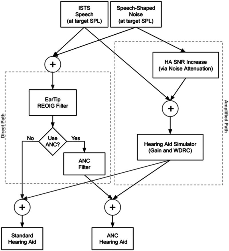
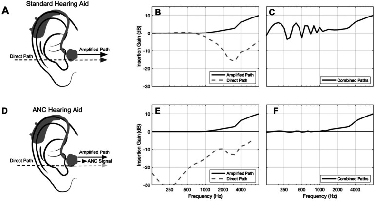
为提高信噪比的听力设备中的主动降噪功能的可懂度效益建模。

IF 3 2区 医学 Q1 AUDIOLOGY & SPEECH-LANGUAGE PATHOLOGY
Andrew T Sabin, Dale McElhone, Daniel Gauger, Bill Rabinowitz
{"title":"为提高信噪比的听力设备中的主动降噪功能的可懂度效益建模。","authors":"Andrew T Sabin, Dale McElhone, Daniel Gauger, Bill Rabinowitz","doi":"10.1177/23312165241260029","DOIUrl":null,"url":null,"abstract":"<p><p>The extent to which active noise cancelation (ANC), when combined with hearing assistance, can improve speech intelligibility in noise is not well understood. One possible source of benefit is ANC's ability to reduce the sound level of the direct (i.e., vent-transmitted) path. This reduction lowers the \"floor\" imposed by the direct path, thereby allowing any increases to the signal-to-noise ratio (SNR) created in the amplified path to be \"realized\" at the eardrum. Here we used a modeling approach to estimate this benefit. We compared pairs of simulated hearing aids that differ only in terms of their ability to provide ANC and computed intelligibility metrics on their outputs. The difference in metric scores between simulated devices is termed the \"ANC Benefit.\" These simulations show that ANC Benefit increases as (1) the environmental sound level increases, (2) the ability of the hearing aid to improve SNR increases, (3) the strength of the ANC increases, and (4) the hearing loss severity decreases. The predicted size of the ANC Benefit can be substantial. For a moderate hearing loss, the model predicts improvement in intelligibility metrics of >30% when environments are moderately loud (>70 dB SPL) and devices are moderately capable of increasing SNR (by >4 dB). It appears that ANC can be a critical ingredient in hearing devices that attempt to improve SNR in loud environments. ANC will become more and more important as advanced SNR-improving algorithms (e.g., artificial intelligence speech enhancement) are included in hearing devices.</p>","PeriodicalId":48678,"journal":{"name":"Trends in Hearing","volume":"28 ","pages":"23312165241260029"},"PeriodicalIF":3.0000,"publicationDate":"2024-01-01","publicationTypes":"Journal Article","fieldsOfStudy":null,"isOpenAccess":false,"openAccessPdf":"https://www.ncbi.nlm.nih.gov/pmc/articles/PMC11149449/pdf/","citationCount":"0","resultStr":"{\"title\":\"Modeling the Intelligibility Benefit of Active Noise Cancelation in Hearing Devices That Improve Signal-to-Noise Ratio.\",\"authors\":\"Andrew T Sabin, Dale McElhone, Daniel Gauger, Bill Rabinowitz\",\"doi\":\"10.1177/23312165241260029\",\"DOIUrl\":null,\"url\":null,\"abstract\":\"<p><p>The extent to which active noise cancelation (ANC), when combined with hearing assistance, can improve speech intelligibility in noise is not well understood. One possible source of benefit is ANC's ability to reduce the sound level of the direct (i.e., vent-transmitted) path. This reduction lowers the \\\"floor\\\" imposed by the direct path, thereby allowing any increases to the signal-to-noise ratio (SNR) created in the amplified path to be \\\"realized\\\" at the eardrum. Here we used a modeling approach to estimate this benefit. We compared pairs of simulated hearing aids that differ only in terms of their ability to provide ANC and computed intelligibility metrics on their outputs. The difference in metric scores between simulated devices is termed the \\\"ANC Benefit.\\\" These simulations show that ANC Benefit increases as (1) the environmental sound level increases, (2) the ability of the hearing aid to improve SNR increases, (3) the strength of the ANC increases, and (4) the hearing loss severity decreases. The predicted size of the ANC Benefit can be substantial. For a moderate hearing loss, the model predicts improvement in intelligibility metrics of >30% when environments are moderately loud (>70 dB SPL) and devices are moderately capable of increasing SNR (by >4 dB). It appears that ANC can be a critical ingredient in hearing devices that attempt to improve SNR in loud environments. ANC will become more and more important as advanced SNR-improving algorithms (e.g., artificial intelligence speech enhancement) are included in hearing devices.</p>\",\"PeriodicalId\":48678,\"journal\":{\"name\":\"Trends in Hearing\",\"volume\":\"28 \",\"pages\":\"23312165241260029\"},\"PeriodicalIF\":3.0000,\"publicationDate\":\"2024-01-01\",\"publicationTypes\":\"Journal Article\",\"fieldsOfStudy\":null,\"isOpenAccess\":false,\"openAccessPdf\":\"https://www.ncbi.nlm.nih.gov/pmc/articles/PMC11149449/pdf/\",\"citationCount\":\"0\",\"resultStr\":null,\"platform\":\"Semanticscholar\",\"paperid\":null,\"PeriodicalName\":\"Trends in Hearing\",\"FirstCategoryId\":\"3\",\"ListUrlMain\":\"https://doi.org/10.1177/23312165241260029\",\"RegionNum\":2,\"RegionCategory\":\"医学\",\"ArticlePicture\":[],\"TitleCN\":null,\"AbstractTextCN\":null,\"PMCID\":null,\"EPubDate\":\"\",\"PubModel\":\"\",\"JCR\":\"Q1\",\"JCRName\":\"AUDIOLOGY & SPEECH-LANGUAGE PATHOLOGY\",\"Score\":null,\"Total\":0}","platform":"Semanticscholar","paperid":null,"PeriodicalName":"Trends in Hearing","FirstCategoryId":"3","ListUrlMain":"https://doi.org/10.1177/23312165241260029","RegionNum":2,"RegionCategory":"医学","ArticlePicture":[],"TitleCN":null,"AbstractTextCN":null,"PMCID":null,"EPubDate":"","PubModel":"","JCR":"Q1","JCRName":"AUDIOLOGY & SPEECH-LANGUAGE PATHOLOGY","Score":null,"Total":0}
引用次数: 0

摘要

主动降噪(ANC)与助听器结合使用,能在多大程度上提高噪声中的言语清晰度,目前还不十分清楚。一个可能的益处是 ANC 能够降低直接路径(即通气孔传输路径)的声级。这种降低降低了直达路径所带来的 "底限",从而使放大路径所产生的信噪比(SNR)的增加在耳膜处 "实现"。在这里,我们采用建模的方法来估算这种优势。我们比较了一对模拟助听器,它们仅在提供 ANC 的能力方面存在差异,并计算了其输出的清晰度指标。模拟设备之间的指标得分差异被称为 "ANC 效益"。模拟结果表明,ANC Benefit 会随着以下因素的增加而增加:(1) 环境声级增加;(2) 助听器改善信噪比的能力增加;(3) ANC 强度增加;(4) 听力损失严重程度降低。ANC 惠益的预测大小可能很大。对于中度听力损失,模型预测,当环境中等响度(>70 dB SPL)且助听器能够中等程度地提高信噪比(>4 dB)时,可理解度指标的改善幅度>30%。由此看来,ANC 是试图在嘈杂环境中提高信噪比的听力设备的关键要素。随着先进的信噪比改进算法(如人工智能语音增强)被纳入听力设备,ANC 将变得越来越重要。
本文章由计算机程序翻译,如有差异,请以英文原文为准。

Modeling the Intelligibility Benefit of Active Noise Cancelation in Hearing Devices That Improve Signal-to-Noise Ratio.

Modeling the Intelligibility Benefit of Active Noise Cancelation in Hearing Devices That Improve Signal-to-Noise Ratio.

Modeling the Intelligibility Benefit of Active Noise Cancelation in Hearing Devices That Improve Signal-to-Noise Ratio.

Modeling the Intelligibility Benefit of Active Noise Cancelation in Hearing Devices That Improve Signal-to-Noise Ratio.

The extent to which active noise cancelation (ANC), when combined with hearing assistance, can improve speech intelligibility in noise is not well understood. One possible source of benefit is ANC's ability to reduce the sound level of the direct (i.e., vent-transmitted) path. This reduction lowers the "floor" imposed by the direct path, thereby allowing any increases to the signal-to-noise ratio (SNR) created in the amplified path to be "realized" at the eardrum. Here we used a modeling approach to estimate this benefit. We compared pairs of simulated hearing aids that differ only in terms of their ability to provide ANC and computed intelligibility metrics on their outputs. The difference in metric scores between simulated devices is termed the "ANC Benefit." These simulations show that ANC Benefit increases as (1) the environmental sound level increases, (2) the ability of the hearing aid to improve SNR increases, (3) the strength of the ANC increases, and (4) the hearing loss severity decreases. The predicted size of the ANC Benefit can be substantial. For a moderate hearing loss, the model predicts improvement in intelligibility metrics of >30% when environments are moderately loud (>70 dB SPL) and devices are moderately capable of increasing SNR (by >4 dB). It appears that ANC can be a critical ingredient in hearing devices that attempt to improve SNR in loud environments. ANC will become more and more important as advanced SNR-improving algorithms (e.g., artificial intelligence speech enhancement) are included in hearing devices.

求助全文
通过发布文献求助,成功后即可免费获取论文全文。 去求助
来源期刊
Trends in Hearing
Trends in Hearing AUDIOLOGY & SPEECH-LANGUAGE PATHOLOGYOTORH-OTORHINOLARYNGOLOGY
CiteScore
4.50
自引率
11.10%
发文量
44
审稿时长
12 weeks
期刊介绍: Trends in Hearing is an open access journal completely dedicated to publishing original research and reviews focusing on human hearing, hearing loss, hearing aids, auditory implants, and aural rehabilitation. Under its former name, Trends in Amplification, the journal established itself as a forum for concise explorations of all areas of translational hearing research by leaders in the field. Trends in Hearing has now expanded its focus to include original research articles, with the goal of becoming the premier venue for research related to human hearing and hearing loss.
×
引用
GB/T 7714-2015
复制
MLA
复制
APA
复制
导出至
BibTeX EndNote RefMan NoteFirst NoteExpress
×
提示
您的信息不完整,为了账户安全,请先补充。
现在去补充
×
提示
您因"违规操作"
具体请查看互助需知
我知道了
×
提示
确定
请完成安全验证×
copy
已复制链接
快去分享给好友吧!
我知道了
右上角分享
点击右上角分享
0
联系我们:info@booksci.cn Book学术提供免费学术资源搜索服务,方便国内外学者检索中英文文献。致力于提供最便捷和优质的服务体验。 Copyright © 2023 布克学术 All rights reserved.
京ICP备2023020795号-1
ghs 京公网安备 11010802042870号
Book学术文献互助
Book学术文献互助群
群 号:604180095
Book学术官方微信