精油对亚洲长角蜱 Haemaphysalis longicornis(Acari:Ixodidae)药效的比较分析。

IF 1.3 0 PARASITOLOGY
Parasites, hosts and diseases Pub Date : 2024-05-01 Epub Date: 2024-05-27 DOI:10.3347/PHD.23097
Mohammad Saiful Islam, Md Samiul Haque, Myung-Jo You
{"title":"精油对亚洲长角蜱 Haemaphysalis longicornis(Acari:Ixodidae)药效的比较分析。","authors":"Mohammad Saiful Islam, Md Samiul Haque, Myung-Jo You","doi":"10.3347/PHD.23097","DOIUrl":null,"url":null,"abstract":"<p><p>This study evaluated the potential repellent and acaricidal effects of 4 essential oils (clove, eucalyptus, lavender, and mint) against the Asian longhorned tick Haemaphysalis longicornis, a vector of various tick-borne diseases in medical and veterinary contexts. Selected for their potential repellent and acaricidal properties, the 4 essential oils were tested on adult and nymph H. longicornis ticks at different concentrations. The experiment assessed mortality rates and repellency, particularly during tick attachment to host skin. There was a significant increase (p&lt;0.05) in tick mortality and repellency scores across all groups. At a 1% concentration, adult tick mortality ranged from 36% to 86%, while nymph mortality ranged from 6% to 97%. Clove oil exhibited notable efficacy, demonstrating high mortality rates of nymphs and adults. Clove oil also displayed strong repellency properties, with a repellency index of 0.05, surpassing those of mint, eucalyptus, and lavender oils. Clove oil showed the highest effectiveness in deterring nonattached adult ticks (90%) and nymphs (95%) when applied to skin. Clove oil was the most effective against adult and nymph ticks, achieving mortality rates of 86% and 97%, respectively, and led to the highest nonattachment rates when applied to skin. In conclusion, essential oils such as clove, eucalyptus, lavender, and mint oils present promising results for tick population control.</p>","PeriodicalId":74397,"journal":{"name":"Parasites, hosts and diseases","volume":"62 2","pages":"217-225"},"PeriodicalIF":1.3000,"publicationDate":"2024-05-01","publicationTypes":"Journal Article","fieldsOfStudy":null,"isOpenAccess":false,"openAccessPdf":"https://www.ncbi.nlm.nih.gov/pmc/articles/PMC11150924/pdf/","citationCount":"0","resultStr":"{\"title\":\"Comparative analysis of essential oil efficacy against the Asian longhorned tick Haemaphysalis longicornis (Acari: Ixodidae).\",\"authors\":\"Mohammad Saiful Islam, Md Samiul Haque, Myung-Jo You\",\"doi\":\"10.3347/PHD.23097\",\"DOIUrl\":null,\"url\":null,\"abstract\":\"<p><p>This study evaluated the potential repellent and acaricidal effects of 4 essential oils (clove, eucalyptus, lavender, and mint) against the Asian longhorned tick Haemaphysalis longicornis, a vector of various tick-borne diseases in medical and veterinary contexts. Selected for their potential repellent and acaricidal properties, the 4 essential oils were tested on adult and nymph H. longicornis ticks at different concentrations. The experiment assessed mortality rates and repellency, particularly during tick attachment to host skin. There was a significant increase (p&lt;0.05) in tick mortality and repellency scores across all groups. At a 1% concentration, adult tick mortality ranged from 36% to 86%, while nymph mortality ranged from 6% to 97%. Clove oil exhibited notable efficacy, demonstrating high mortality rates of nymphs and adults. Clove oil also displayed strong repellency properties, with a repellency index of 0.05, surpassing those of mint, eucalyptus, and lavender oils. Clove oil showed the highest effectiveness in deterring nonattached adult ticks (90%) and nymphs (95%) when applied to skin. Clove oil was the most effective against adult and nymph ticks, achieving mortality rates of 86% and 97%, respectively, and led to the highest nonattachment rates when applied to skin. In conclusion, essential oils such as clove, eucalyptus, lavender, and mint oils present promising results for tick population control.</p>\",\"PeriodicalId\":74397,\"journal\":{\"name\":\"Parasites, hosts and diseases\",\"volume\":\"62 2\",\"pages\":\"217-225\"},\"PeriodicalIF\":1.3000,\"publicationDate\":\"2024-05-01\",\"publicationTypes\":\"Journal Article\",\"fieldsOfStudy\":null,\"isOpenAccess\":false,\"openAccessPdf\":\"https://www.ncbi.nlm.nih.gov/pmc/articles/PMC11150924/pdf/\",\"citationCount\":\"0\",\"resultStr\":null,\"platform\":\"Semanticscholar\",\"paperid\":null,\"PeriodicalName\":\"Parasites, hosts and diseases\",\"FirstCategoryId\":\"1085\",\"ListUrlMain\":\"https://doi.org/10.3347/PHD.23097\",\"RegionNum\":0,\"RegionCategory\":null,\"ArticlePicture\":[],\"TitleCN\":null,\"AbstractTextCN\":null,\"PMCID\":null,\"EPubDate\":\"2024/5/27 0:00:00\",\"PubModel\":\"Epub\",\"JCR\":\"0\",\"JCRName\":\"PARASITOLOGY\",\"Score\":null,\"Total\":0}","platform":"Semanticscholar","paperid":null,"PeriodicalName":"Parasites, hosts and diseases","FirstCategoryId":"1085","ListUrlMain":"https://doi.org/10.3347/PHD.23097","RegionNum":0,"RegionCategory":null,"ArticlePicture":[],"TitleCN":null,"AbstractTextCN":null,"PMCID":null,"EPubDate":"2024/5/27 0:00:00","PubModel":"Epub","JCR":"0","JCRName":"PARASITOLOGY","Score":null,"Total":0}
引用次数: 0

摘要

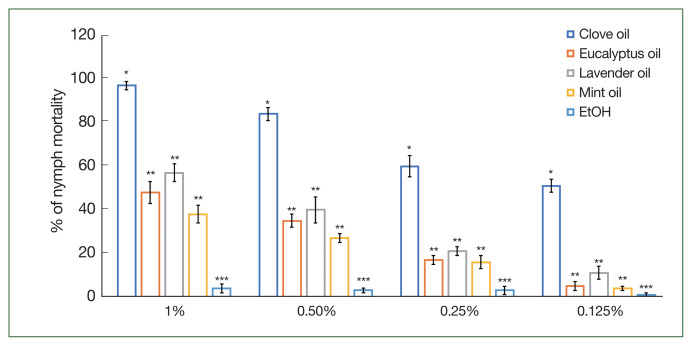
本研究评估了 4 种精油(丁香、桉树、薰衣草和薄荷)对亚洲长角蜱 Haemaphysalis longicornis 的潜在驱避和杀螨效果,亚洲长角蜱是医疗和兽医领域中各种蜱传疾病的媒介。这四种精油因其潜在的驱虫和杀螨特性而被选中,以不同浓度对长角蜱成虫和若虫进行了测试。实验评估了死亡率和驱避性,尤其是在蜱附着在宿主皮肤上时。所有组的蜱虫死亡率和驱避得分都有明显提高(p<0.05)。浓度为 1%时,成蜱死亡率为 36% 至 86%,若虫死亡率为 6% 至 97%。丁香油的功效显著,对若虫和成虫的死亡率都很高。丁香油还具有很强的驱虫特性,驱虫指数为 0.05,超过了薄荷油、桉叶油和薰衣草油。将丁香油涂抹在皮肤上时,它对未附着的成蜱(90%)和若虫(95%)的阻吓效果最高。丁香油对成蜱和若蜱最有效,死亡率分别为 86% 和 97%,涂抹在皮肤上后,不附着率最高。总之,丁香油、桉叶油、薰衣草油和薄荷油等精油在控制蜱虫数量方面具有良好的效果。
本文章由计算机程序翻译,如有差异,请以英文原文为准。

Comparative analysis of essential oil efficacy against the Asian longhorned tick Haemaphysalis longicornis (Acari: Ixodidae).

Comparative analysis of essential oil efficacy against the Asian longhorned tick Haemaphysalis longicornis (Acari: Ixodidae).

Comparative analysis of essential oil efficacy against the Asian longhorned tick Haemaphysalis longicornis (Acari: Ixodidae).

Comparative analysis of essential oil efficacy against the Asian longhorned tick Haemaphysalis longicornis (Acari: Ixodidae).

This study evaluated the potential repellent and acaricidal effects of 4 essential oils (clove, eucalyptus, lavender, and mint) against the Asian longhorned tick Haemaphysalis longicornis, a vector of various tick-borne diseases in medical and veterinary contexts. Selected for their potential repellent and acaricidal properties, the 4 essential oils were tested on adult and nymph H. longicornis ticks at different concentrations. The experiment assessed mortality rates and repellency, particularly during tick attachment to host skin. There was a significant increase (p<0.05) in tick mortality and repellency scores across all groups. At a 1% concentration, adult tick mortality ranged from 36% to 86%, while nymph mortality ranged from 6% to 97%. Clove oil exhibited notable efficacy, demonstrating high mortality rates of nymphs and adults. Clove oil also displayed strong repellency properties, with a repellency index of 0.05, surpassing those of mint, eucalyptus, and lavender oils. Clove oil showed the highest effectiveness in deterring nonattached adult ticks (90%) and nymphs (95%) when applied to skin. Clove oil was the most effective against adult and nymph ticks, achieving mortality rates of 86% and 97%, respectively, and led to the highest nonattachment rates when applied to skin. In conclusion, essential oils such as clove, eucalyptus, lavender, and mint oils present promising results for tick population control.

求助全文
通过发布文献求助,成功后即可免费获取论文全文。 去求助
来源期刊
CiteScore
2.70
自引率
0.00%
发文量
0
×
引用
GB/T 7714-2015
复制
MLA
复制
APA
复制
导出至
BibTeX EndNote RefMan NoteFirst NoteExpress
×
提示
您的信息不完整,为了账户安全,请先补充。
现在去补充
×
提示
您因"违规操作"
具体请查看互助需知
我知道了
×
提示
确定
请完成安全验证×
copy
已复制链接
快去分享给好友吧!
我知道了
右上角分享
点击右上角分享
0
联系我们:info@booksci.cn Book学术提供免费学术资源搜索服务,方便国内外学者检索中英文文献。致力于提供最便捷和优质的服务体验。 Copyright © 2023 布克学术 All rights reserved.
京ICP备2023020795号-1
ghs 京公网安备 11010802042870号
Book学术文献互助
Book学术文献互助群
群 号:604180095
Book学术官方微信