyte (Q-SSEs) for Li−Metal Batteries

Dimensionality Control of Li Transport by MOFs Based Quasi-Solid to Solid Electrolyte (Q-SSEs) for Li−Metal Batteries

Nowadays, lithium-ion batteries (LIBs) are widely used in all walks of life and play a very important role. As complex systems composed of multiple materials with diverse chemical compositions, where different electrochemical reactions take place, battery interfaces are essential for determining the operation, performance, durability and safety of the battery. This work, set out to study the incorporation of lithium bis(fluorosulfonyl)amide (LiFSI) doped 1-ethyl-3-methylimidazolium bis(trifluoromethylsulfonyl)imide ([EMIm][TFSI]) ionic liquid into an archetype Ti-based Metal Organic Framework (MOF) ((Ti) MIL125−NH2) to create a solid to quasi-solid (depending on the amount of IL in the system), and how it affects not only ionic transport but also the structural properties of the IL/MOF electrolyte. Remarkably high ionic conductivity values (2.13×10−3 S ⋅ cm−1 at room temperature) as well as a lithium transference number (tLi=0.58) were achieved, supported by pulsed field gradient (PFG) NMR experiments. Electrochemical characterization revealed reversible plating-stripping of lithium and lower overpotential after 750 h at 50 °C. Additionally, a proof-of-concept solid state battery was fabricated resulting in a discharge capacity of 160 mAh ⋅ g−1 at 50 °C and 0.1 C rate after 50 cycles. This work presents a suitable strategy to dendrite suppression capability, allowing its implementation as interface modifiers in next-generation solid-state batteries.

求助全文
通过发布文献求助,成功后即可免费获取论文全文。 去求助
来源期刊
CiteScore
8.60
自引率
5.30%
发文量
223
期刊介绍: Electrochemical energy storage devices play a transformative role in our societies. They have allowed the emergence of portable electronics devices, have triggered the resurgence of electric transportation and constitute key components in smart power grids. Batteries & Supercaps publishes international high-impact experimental and theoretical research on the fundamentals and applications of electrochemical energy storage. We support the scientific community to advance energy efficiency and sustainability.
×
引用
GB/T 7714-2015
复制
MLA
复制
APA
复制
导出至
BibTeX EndNote RefMan NoteFirst NoteExpress
×
提示
您的信息不完整,为了账户安全,请先补充。
现在去补充
×
提示
您因"违规操作"
具体请查看互助需知
我知道了
×
提示
确定
请完成安全验证×
copy
已复制链接
快去分享给好友吧!
我知道了
右上角分享
点击右上角分享
0
联系我们:info@booksci.cn Book学术提供免费学术资源搜索服务,方便国内外学者检索中英文文献。致力于提供最便捷和优质的服务体验。 Copyright © 2023 布克学术 All rights reserved.
京ICP备2023020795号-1
ghs 京公网安备 11010802042870号
Book学术文献互助
Book学术文献互助群
群 号:604180095
Book学术官方微信