mRNA 疫苗可防止 SARS-CoV-2 无症状感染时出现的肺微血管损伤和毛细血管血容量减少。

IF 1.6 Q3 RESPIRATORY SYSTEM
Roberto W Dal Negro, Paola Turco, Massimiliano Povero
{"title":"mRNA 疫苗可防止 SARS-CoV-2 无症状感染时出现的肺微血管损伤和毛细血管血容量减少。","authors":"Roberto W Dal Negro, Paola Turco, Massimiliano Povero","doi":"10.5826/mrm.2024.973","DOIUrl":null,"url":null,"abstract":"<p><strong>Introduction: </strong>The reduction of lung capillary blood volume (Vc) had been identified as the microvascular injury mostly underlying the respiratory Long-COVID syndrome following post-COVID-19 pneumonia. The same kind of injury have been recently also found in several individuals after milder paucisymptomatic SARS-CoV-2 infections. Though current guidelines strongly recommend vac-cination, studies aimed to investigate the in vivo protection of anti-SARS-CoV-2 vaccines on lung microvascular targets still are missing to our best knowledge.</p><p><strong>Aim: </strong>to assess the protection of mRNA vaccines from the reduction of lung capillary blood volume (Vc) caused by pauci-symptomatic SARS.CoV-2 infections in vaccinated compared to unvaccinated individuals.</p><p><strong>Methods: </strong>Non-smoking individuals with recent paucisymptomatic SARS-CoV-2 infection were divided into vaccinated and unvaccinated groups. Lung function parameters, including single-breath diffusing capacity and microvascular blood volume, were compared between groups.</p><p><strong>Results: </strong>fifty vaccinated and twenty-five unvaccinated well-matched individuals were studied. Differently than usual lung function parameters, only the single-breath simultaneous assessment of sDLCO, sDLNO/sDLCO ratio and Vc allowed to identify the occurrence of the lung microvascular injury with high sensitivity and specificity (p<0.001).</p><p><strong>Conclusion: </strong>mRNA vaccines proved to exert a high protection from the loss of lung capillary blood volume (Vc) induced by SARS.CoV-2 paucisymptomatic infections (p<0.001). The availability of this non-invasive investigational model should be regarded as a very helpful tool for assessing and comparing in vivo the protective effect of mRNA vaccines on the human microvascular structures of the deep lung.</p>","PeriodicalId":51135,"journal":{"name":"Multidisciplinary Respiratory Medicine","volume":"19 ","pages":""},"PeriodicalIF":1.6000,"publicationDate":"2024-06-03","publicationTypes":"Journal Article","fieldsOfStudy":null,"isOpenAccess":false,"openAccessPdf":"https://www.ncbi.nlm.nih.gov/pmc/articles/PMC11186436/pdf/","citationCount":"0","resultStr":"{\"title\":\"mRNA vaccines protect from the lung microvasculature injury and the capillary blood volume loss occurring in SARS-CoV-2 paucisymptomatic infections.\",\"authors\":\"Roberto W Dal Negro, Paola Turco, Massimiliano Povero\",\"doi\":\"10.5826/mrm.2024.973\",\"DOIUrl\":null,\"url\":null,\"abstract\":\"<p><strong>Introduction: </strong>The reduction of lung capillary blood volume (Vc) had been identified as the microvascular injury mostly underlying the respiratory Long-COVID syndrome following post-COVID-19 pneumonia. The same kind of injury have been recently also found in several individuals after milder paucisymptomatic SARS-CoV-2 infections. Though current guidelines strongly recommend vac-cination, studies aimed to investigate the in vivo protection of anti-SARS-CoV-2 vaccines on lung microvascular targets still are missing to our best knowledge.</p><p><strong>Aim: </strong>to assess the protection of mRNA vaccines from the reduction of lung capillary blood volume (Vc) caused by pauci-symptomatic SARS.CoV-2 infections in vaccinated compared to unvaccinated individuals.</p><p><strong>Methods: </strong>Non-smoking individuals with recent paucisymptomatic SARS-CoV-2 infection were divided into vaccinated and unvaccinated groups. Lung function parameters, including single-breath diffusing capacity and microvascular blood volume, were compared between groups.</p><p><strong>Results: </strong>fifty vaccinated and twenty-five unvaccinated well-matched individuals were studied. Differently than usual lung function parameters, only the single-breath simultaneous assessment of sDLCO, sDLNO/sDLCO ratio and Vc allowed to identify the occurrence of the lung microvascular injury with high sensitivity and specificity (p<0.001).</p><p><strong>Conclusion: </strong>mRNA vaccines proved to exert a high protection from the loss of lung capillary blood volume (Vc) induced by SARS.CoV-2 paucisymptomatic infections (p<0.001). The availability of this non-invasive investigational model should be regarded as a very helpful tool for assessing and comparing in vivo the protective effect of mRNA vaccines on the human microvascular structures of the deep lung.</p>\",\"PeriodicalId\":51135,\"journal\":{\"name\":\"Multidisciplinary Respiratory Medicine\",\"volume\":\"19 \",\"pages\":\"\"},\"PeriodicalIF\":1.6000,\"publicationDate\":\"2024-06-03\",\"publicationTypes\":\"Journal Article\",\"fieldsOfStudy\":null,\"isOpenAccess\":false,\"openAccessPdf\":\"https://www.ncbi.nlm.nih.gov/pmc/articles/PMC11186436/pdf/\",\"citationCount\":\"0\",\"resultStr\":null,\"platform\":\"Semanticscholar\",\"paperid\":null,\"PeriodicalName\":\"Multidisciplinary Respiratory Medicine\",\"FirstCategoryId\":\"1085\",\"ListUrlMain\":\"https://doi.org/10.5826/mrm.2024.973\",\"RegionNum\":0,\"RegionCategory\":null,\"ArticlePicture\":[],\"TitleCN\":null,\"AbstractTextCN\":null,\"PMCID\":null,\"EPubDate\":\"\",\"PubModel\":\"\",\"JCR\":\"Q3\",\"JCRName\":\"RESPIRATORY SYSTEM\",\"Score\":null,\"Total\":0}","platform":"Semanticscholar","paperid":null,"PeriodicalName":"Multidisciplinary Respiratory Medicine","FirstCategoryId":"1085","ListUrlMain":"https://doi.org/10.5826/mrm.2024.973","RegionNum":0,"RegionCategory":null,"ArticlePicture":[],"TitleCN":null,"AbstractTextCN":null,"PMCID":null,"EPubDate":"","PubModel":"","JCR":"Q3","JCRName":"RESPIRATORY SYSTEM","Score":null,"Total":0}
引用次数: 0

摘要

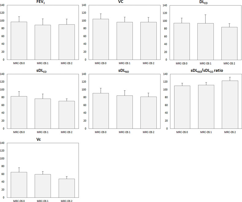
简介肺毛细血管血容量(Vc)的减少已被确定为 COVID-19 后肺炎后呼吸系统 Long-COVID 综合征的主要微血管损伤。最近,在一些感染 SARS-CoV-2 后症状较轻的人身上也发现了同样的损伤。目的:与未接种疫苗的人相比,评估 mRNA 疫苗在接种疫苗的人与无症状的 SARS.CoV-2 感染引起的肺毛细血管血容量(Vc)减少方面的保护作用:方法: 将近期感染无症状 SARS-CoV-2 的非吸烟者分为接种疫苗组和未接种疫苗组。结果:研究了 50 名接种疫苗和 25 名未接种疫苗的匹配良好的个体。与通常的肺功能参数不同,只有单次呼吸同时评估 sDLCO、sDLNO/sDLCO 比值和 Vc 才能以较高的灵敏度和特异性(p 结论:事实证明,mRNA 疫苗对 SARS.CoV-2 引起的肺毛细血管血容量(Vc)损失具有较高的保护作用(p
本文章由计算机程序翻译,如有差异,请以英文原文为准。

mRNA vaccines protect from the lung microvasculature injury and the capillary blood volume loss occurring in SARS-CoV-2 paucisymptomatic infections.

mRNA vaccines protect from the lung microvasculature injury and the capillary blood volume loss occurring in SARS-CoV-2 paucisymptomatic infections.

mRNA vaccines protect from the lung microvasculature injury and the capillary blood volume loss occurring in SARS-CoV-2 paucisymptomatic infections.

Introduction: The reduction of lung capillary blood volume (Vc) had been identified as the microvascular injury mostly underlying the respiratory Long-COVID syndrome following post-COVID-19 pneumonia. The same kind of injury have been recently also found in several individuals after milder paucisymptomatic SARS-CoV-2 infections. Though current guidelines strongly recommend vac-cination, studies aimed to investigate the in vivo protection of anti-SARS-CoV-2 vaccines on lung microvascular targets still are missing to our best knowledge.

Aim: to assess the protection of mRNA vaccines from the reduction of lung capillary blood volume (Vc) caused by pauci-symptomatic SARS.CoV-2 infections in vaccinated compared to unvaccinated individuals.

Methods: Non-smoking individuals with recent paucisymptomatic SARS-CoV-2 infection were divided into vaccinated and unvaccinated groups. Lung function parameters, including single-breath diffusing capacity and microvascular blood volume, were compared between groups.

Results: fifty vaccinated and twenty-five unvaccinated well-matched individuals were studied. Differently than usual lung function parameters, only the single-breath simultaneous assessment of sDLCO, sDLNO/sDLCO ratio and Vc allowed to identify the occurrence of the lung microvascular injury with high sensitivity and specificity (p<0.001).

Conclusion: mRNA vaccines proved to exert a high protection from the loss of lung capillary blood volume (Vc) induced by SARS.CoV-2 paucisymptomatic infections (p<0.001). The availability of this non-invasive investigational model should be regarded as a very helpful tool for assessing and comparing in vivo the protective effect of mRNA vaccines on the human microvascular structures of the deep lung.

求助全文
通过发布文献求助,成功后即可免费获取论文全文。 去求助
来源期刊
CiteScore
4.40
自引率
0.00%
发文量
23
审稿时长
>12 weeks
期刊介绍: Multidisciplinary Respiratory Medicine is the official journal of the Italian Respiratory Society - Società Italiana di Pneumologia (IRS/SIP). The journal publishes on all aspects of respiratory medicine and related fields, with a particular focus on interdisciplinary and translational research. The interdisciplinary nature of the journal provides a unique opportunity for researchers, clinicians and healthcare professionals across specialties to collaborate and exchange information. The journal provides a high visibility platform for the publication and dissemination of top quality original scientific articles, reviews and important position papers documenting clinical and experimental advances.
×
引用
GB/T 7714-2015
复制
MLA
复制
APA
复制
导出至
BibTeX EndNote RefMan NoteFirst NoteExpress
×
提示
您的信息不完整,为了账户安全,请先补充。
现在去补充
×
提示
您因"违规操作"
具体请查看互助需知
我知道了
×
提示
确定
请完成安全验证×
copy
已复制链接
快去分享给好友吧!
我知道了
右上角分享
点击右上角分享
0
联系我们:info@booksci.cn Book学术提供免费学术资源搜索服务,方便国内外学者检索中英文文献。致力于提供最便捷和优质的服务体验。 Copyright © 2023 布克学术 All rights reserved.
京ICP备2023020795号-1
ghs 京公网安备 11010802042870号
Book学术文献互助
Book学术文献互助群
群 号:604180095
Book学术官方微信