男性在中等知觉强度的手握力保持失败时的力量和神经肌肉反应。

IF 1.6 4区 医学 Q4 NEUROSCIENCES
Minyoung Kwak, Pasquale J Succi, Brian Benitez, Clara Mitchinson, Michael A Samaan, Mark G Abel, Haley C Bergstrom
{"title":"男性在中等知觉强度的手握力保持失败时的力量和神经肌肉反应。","authors":"Minyoung Kwak, Pasquale J Succi, Brian Benitez, Clara Mitchinson, Michael A Samaan, Mark G Abel, Haley C Bergstrom","doi":"","DOIUrl":null,"url":null,"abstract":"<p><strong>Objectives: </strong>The current study investigated performance fatigability (PF) and time course of changes in force, electromyographic amplitude (EMG AMP) and frequency (EMG MPF), and neuromuscular efficiency (NME) during a sustained, isometric, handgrip hold to failure (HTF) using the rating of perceived exertion (RPE)-Clamp Model.</p><p><strong>Methods: </strong>Twelve males performed a handgrip HTF anchored to RPE=5. The time to task failure (T<sub>lim</sub>), force (N), EMG AMP and MPF, and NME (normalized force/ normalized EMG AMP) were recorded. Analyses included a paired samples t-test for PF at an alpha of p<0.05, 1-way repeated measures ANOVA across time and post-hoc t-tests (p<0.0025) for force, EMG AMP and MPF, and NME responses.</p><p><strong>Results: </strong>The PF (pre- to post- maximal force % decline) was 38.2±11.5%. There were decreases in responses, relative to 0% T<sub>lim</sub>, from 40% to 100% T<sub>lim</sub> (force), at 30%, 60%, and 100% T<sub>lim</sub> (EMG AMP), from 10% to 100% T<sub>lim</sub>(EMP MPF), and from 50% to 65%, and 80% to 100% T<sub>lim</sub> (NME) (p<0.0025).</p><p><strong>Conclusions: </strong>The RPE-Clamp Model in this study demonstrated that pacing strategies may be influenced by the integration of anticipatory, feedforward, and feedback mechanisms, and provided insights into the relationship between neuromuscular and perceptual responses, and actual force generating capacity.</p>","PeriodicalId":16430,"journal":{"name":"Journal of musculoskeletal & neuronal interactions","volume":"24 2","pages":"107-119"},"PeriodicalIF":1.6000,"publicationDate":"2024-06-01","publicationTypes":"Journal Article","fieldsOfStudy":null,"isOpenAccess":false,"openAccessPdf":"https://www.ncbi.nlm.nih.gov/pmc/articles/PMC11145316/pdf/","citationCount":"0","resultStr":"{\"title\":\"Force and Neuromuscular Responses During a Handgrip Hold to Failure Anchored to a Moderate Perceptual Intensity in Males.\",\"authors\":\"Minyoung Kwak, Pasquale J Succi, Brian Benitez, Clara Mitchinson, Michael A Samaan, Mark G Abel, Haley C Bergstrom\",\"doi\":\"\",\"DOIUrl\":null,\"url\":null,\"abstract\":\"<p><strong>Objectives: </strong>The current study investigated performance fatigability (PF) and time course of changes in force, electromyographic amplitude (EMG AMP) and frequency (EMG MPF), and neuromuscular efficiency (NME) during a sustained, isometric, handgrip hold to failure (HTF) using the rating of perceived exertion (RPE)-Clamp Model.</p><p><strong>Methods: </strong>Twelve males performed a handgrip HTF anchored to RPE=5. The time to task failure (T<sub>lim</sub>), force (N), EMG AMP and MPF, and NME (normalized force/ normalized EMG AMP) were recorded. Analyses included a paired samples t-test for PF at an alpha of p<0.05, 1-way repeated measures ANOVA across time and post-hoc t-tests (p<0.0025) for force, EMG AMP and MPF, and NME responses.</p><p><strong>Results: </strong>The PF (pre- to post- maximal force % decline) was 38.2±11.5%. There were decreases in responses, relative to 0% T<sub>lim</sub>, from 40% to 100% T<sub>lim</sub> (force), at 30%, 60%, and 100% T<sub>lim</sub> (EMG AMP), from 10% to 100% T<sub>lim</sub>(EMP MPF), and from 50% to 65%, and 80% to 100% T<sub>lim</sub> (NME) (p<0.0025).</p><p><strong>Conclusions: </strong>The RPE-Clamp Model in this study demonstrated that pacing strategies may be influenced by the integration of anticipatory, feedforward, and feedback mechanisms, and provided insights into the relationship between neuromuscular and perceptual responses, and actual force generating capacity.</p>\",\"PeriodicalId\":16430,\"journal\":{\"name\":\"Journal of musculoskeletal & neuronal interactions\",\"volume\":\"24 2\",\"pages\":\"107-119\"},\"PeriodicalIF\":1.6000,\"publicationDate\":\"2024-06-01\",\"publicationTypes\":\"Journal Article\",\"fieldsOfStudy\":null,\"isOpenAccess\":false,\"openAccessPdf\":\"https://www.ncbi.nlm.nih.gov/pmc/articles/PMC11145316/pdf/\",\"citationCount\":\"0\",\"resultStr\":null,\"platform\":\"Semanticscholar\",\"paperid\":null,\"PeriodicalName\":\"Journal of musculoskeletal & neuronal interactions\",\"FirstCategoryId\":\"3\",\"ListUrlMain\":\"\",\"RegionNum\":4,\"RegionCategory\":\"医学\",\"ArticlePicture\":[],\"TitleCN\":null,\"AbstractTextCN\":null,\"PMCID\":null,\"EPubDate\":\"\",\"PubModel\":\"\",\"JCR\":\"Q4\",\"JCRName\":\"NEUROSCIENCES\",\"Score\":null,\"Total\":0}","platform":"Semanticscholar","paperid":null,"PeriodicalName":"Journal of musculoskeletal & neuronal interactions","FirstCategoryId":"3","ListUrlMain":"","RegionNum":4,"RegionCategory":"医学","ArticlePicture":[],"TitleCN":null,"AbstractTextCN":null,"PMCID":null,"EPubDate":"","PubModel":"","JCR":"Q4","JCRName":"NEUROSCIENCES","Score":null,"Total":0}
引用次数: 0

摘要

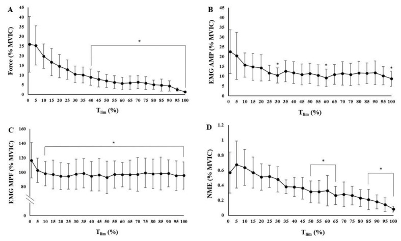
研究目的本研究使用感知用力等级(RPE)-夹钳模型,对持续、等长、手握到失效(HTF)过程中的表现疲劳性(PF)以及力量、肌电图振幅(EMG AMP)和频率(EMG MPF)和神经肌肉效率(NME)的变化时间过程进行了调查:方法:12 名男性在 RPE=5 的基础上进行了手握至失败(HTF)训练。记录了任务失败时间(Tlim)、力(N)、肌电图AMP和MPF以及NME(归一化力/归一化肌电图AMP)。分析包括 PF 的配对样本 t 检验(pResults):PF(最大力下降前与最大力下降后的百分比)为 38.2±11.5%。相对于 0% Tlim,40% 至 100% Tlim(力)、30%、60% 和 100% Tlim(肌电图 AMP)、10% 至 100% Tlim(肌电图 MPF)以及 50% 至 65% 和 80% 至 100% Tlim(NME)的反应均有所下降(p结论:本研究中的 RPE-Clamp 模型表明,起搏策略可能受到预期、前馈和反馈机制的综合影响,并为神经肌肉和知觉反应与实际发力能力之间的关系提供了见解。
本文章由计算机程序翻译,如有差异,请以英文原文为准。

Force and Neuromuscular Responses During a Handgrip Hold to Failure Anchored to a Moderate Perceptual Intensity in Males.

Force and Neuromuscular Responses During a Handgrip Hold to Failure Anchored to a Moderate Perceptual Intensity in Males.

Force and Neuromuscular Responses During a Handgrip Hold to Failure Anchored to a Moderate Perceptual Intensity in Males.

Objectives: The current study investigated performance fatigability (PF) and time course of changes in force, electromyographic amplitude (EMG AMP) and frequency (EMG MPF), and neuromuscular efficiency (NME) during a sustained, isometric, handgrip hold to failure (HTF) using the rating of perceived exertion (RPE)-Clamp Model.

Methods: Twelve males performed a handgrip HTF anchored to RPE=5. The time to task failure (Tlim), force (N), EMG AMP and MPF, and NME (normalized force/ normalized EMG AMP) were recorded. Analyses included a paired samples t-test for PF at an alpha of p<0.05, 1-way repeated measures ANOVA across time and post-hoc t-tests (p<0.0025) for force, EMG AMP and MPF, and NME responses.

Results: The PF (pre- to post- maximal force % decline) was 38.2±11.5%. There were decreases in responses, relative to 0% Tlim, from 40% to 100% Tlim (force), at 30%, 60%, and 100% Tlim (EMG AMP), from 10% to 100% Tlim(EMP MPF), and from 50% to 65%, and 80% to 100% Tlim (NME) (p<0.0025).

Conclusions: The RPE-Clamp Model in this study demonstrated that pacing strategies may be influenced by the integration of anticipatory, feedforward, and feedback mechanisms, and provided insights into the relationship between neuromuscular and perceptual responses, and actual force generating capacity.

求助全文
通过发布文献求助,成功后即可免费获取论文全文。 去求助
来源期刊
CiteScore
3.40
自引率
0.00%
发文量
67
审稿时长
>12 weeks
期刊介绍: The Journal of Musculoskeletal and Neuronal Interactions (JMNI) is an academic journal dealing with the pathophysiology and treatment of musculoskeletal disorders. It is published quarterly (months of issue March, June, September, December). Its purpose is to publish original, peer-reviewed papers of research and clinical experience in all areas of the musculoskeletal system and its interactions with the nervous system, especially metabolic bone diseases, with particular emphasis on osteoporosis. Additionally, JMNI publishes the Abstracts from the biannual meetings of the International Society of Musculoskeletal and Neuronal Interactions, and hosts Abstracts of other meetings on topics related to the aims and scope of JMNI.
×
引用
GB/T 7714-2015
复制
MLA
复制
APA
复制
导出至
BibTeX EndNote RefMan NoteFirst NoteExpress
×
提示
您的信息不完整,为了账户安全,请先补充。
现在去补充
×
提示
您因"违规操作"
具体请查看互助需知
我知道了
×
提示
确定
请完成安全验证×
copy
已复制链接
快去分享给好友吧!
我知道了
右上角分享
点击右上角分享
0
联系我们:info@booksci.cn Book学术提供免费学术资源搜索服务,方便国内外学者检索中英文文献。致力于提供最便捷和优质的服务体验。 Copyright © 2023 布克学术 All rights reserved.
京ICP备2023020795号-1
ghs 京公网安备 11010802042870号
Book学术文献互助
Book学术文献互助群
群 号:604180095
Book学术官方微信