揭示 Peg13 的作用:缓解败血症炎症的有望治疗靶点。

IF 1.3 4区 生物学 Q4 BIOCHEMISTRY & MOLECULAR BIOLOGY
Genetics and Molecular Biology Pub Date : 2024-05-31 eCollection Date: 2024-01-01 DOI:10.1590/1678-4685-GMB-2023-0205
Dan Wang, Zhiqiang Lin, Meixia Su, Yiqing Zhou, Mengjie Ma, Minghui Li
{"title":"揭示 Peg13 的作用:缓解败血症炎症的有望治疗靶点。","authors":"Dan Wang, Zhiqiang Lin, Meixia Su, Yiqing Zhou, Mengjie Ma, Minghui Li","doi":"10.1590/1678-4685-GMB-2023-0205","DOIUrl":null,"url":null,"abstract":"<p><p>To investigate the role of Peg13 in modulating the inflammatory response in sepsis, we established Lipopolysaccharide (LPS)-induced 293T cells and mouse models. Peg13 expression was assessed at various time points after infection using RT-qPCR. The levels of high mobility group box 1 (HMGB1) and interleukin-6 (IL-6) were quantified through ELISA. A total of 44 septic patients and 36 healthy participants were recruited to measure Peg13 and HMGB1 levels in the blood. Peg13 demonstrated significant down-regulation in the supernatant of LPS-induced 293T cells and in the blood of LPS-induced mice. Moreover, the levels of proinflammatory cytokines HMGB1 and IL-6 were elevated in both the supernatant of LPS-induced cell models and blood specimens from LPS-induced murine models, and this elevation could be notably reduced by Peg13 suppression. In a clinical context, Peg13 and HMGB1 levels were higher in septic patients compared to healthy subjects. Peg13 exhibited a negative correlation with HMGB1, C-reactive protein (CRP), and erythrocyte sedimentation rate (ESR) among septic patients. Peg13 mitigates the inflammatory response by reducing the release of proinflammatory cytokines HMGB1 and IL-6 in sepsis, presenting a potential therapeutic target for alleviating inflammation in sepsis treatment.</p>","PeriodicalId":12557,"journal":{"name":"Genetics and Molecular Biology","volume":"47 2","pages":"e20230205"},"PeriodicalIF":1.3000,"publicationDate":"2024-05-31","publicationTypes":"Journal Article","fieldsOfStudy":null,"isOpenAccess":false,"openAccessPdf":"https://www.ncbi.nlm.nih.gov/pmc/articles/PMC11151158/pdf/","citationCount":"0","resultStr":"{\"title\":\"Revealing the role of Peg13: A promising therapeutic target for mitigating inflammation in sepsis.\",\"authors\":\"Dan Wang, Zhiqiang Lin, Meixia Su, Yiqing Zhou, Mengjie Ma, Minghui Li\",\"doi\":\"10.1590/1678-4685-GMB-2023-0205\",\"DOIUrl\":null,\"url\":null,\"abstract\":\"<p><p>To investigate the role of Peg13 in modulating the inflammatory response in sepsis, we established Lipopolysaccharide (LPS)-induced 293T cells and mouse models. Peg13 expression was assessed at various time points after infection using RT-qPCR. The levels of high mobility group box 1 (HMGB1) and interleukin-6 (IL-6) were quantified through ELISA. A total of 44 septic patients and 36 healthy participants were recruited to measure Peg13 and HMGB1 levels in the blood. Peg13 demonstrated significant down-regulation in the supernatant of LPS-induced 293T cells and in the blood of LPS-induced mice. Moreover, the levels of proinflammatory cytokines HMGB1 and IL-6 were elevated in both the supernatant of LPS-induced cell models and blood specimens from LPS-induced murine models, and this elevation could be notably reduced by Peg13 suppression. In a clinical context, Peg13 and HMGB1 levels were higher in septic patients compared to healthy subjects. Peg13 exhibited a negative correlation with HMGB1, C-reactive protein (CRP), and erythrocyte sedimentation rate (ESR) among septic patients. Peg13 mitigates the inflammatory response by reducing the release of proinflammatory cytokines HMGB1 and IL-6 in sepsis, presenting a potential therapeutic target for alleviating inflammation in sepsis treatment.</p>\",\"PeriodicalId\":12557,\"journal\":{\"name\":\"Genetics and Molecular Biology\",\"volume\":\"47 2\",\"pages\":\"e20230205\"},\"PeriodicalIF\":1.3000,\"publicationDate\":\"2024-05-31\",\"publicationTypes\":\"Journal Article\",\"fieldsOfStudy\":null,\"isOpenAccess\":false,\"openAccessPdf\":\"https://www.ncbi.nlm.nih.gov/pmc/articles/PMC11151158/pdf/\",\"citationCount\":\"0\",\"resultStr\":null,\"platform\":\"Semanticscholar\",\"paperid\":null,\"PeriodicalName\":\"Genetics and Molecular Biology\",\"FirstCategoryId\":\"99\",\"ListUrlMain\":\"https://doi.org/10.1590/1678-4685-GMB-2023-0205\",\"RegionNum\":4,\"RegionCategory\":\"生物学\",\"ArticlePicture\":[],\"TitleCN\":null,\"AbstractTextCN\":null,\"PMCID\":null,\"EPubDate\":\"2024/1/1 0:00:00\",\"PubModel\":\"eCollection\",\"JCR\":\"Q4\",\"JCRName\":\"BIOCHEMISTRY & MOLECULAR BIOLOGY\",\"Score\":null,\"Total\":0}","platform":"Semanticscholar","paperid":null,"PeriodicalName":"Genetics and Molecular Biology","FirstCategoryId":"99","ListUrlMain":"https://doi.org/10.1590/1678-4685-GMB-2023-0205","RegionNum":4,"RegionCategory":"生物学","ArticlePicture":[],"TitleCN":null,"AbstractTextCN":null,"PMCID":null,"EPubDate":"2024/1/1 0:00:00","PubModel":"eCollection","JCR":"Q4","JCRName":"BIOCHEMISTRY & MOLECULAR BIOLOGY","Score":null,"Total":0}
引用次数: 0

摘要

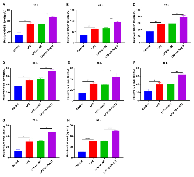
为了研究 Peg13 在调节败血症炎症反应中的作用,我们建立了脂多糖(LPS)诱导的 293T 细胞和小鼠模型。在感染后的不同时间点使用 RT-qPCR 评估 Peg13 的表达。高迁移率基团框 1(HMGB1)和白细胞介素-6(IL-6)的水平通过酶联免疫吸附进行量化。共招募了 44 名脓毒症患者和 36 名健康参与者,以测量血液中的 Peg13 和 HMGB1 水平。在 LPS 诱导的 293T 细胞上清液和 LPS 诱导的小鼠血液中,Peg13 均出现了明显的下调。此外,在 LPS 诱导的细胞模型的上清液和 LPS 诱导的小鼠模型的血液标本中,促炎细胞因子 HMGB1 和 IL-6 的水平都有所升高,而 Peg13 的抑制作用可明显降低这种升高。在临床上,与健康人相比,脓毒症患者的 Peg13 和 HMGB1 水平更高。在脓毒症患者中,Peg13 与 HMGB1、C 反应蛋白(CRP)和红细胞沉降率(ESR)呈负相关。Peg13 可减少脓毒症患者促炎细胞因子 HMGB1 和 IL-6 的释放,从而减轻炎症反应,是脓毒症治疗中减轻炎症反应的潜在治疗靶点。
本文章由计算机程序翻译,如有差异,请以英文原文为准。

Revealing the role of Peg13: A promising therapeutic target for mitigating inflammation in sepsis.

Revealing the role of Peg13: A promising therapeutic target for mitigating inflammation in sepsis.

Revealing the role of Peg13: A promising therapeutic target for mitigating inflammation in sepsis.

Revealing the role of Peg13: A promising therapeutic target for mitigating inflammation in sepsis.

To investigate the role of Peg13 in modulating the inflammatory response in sepsis, we established Lipopolysaccharide (LPS)-induced 293T cells and mouse models. Peg13 expression was assessed at various time points after infection using RT-qPCR. The levels of high mobility group box 1 (HMGB1) and interleukin-6 (IL-6) were quantified through ELISA. A total of 44 septic patients and 36 healthy participants were recruited to measure Peg13 and HMGB1 levels in the blood. Peg13 demonstrated significant down-regulation in the supernatant of LPS-induced 293T cells and in the blood of LPS-induced mice. Moreover, the levels of proinflammatory cytokines HMGB1 and IL-6 were elevated in both the supernatant of LPS-induced cell models and blood specimens from LPS-induced murine models, and this elevation could be notably reduced by Peg13 suppression. In a clinical context, Peg13 and HMGB1 levels were higher in septic patients compared to healthy subjects. Peg13 exhibited a negative correlation with HMGB1, C-reactive protein (CRP), and erythrocyte sedimentation rate (ESR) among septic patients. Peg13 mitigates the inflammatory response by reducing the release of proinflammatory cytokines HMGB1 and IL-6 in sepsis, presenting a potential therapeutic target for alleviating inflammation in sepsis treatment.

求助全文
通过发布文献求助,成功后即可免费获取论文全文。 去求助
来源期刊
Genetics and Molecular Biology
Genetics and Molecular Biology 生物-生化与分子生物学
CiteScore
4.20
自引率
4.80%
发文量
111
审稿时长
3 months
期刊介绍: Genetics and Molecular Biology (formerly named Revista Brasileira de Genética/Brazilian Journal of Genetics - ISSN 0100-8455) is published by the Sociedade Brasileira de Genética (Brazilian Society of Genetics). The Journal considers contributions that present the results of original research in genetics, evolution and related scientific disciplines. Manuscripts presenting methods and applications only, without an analysis of genetic data, will not be considered.
×
引用
GB/T 7714-2015
复制
MLA
复制
APA
复制
导出至
BibTeX EndNote RefMan NoteFirst NoteExpress
×
提示
您的信息不完整,为了账户安全,请先补充。
现在去补充
×
提示
您因"违规操作"
具体请查看互助需知
我知道了
×
提示
确定
请完成安全验证×
copy
已复制链接
快去分享给好友吧!
我知道了
右上角分享
点击右上角分享
0
联系我们:info@booksci.cn Book学术提供免费学术资源搜索服务,方便国内外学者检索中英文文献。致力于提供最便捷和优质的服务体验。 Copyright © 2023 布克学术 All rights reserved.
京ICP备2023020795号-1
ghs 京公网安备 11010802042870号
Book学术文献互助
Book学术文献互助群
群 号:604180095
Book学术官方微信