淡水三刺鱼免疫系统的月相生物节律

Discovery immunology Pub Date : 2024-05-25 eCollection Date: 2024-01-01 DOI:10.1093/discim/kyae007
Joseph A Jackson, Alexander Stewart, Joanne Cable
{"title":"淡水三刺鱼免疫系统的月相生物节律","authors":"Joseph A Jackson, Alexander Stewart, Joanne Cable","doi":"10.1093/discim/kyae007","DOIUrl":null,"url":null,"abstract":"<p><p>Immune responses are widely accepted to be under circadian regulation via a molecular clock, with many practical consequences, but much less is known of how other biological rhythms could affect the immune system. In this study, we search for lunar rhythms (circalunar, circasemilunar, and circatidal cycles) in the immune expression of the recently marine-derived freshwater fish, the low-plate morph of the three-spined stickleback. We employed time series of immune expression (mRNA) measurements for 14 immune-associated genes, representing a variety of immunological pathways. Times series measurements were taken on fish populations in the wild, in seminatural outdoor mesocosms, and in the laboratory, according to sampling regimens originally designed to study circannual variation but with the additional potential to provide information about lunar variation. Our evidence best supported the existence of a very small endogenous tidal rhythm. This is consistent with previous suggestions of the existence of a primordial tidal endogenous clock, some elements of which may be conserved in animals evolving outside the marine environment.</p>","PeriodicalId":72830,"journal":{"name":"Discovery immunology","volume":"3 1","pages":"kyae007"},"PeriodicalIF":0.0000,"publicationDate":"2024-05-25","publicationTypes":"Journal Article","fieldsOfStudy":null,"isOpenAccess":false,"openAccessPdf":"https://www.ncbi.nlm.nih.gov/pmc/articles/PMC11165434/pdf/","citationCount":"0","resultStr":"{\"title\":\"Lunar-linked biological rhythms in the immune system of freshwater three-spined stickleback.\",\"authors\":\"Joseph A Jackson, Alexander Stewart, Joanne Cable\",\"doi\":\"10.1093/discim/kyae007\",\"DOIUrl\":null,\"url\":null,\"abstract\":\"<p><p>Immune responses are widely accepted to be under circadian regulation via a molecular clock, with many practical consequences, but much less is known of how other biological rhythms could affect the immune system. In this study, we search for lunar rhythms (circalunar, circasemilunar, and circatidal cycles) in the immune expression of the recently marine-derived freshwater fish, the low-plate morph of the three-spined stickleback. We employed time series of immune expression (mRNA) measurements for 14 immune-associated genes, representing a variety of immunological pathways. Times series measurements were taken on fish populations in the wild, in seminatural outdoor mesocosms, and in the laboratory, according to sampling regimens originally designed to study circannual variation but with the additional potential to provide information about lunar variation. Our evidence best supported the existence of a very small endogenous tidal rhythm. This is consistent with previous suggestions of the existence of a primordial tidal endogenous clock, some elements of which may be conserved in animals evolving outside the marine environment.</p>\",\"PeriodicalId\":72830,\"journal\":{\"name\":\"Discovery immunology\",\"volume\":\"3 1\",\"pages\":\"kyae007\"},\"PeriodicalIF\":0.0000,\"publicationDate\":\"2024-05-25\",\"publicationTypes\":\"Journal Article\",\"fieldsOfStudy\":null,\"isOpenAccess\":false,\"openAccessPdf\":\"https://www.ncbi.nlm.nih.gov/pmc/articles/PMC11165434/pdf/\",\"citationCount\":\"0\",\"resultStr\":null,\"platform\":\"Semanticscholar\",\"paperid\":null,\"PeriodicalName\":\"Discovery immunology\",\"FirstCategoryId\":\"1085\",\"ListUrlMain\":\"https://doi.org/10.1093/discim/kyae007\",\"RegionNum\":0,\"RegionCategory\":null,\"ArticlePicture\":[],\"TitleCN\":null,\"AbstractTextCN\":null,\"PMCID\":null,\"EPubDate\":\"2024/1/1 0:00:00\",\"PubModel\":\"eCollection\",\"JCR\":\"\",\"JCRName\":\"\",\"Score\":null,\"Total\":0}","platform":"Semanticscholar","paperid":null,"PeriodicalName":"Discovery immunology","FirstCategoryId":"1085","ListUrlMain":"https://doi.org/10.1093/discim/kyae007","RegionNum":0,"RegionCategory":null,"ArticlePicture":[],"TitleCN":null,"AbstractTextCN":null,"PMCID":null,"EPubDate":"2024/1/1 0:00:00","PubModel":"eCollection","JCR":"","JCRName":"","Score":null,"Total":0}
引用次数: 0

摘要

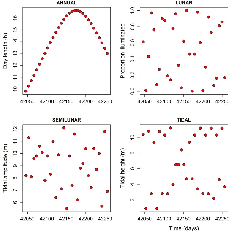
人们普遍认为免疫反应受分子钟的昼夜节律调节,这带来了许多实际影响,但对其他生物节律如何影响免疫系统却知之甚少。在这项研究中,我们寻找了最近从海洋中衍生的淡水鱼--三刺鱼的低板形态--的免疫表达中的月相节律(昼夜节律、昼夜节律和潮汐周期)。我们对代表各种免疫途径的 14 个免疫相关基因的免疫表达(mRNA)进行了时间序列测量。时间序列测量是在野外、半自然室外中间培养箱和实验室中对鱼类种群进行的,采样方法最初是为了研究环流变化,但也有可能提供有关月球变化的信息。我们的证据最能证明存在很小的内生潮汐节律。这与之前提出的存在原始潮汐内源时钟的观点是一致的,其中的某些元素可能在海洋环境外进化的动物中得以保留。
本文章由计算机程序翻译,如有差异,请以英文原文为准。

Lunar-linked biological rhythms in the immune system of freshwater three-spined stickleback.

Lunar-linked biological rhythms in the immune system of freshwater three-spined stickleback.

Lunar-linked biological rhythms in the immune system of freshwater three-spined stickleback.

Lunar-linked biological rhythms in the immune system of freshwater three-spined stickleback.

Immune responses are widely accepted to be under circadian regulation via a molecular clock, with many practical consequences, but much less is known of how other biological rhythms could affect the immune system. In this study, we search for lunar rhythms (circalunar, circasemilunar, and circatidal cycles) in the immune expression of the recently marine-derived freshwater fish, the low-plate morph of the three-spined stickleback. We employed time series of immune expression (mRNA) measurements for 14 immune-associated genes, representing a variety of immunological pathways. Times series measurements were taken on fish populations in the wild, in seminatural outdoor mesocosms, and in the laboratory, according to sampling regimens originally designed to study circannual variation but with the additional potential to provide information about lunar variation. Our evidence best supported the existence of a very small endogenous tidal rhythm. This is consistent with previous suggestions of the existence of a primordial tidal endogenous clock, some elements of which may be conserved in animals evolving outside the marine environment.

求助全文
通过发布文献求助,成功后即可免费获取论文全文。 去求助
来源期刊
自引率
0.00%
发文量
0
×
引用
GB/T 7714-2015
复制
MLA
复制
APA
复制
导出至
BibTeX EndNote RefMan NoteFirst NoteExpress
×
提示
您的信息不完整,为了账户安全,请先补充。
现在去补充
×
提示
您因"违规操作"
具体请查看互助需知
我知道了
×
提示
确定
请完成安全验证×
copy
已复制链接
快去分享给好友吧!
我知道了
右上角分享
点击右上角分享
0
联系我们:info@booksci.cn Book学术提供免费学术资源搜索服务,方便国内外学者检索中英文文献。致力于提供最便捷和优质的服务体验。 Copyright © 2023 布克学术 All rights reserved.
京ICP备2023020795号-1
ghs 京公网安备 11010802042870号
Book学术文献互助
Book学术文献互助群
群 号:604180095
Book学术官方微信